Skip to main content

Class 9 2024 FINAL PAPERS NFORMATION-TECHNOLOGY-402-020424-MAR Question Papers

View all pages of the question paper below.

CBSE PYQ Class 9 2024 FINAL PAPERS NFORMATION-TECHNOLOGY-402-020424-MAR Information

Board CBSE (Central Board of Secondary Education)
Class Class 9
Year Year 2024
Category FINAL PAPERS
Subject Year NFORMATION-TECHNOLOGY-402-020424-MAR
About This Paper This examination paper was conducted by CBSE in 2024 for the subject NFORMATION-TECHNOLOGY-402-020424-MAR of class 9.
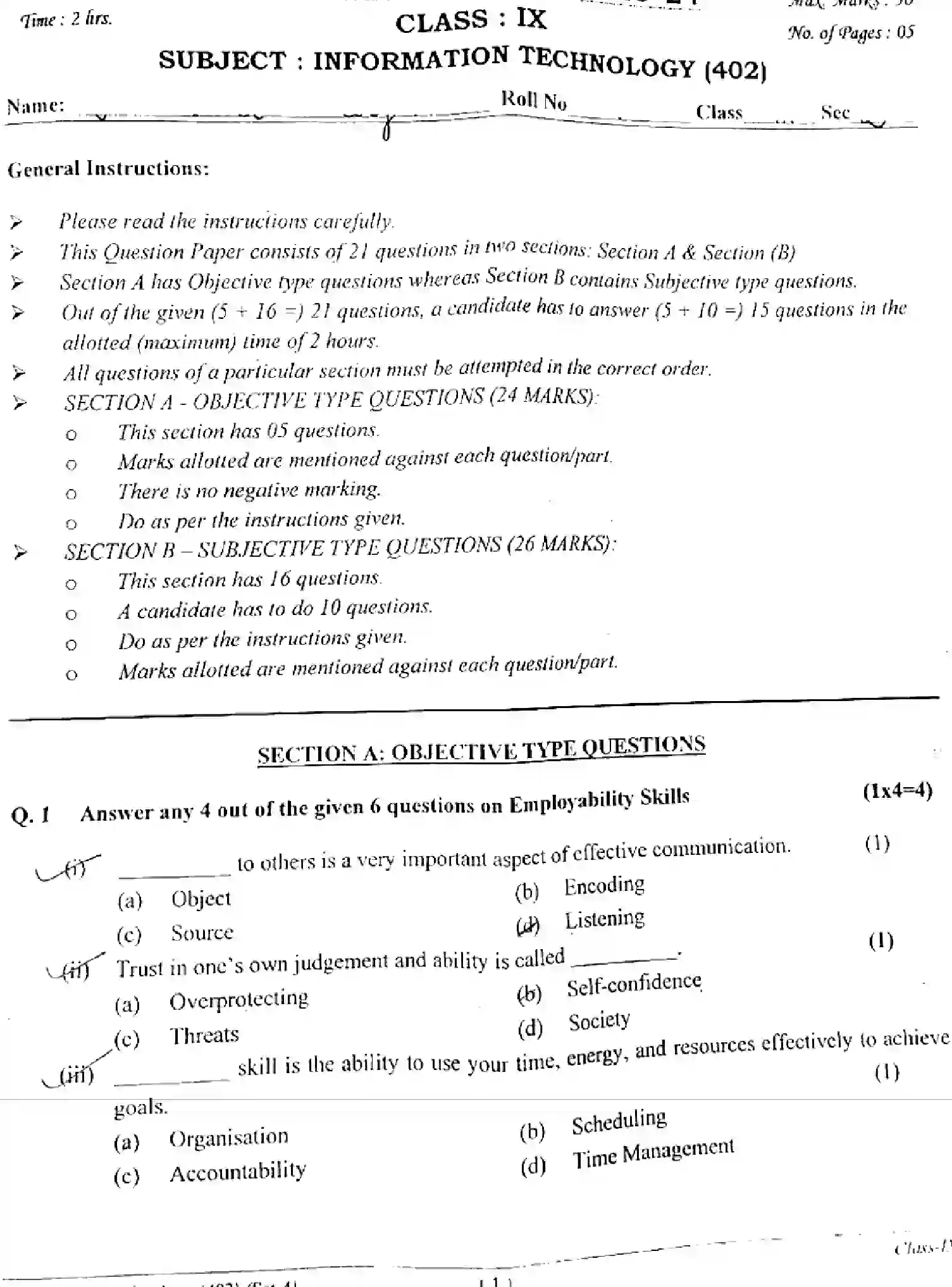
CBSE-Class-9-Previous-Year-Question-Papers-NFORMATION-TECHNOLOGY-402-020424-MAR-Page-1 Image
CBSE-Class-9-Previous-Year-Question-Papers-NFORMATION-TECHNOLOGY-402-020424-MAR-Page-2 Image
CBSE-Class-9-Previous-Year-Question-Papers-NFORMATION-TECHNOLOGY-402-020424-MAR-Page-3 Image
CBSE-Class-9-Previous-Year-Question-Papers-NFORMATION-TECHNOLOGY-402-020424-MAR-Page-4 Image
CBSE-Class-9-Previous-Year-Question-Papers-NFORMATION-TECHNOLOGY-402-020424-MAR-Page-5 Image

Other CBSE Previous Year Question Papers for Class 9 - FINAL PAPERS released in 2024

Browse other subjects available for the same class, category, and year.