Skip to main content

Class 9 2020 FINAL PAPERS CIENCE-SET-1 Question Papers

View all pages of the question paper below.

CBSE PYQ Class 9 2020 FINAL PAPERS CIENCE-SET-1 Information

Board CBSE (Central Board of Secondary Education)
Class Class 9
Year Year 2020
Category FINAL PAPERS
Subject Year CIENCE-SET-1
About This Paper This examination paper was conducted by CBSE in 2020 for the subject CIENCE-SET-1 of class 9.
CBSE-Class-9-Previous-Year-Question-Papers-CIENCE-SET-1-Page-1 Image
CBSE-Class-9-Previous-Year-Question-Papers-CIENCE-SET-1-Page-2 Image
CBSE-Class-9-Previous-Year-Question-Papers-CIENCE-SET-1-Page-3 Image
CBSE-Class-9-Previous-Year-Question-Papers-CIENCE-SET-1-Page-4 Image
CBSE-Class-9-Previous-Year-Question-Papers-CIENCE-SET-1-Page-5 Image
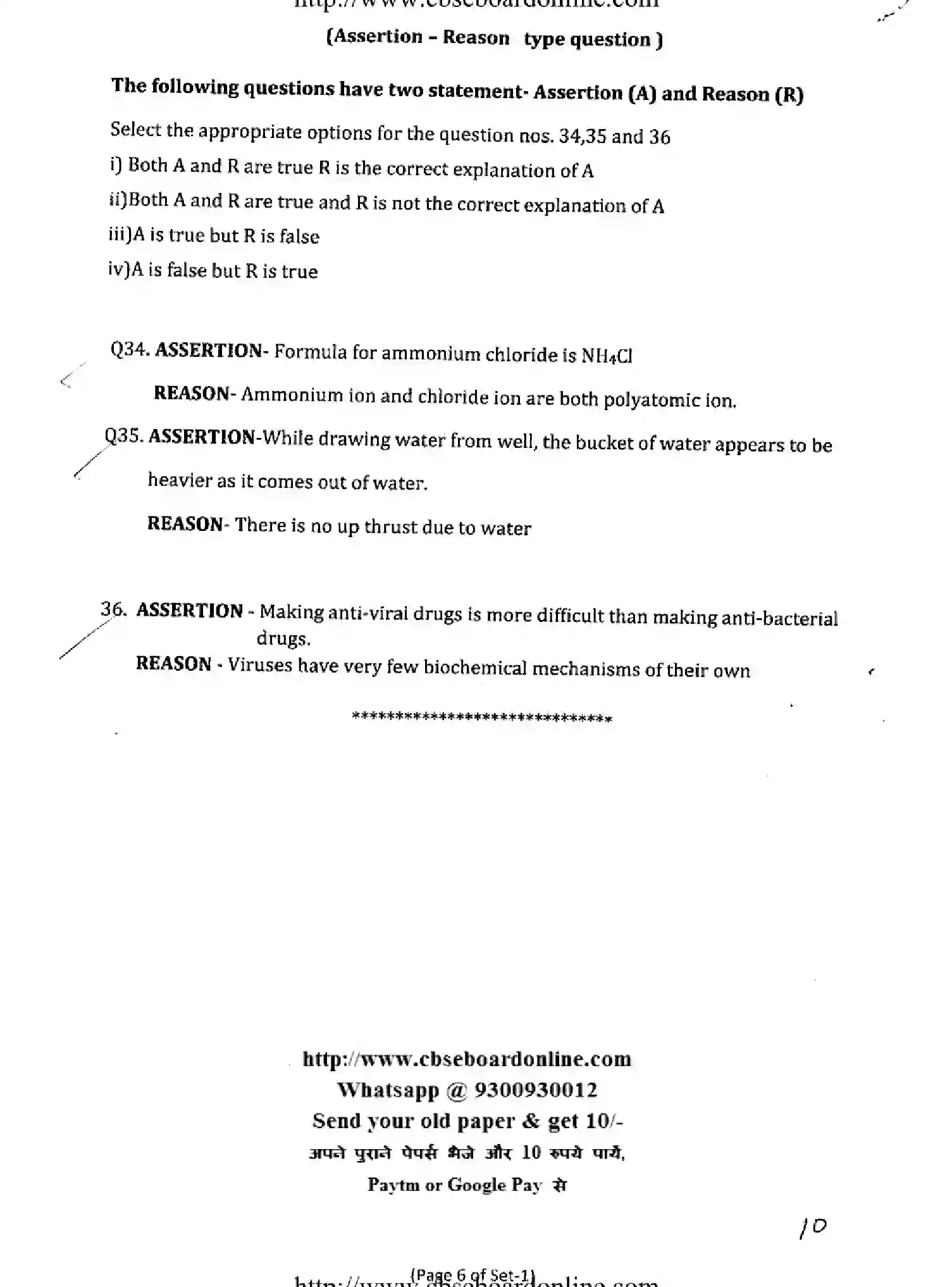
CBSE-Class-9-Previous-Year-Question-Papers-CIENCE-SET-1-Page-6 Image

Other CBSE Previous Year Question Papers for Class 9 - FINAL PAPERS released in 2020

Browse other subjects available for the same class, category, and year.