Skip to main content

Class 8 2024 HALF YEARLY PAPERS Y-SOCIAL-SCIENCE-291123 Question Papers

View all pages of the question paper below.

CBSE PYQ Class 8 2024 HALF YEARLY PAPERS Y-SOCIAL-SCIENCE-291123 Information

Board CBSE (Central Board of Secondary Education)
Class Class 8
Year Year 2024
Category HALF YEARLY PAPERS
Subject Year Y-SOCIAL-SCIENCE-291123
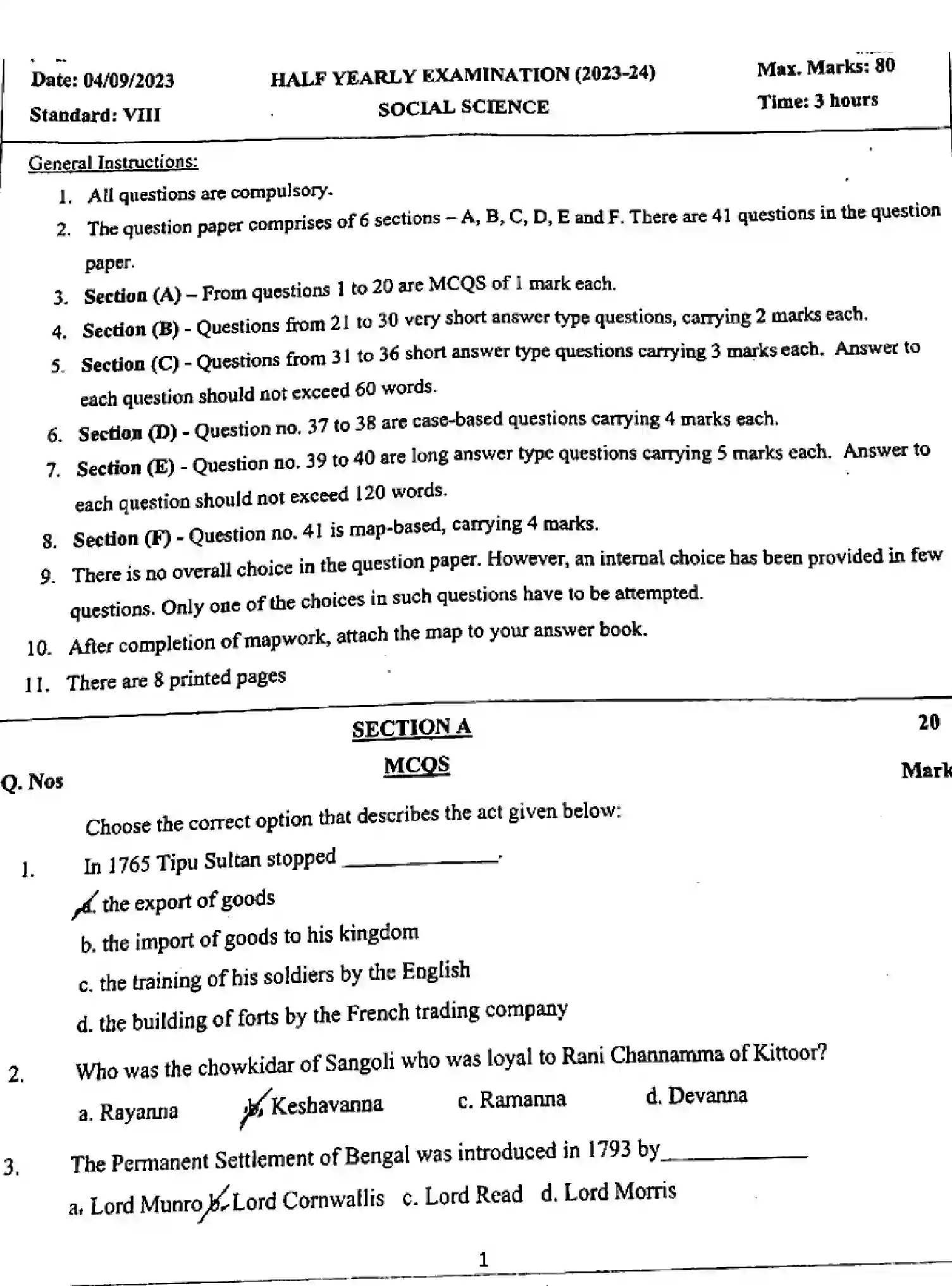
About This Paper This examination paper was conducted by CBSE in 2024 for the subject Y-SOCIAL-SCIENCE-291123 of class 8.
CBSE-Class-8-Previous-Year-Question-Papers-Y-SOCIAL-SCIENCE-291123-Page-1 Image
CBSE-Class-8-Previous-Year-Question-Papers-Y-SOCIAL-SCIENCE-291123-Page-2 Image
CBSE-Class-8-Previous-Year-Question-Papers-Y-SOCIAL-SCIENCE-291123-Page-3 Image
CBSE-Class-8-Previous-Year-Question-Papers-Y-SOCIAL-SCIENCE-291123-Page-4 Image
CBSE-Class-8-Previous-Year-Question-Papers-Y-SOCIAL-SCIENCE-291123-Page-5 Image
CBSE-Class-8-Previous-Year-Question-Papers-Y-SOCIAL-SCIENCE-291123-Page-6 Image
CBSE-Class-8-Previous-Year-Question-Papers-Y-SOCIAL-SCIENCE-291123-Page-7 Image
CBSE-Class-8-Previous-Year-Question-Papers-Y-SOCIAL-SCIENCE-291123-Page-8 Image

Other CBSE Previous Year Question Papers for Class 8 - HALF YEARLY PAPERS released in 2024

Browse other subjects available for the same class, category, and year.