Skip to main content

Class 12 2025 FINAL PAPERS MATHEMATICS-W1XZY-SET-2 Question Papers

View all pages of the question paper below.

CBSE PYQ Class 12 2025 FINAL PAPERS MATHEMATICS-W1XZY-SET-2 Information

Board CBSE (Central Board of Secondary Education)
Class Class 12
Year Year 2025
Category FINAL PAPERS
Subject Year MATHEMATICS-W1XZY-SET-2
About This Paper This examination paper was conducted by CBSE in 2025 for the subject MATHEMATICS-W1XZY-SET-2 of class 12.
CBSE-Class-12-Previous-Year-Question-Papers-MATHEMATICS-W1XZY-SET-2-Page-1 Image
CBSE-Class-12-Previous-Year-Question-Papers-MATHEMATICS-W1XZY-SET-2-Page-2 Image
CBSE-Class-12-Previous-Year-Question-Papers-MATHEMATICS-W1XZY-SET-2-Page-3 Image
CBSE-Class-12-Previous-Year-Question-Papers-MATHEMATICS-W1XZY-SET-2-Page-4 Image
CBSE-Class-12-Previous-Year-Question-Papers-MATHEMATICS-W1XZY-SET-2-Page-5 Image
CBSE-Class-12-Previous-Year-Question-Papers-MATHEMATICS-W1XZY-SET-2-Page-6 Image
CBSE-Class-12-Previous-Year-Question-Papers-MATHEMATICS-W1XZY-SET-2-Page-7 Image
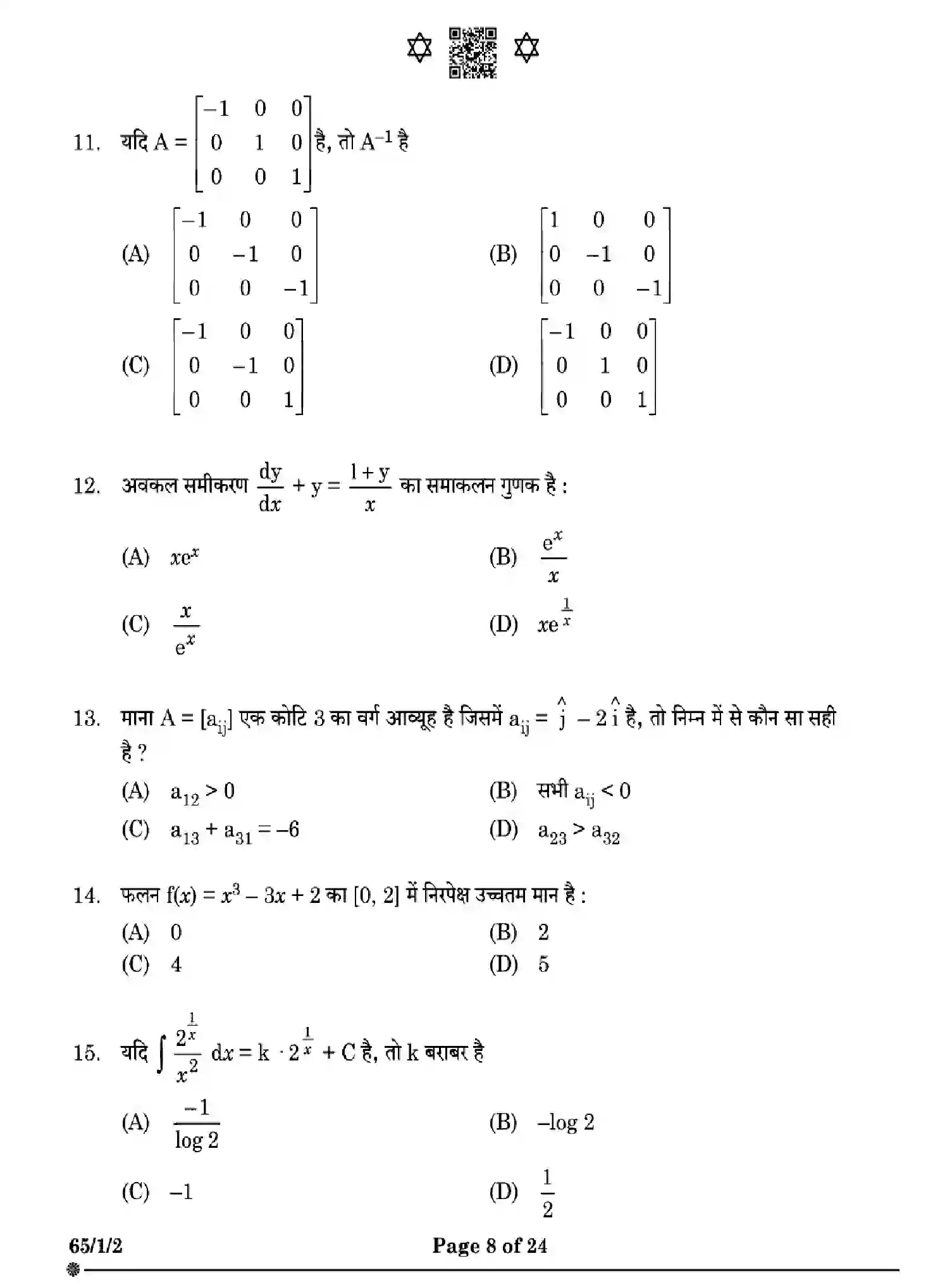
CBSE-Class-12-Previous-Year-Question-Papers-MATHEMATICS-W1XZY-SET-2-Page-8 Image
CBSE-Class-12-Previous-Year-Question-Papers-MATHEMATICS-W1XZY-SET-2-Page-9 Image
CBSE-Class-12-Previous-Year-Question-Papers-MATHEMATICS-W1XZY-SET-2-Page-10 Image
CBSE-Class-12-Previous-Year-Question-Papers-MATHEMATICS-W1XZY-SET-2-Page-11 Image
CBSE-Class-12-Previous-Year-Question-Papers-MATHEMATICS-W1XZY-SET-2-Page-12 Image
CBSE-Class-12-Previous-Year-Question-Papers-MATHEMATICS-W1XZY-SET-2-Page-13 Image
CBSE-Class-12-Previous-Year-Question-Papers-MATHEMATICS-W1XZY-SET-2-Page-14 Image
CBSE-Class-12-Previous-Year-Question-Papers-MATHEMATICS-W1XZY-SET-2-Page-15 Image
CBSE-Class-12-Previous-Year-Question-Papers-MATHEMATICS-W1XZY-SET-2-Page-16 Image
CBSE-Class-12-Previous-Year-Question-Papers-MATHEMATICS-W1XZY-SET-2-Page-17 Image
CBSE-Class-12-Previous-Year-Question-Papers-MATHEMATICS-W1XZY-SET-2-Page-18 Image
CBSE-Class-12-Previous-Year-Question-Papers-MATHEMATICS-W1XZY-SET-2-Page-19 Image
CBSE-Class-12-Previous-Year-Question-Papers-MATHEMATICS-W1XZY-SET-2-Page-20 Image
CBSE-Class-12-Previous-Year-Question-Papers-MATHEMATICS-W1XZY-SET-2-Page-21 Image
CBSE-Class-12-Previous-Year-Question-Papers-MATHEMATICS-W1XZY-SET-2-Page-22 Image
CBSE-Class-12-Previous-Year-Question-Papers-MATHEMATICS-W1XZY-SET-2-Page-23 Image

Other CBSE Previous Year Question Papers for Class 12 - FINAL PAPERS released in 2025

Browse other subjects available for the same class, category, and year.

ACCOUNTANCY-W2YXZ-SET-1

Class 12 - 2025 - FINAL PAPERS - ACCOUNTANCY-W2YXZ-SET-1 papers

ACCOUNTANCY-W2YXZ-SET-2

Class 12 - 2025 - FINAL PAPERS - ACCOUNTANCY-W2YXZ-SET-2 papers

ACCOUNTANCY-W2YXZ-SET-3

Class 12 - 2025 - FINAL PAPERS - ACCOUNTANCY-W2YXZ-SET-3 papers

ACCOUNTANCY-W4YXZ-SET-1

Class 12 - 2025 - FINAL PAPERS - ACCOUNTANCY-W4YXZ-SET-1 papers

ACCOUNTANCY-W4YXZ-SET-2

Class 12 - 2025 - FINAL PAPERS - ACCOUNTANCY-W4YXZ-SET-2 papers

ACCOUNTANCY-W4YXZ-SET-3

Class 12 - 2025 - FINAL PAPERS - ACCOUNTANCY-W4YXZ-SET-3 papers

ACCOUNTANCY-WXYZ-S-SET-1

Class 12 - 2025 - FINAL PAPERS - ACCOUNTANCY-WXYZ-S-SET-1 papers

ACCOUNTANCY-WXYZ-S-SET-2

Class 12 - 2025 - FINAL PAPERS - ACCOUNTANCY-WXYZ-S-SET-2 papers

ACCOUNTANCY-WXYZ-S-SET-3

Class 12 - 2025 - FINAL PAPERS - ACCOUNTANCY-WXYZ-S-SET-3 papers

ACCOUNTANCY-WYXZ5-SET-1

Class 12 - 2025 - FINAL PAPERS - ACCOUNTANCY-WYXZ5-SET-1 papers

ACCOUNTANCY-WYXZ5-SET-2

Class 12 - 2025 - FINAL PAPERS - ACCOUNTANCY-WYXZ5-SET-2 papers

ACCOUNTANCY-WYXZ5-SET-3

Class 12 - 2025 - FINAL PAPERS - ACCOUNTANCY-WYXZ5-SET-3 papers

ACCOUNTANCY-WYXZ6-SET-1

Class 12 - 2025 - FINAL PAPERS - ACCOUNTANCY-WYXZ6-SET-1 papers

ACCOUNTANCY-WYXZ6-SET-2

Class 12 - 2025 - FINAL PAPERS - ACCOUNTANCY-WYXZ6-SET-2 papers

ACCOUNTANCY-WYXZ6-SET-3

Class 12 - 2025 - FINAL PAPERS - ACCOUNTANCY-WYXZ6-SET-3 papers

ACCOUNTANCY-WYXZ7-SET-1

Class 12 - 2025 - FINAL PAPERS - ACCOUNTANCY-WYXZ7-SET-1 papers

ACCOUNTANCY-WYXZ7-SET-2

Class 12 - 2025 - FINAL PAPERS - ACCOUNTANCY-WYXZ7-SET-2 papers

ACCOUNTANCY-WYXZ7-SET-3

Class 12 - 2025 - FINAL PAPERS - ACCOUNTANCY-WYXZ7-SET-3 papers

ACCOUNTANCY-ZYWX1-SET-1

Class 12 - 2025 - FINAL PAPERS - ACCOUNTANCY-ZYWX1-SET-1 papers

ACCOUNTANCY-ZYWX1-SET-2

Class 12 - 2025 - FINAL PAPERS - ACCOUNTANCY-ZYWX1-SET-2 papers

ACCOUNTANCY-ZYWX1-SET-3

Class 12 - 2025 - FINAL PAPERS - ACCOUNTANCY-ZYWX1-SET-3 papers

AGRICULTURE-WXYZ-S-SET-4

Class 12 - 2025 - FINAL PAPERS - AGRICULTURE-WXYZ-S-SET-4 papers

AGRICULTURE-YWXZ4-SET-4

Class 12 - 2025 - FINAL PAPERS - AGRICULTURE-YWXZ4-SET-4 papers

AIR-CONDITIONING-AND-REFRIGERATION-X4YZW-SET-4

Class 12 - 2025 - FINAL PAPERS - AIR-CONDITIONING-AND-REFRIGERATION-X4YZW-SET-4 papers

APPLIED-MATHEMATICS-W1XZY-SET-4

Class 12 - 2025 - FINAL PAPERS - APPLIED-MATHEMATICS-W1XZY-SET-4 papers

APPLIED-MATHEMATICS-WXYZ-S-SET-4

Class 12 - 2025 - FINAL PAPERS - APPLIED-MATHEMATICS-WXYZ-S-SET-4 papers

ARABIC-X4YZW-SET-4

Class 12 - 2025 - FINAL PAPERS - ARABIC-X4YZW-SET-4 papers

ARTIFICIAL-INTELLIGENCE-WXYZ-S-SET-4

Class 12 - 2025 - FINAL PAPERS - ARTIFICIAL-INTELLIGENCE-WXYZ-S-SET-4 papers

ARTIFICIAL-INTELLIGENCE-YWXZ4-SET-4

Class 12 - 2025 - FINAL PAPERS - ARTIFICIAL-INTELLIGENCE-YWXZ4-SET-4 papers

ASSAMESE-X4YZW-SET-4

Class 12 - 2025 - FINAL PAPERS - ASSAMESE-X4YZW-SET-4 papers

AUTOMOTIVE-4YWZX-SET-4

Class 12 - 2025 - FINAL PAPERS - AUTOMOTIVE-4YWZX-SET-4 papers

AUTOMOTIVE-WXYZ-S-SET-4

Class 12 - 2025 - FINAL PAPERS - AUTOMOTIVE-WXYZ-S-SET-4 papers

BANKING-WXY4Z-SET-4

Class 12 - 2025 - FINAL PAPERS - BANKING-WXY4Z-SET-4 papers

BANKING-WXYZ-S-SET-4

Class 12 - 2025 - FINAL PAPERS - BANKING-WXYZ-S-SET-4 papers

BEAUTY-AND-WELLNESS-WXYZ-S-SET-4

Class 12 - 2025 - FINAL PAPERS - BEAUTY-AND-WELLNESS-WXYZ-S-SET-4 papers

BEAUTY-AND-WELLNESS-X4YZW-SET-4

Class 12 - 2025 - FINAL PAPERS - BEAUTY-AND-WELLNESS-X4YZW-SET-4 papers

BENGALI-WXYZ-S-SET-4

Class 12 - 2025 - FINAL PAPERS - BENGALI-WXYZ-S-SET-4 papers

BENGALI-X4YZW-SET-4

Class 12 - 2025 - FINAL PAPERS - BENGALI-X4YZW-SET-4 papers

BHARATNATYAM-DANCE-YWXZ4-SET-4

Class 12 - 2025 - FINAL PAPERS - BHARATNATYAM-DANCE-YWXZ4-SET-4 papers

BHOTI-ZXW4Y-SET-4

Class 12 - 2025 - FINAL PAPERS - BHOTI-ZXW4Y-SET-4 papers

BHUTIA-X4YZW-SET-4

Class 12 - 2025 - FINAL PAPERS - BHUTIA-X4YZW-SET-4 papers

BIOLOGY-WXYZ-S-SET-1

Class 12 - 2025 - FINAL PAPERS - BIOLOGY-WXYZ-S-SET-1 papers

BIOLOGY-WXYZ-S-SET-2

Class 12 - 2025 - FINAL PAPERS - BIOLOGY-WXYZ-S-SET-2 papers

BIOLOGY-WXYZ-S-SET-3

Class 12 - 2025 - FINAL PAPERS - BIOLOGY-WXYZ-S-SET-3 papers

BIOLOGY-XY1ZW-SET-1

Class 12 - 2025 - FINAL PAPERS - BIOLOGY-XY1ZW-SET-1 papers

BIOLOGY-XY1ZW-SET-2

Class 12 - 2025 - FINAL PAPERS - BIOLOGY-XY1ZW-SET-2 papers

BIOLOGY-XY1ZW-SET-3

Class 12 - 2025 - FINAL PAPERS - BIOLOGY-XY1ZW-SET-3 papers

BIOLOGY-Y7XWZ-SET-1

Class 12 - 2025 - FINAL PAPERS - BIOLOGY-Y7XWZ-SET-1 papers

BIOLOGY-Y7XWZ-SET-2

Class 12 - 2025 - FINAL PAPERS - BIOLOGY-Y7XWZ-SET-2 papers

BIOLOGY-Y7XWZ-SET-3

Class 12 - 2025 - FINAL PAPERS - BIOLOGY-Y7XWZ-SET-3 papers

BIOLOGY-YWX6Z-SET-1

Class 12 - 2025 - FINAL PAPERS - BIOLOGY-YWX6Z-SET-1 papers

BIOLOGY-YWX6Z-SET-2

Class 12 - 2025 - FINAL PAPERS - BIOLOGY-YWX6Z-SET-2 papers

BIOLOGY-YWX6Z-SET-3

Class 12 - 2025 - FINAL PAPERS - BIOLOGY-YWX6Z-SET-3 papers

BIOLOGY-Z2YWX-SET-1

Class 12 - 2025 - FINAL PAPERS - BIOLOGY-Z2YWX-SET-1 papers

BIOLOGY-Z2YWX-SET-2

Class 12 - 2025 - FINAL PAPERS - BIOLOGY-Z2YWX-SET-2 papers

BIOLOGY-Z2YWX-SET-3

Class 12 - 2025 - FINAL PAPERS - BIOLOGY-Z2YWX-SET-3 papers

BIOLOGY-Z4WYX-SET-1

Class 12 - 2025 - FINAL PAPERS - BIOLOGY-Z4WYX-SET-1 papers

BIOLOGY-Z4WYX-SET-2

Class 12 - 2025 - FINAL PAPERS - BIOLOGY-Z4WYX-SET-2 papers

BIOLOGY-Z4WYX-SET-3

Class 12 - 2025 - FINAL PAPERS - BIOLOGY-Z4WYX-SET-3 papers

BIOLOGY-Z5YWX-SET-1

Class 12 - 2025 - FINAL PAPERS - BIOLOGY-Z5YWX-SET-1 papers

BIOLOGY-Z5YWX-SET-2

Class 12 - 2025 - FINAL PAPERS - BIOLOGY-Z5YWX-SET-2 papers

BIOLOGY-Z5YWX-SET-3

Class 12 - 2025 - FINAL PAPERS - BIOLOGY-Z5YWX-SET-3 papers

BIOTECHNOLOGY-WXYZ-S-SET-4

Class 12 - 2025 - FINAL PAPERS - BIOTECHNOLOGY-WXYZ-S-SET-4 papers

BIOTECHNOLOGY-ZXW4Y-SET-4

Class 12 - 2025 - FINAL PAPERS - BIOTECHNOLOGY-ZXW4Y-SET-4 papers

BODO-WXYZ-S-SET-4

Class 12 - 2025 - FINAL PAPERS - BODO-WXYZ-S-SET-4 papers

BODO-X4YZW-SET-4

Class 12 - 2025 - FINAL PAPERS - BODO-X4YZW-SET-4 papers

BUSINESS-ADMINISTRATION-1ZYXW-SET-4

Class 12 - 2025 - FINAL PAPERS - BUSINESS-ADMINISTRATION-1ZYXW-SET-4 papers

BUSINESS-STUDIES-1ZYXW-SET-1

Class 12 - 2025 - FINAL PAPERS - BUSINESS-STUDIES-1ZYXW-SET-1 papers

BUSINESS-STUDIES-1ZYXW-SET-2

Class 12 - 2025 - FINAL PAPERS - BUSINESS-STUDIES-1ZYXW-SET-2 papers

BUSINESS-STUDIES-1ZYXW-SET-3

Class 12 - 2025 - FINAL PAPERS - BUSINESS-STUDIES-1ZYXW-SET-3 papers

BUSINESS-STUDIES-W6ZYX-SET-1

Class 12 - 2025 - FINAL PAPERS - BUSINESS-STUDIES-W6ZYX-SET-1 papers

BUSINESS-STUDIES-W6ZYX-SET-2

Class 12 - 2025 - FINAL PAPERS - BUSINESS-STUDIES-W6ZYX-SET-2 papers

BUSINESS-STUDIES-W6ZYX-SET-3

Class 12 - 2025 - FINAL PAPERS - BUSINESS-STUDIES-W6ZYX-SET-3 papers

BUSINESS-STUDIES-WXYZ-S-SET-1

Class 12 - 2025 - FINAL PAPERS - BUSINESS-STUDIES-WXYZ-S-SET-1 papers

BUSINESS-STUDIES-WXYZ-S-SET-2

Class 12 - 2025 - FINAL PAPERS - BUSINESS-STUDIES-WXYZ-S-SET-2 papers

BUSINESS-STUDIES-WXYZ-S-SET-3

Class 12 - 2025 - FINAL PAPERS - BUSINESS-STUDIES-WXYZ-S-SET-3 papers

BUSINESS-STUDIES-WYX5Z-SET-1

Class 12 - 2025 - FINAL PAPERS - BUSINESS-STUDIES-WYX5Z-SET-1 papers

BUSINESS-STUDIES-WYX5Z-SET-2

Class 12 - 2025 - FINAL PAPERS - BUSINESS-STUDIES-WYX5Z-SET-2 papers

BUSINESS-STUDIES-WYX5Z-SET-3

Class 12 - 2025 - FINAL PAPERS - BUSINESS-STUDIES-WYX5Z-SET-3 papers

BUSINESS-STUDIES-Y2XWZ-SET-1

Class 12 - 2025 - FINAL PAPERS - BUSINESS-STUDIES-Y2XWZ-SET-1 papers

BUSINESS-STUDIES-Y2XWZ-SET-2

Class 12 - 2025 - FINAL PAPERS - BUSINESS-STUDIES-Y2XWZ-SET-2 papers

BUSINESS-STUDIES-Y2XWZ-SET-3

Class 12 - 2025 - FINAL PAPERS - BUSINESS-STUDIES-Y2XWZ-SET-3 papers

BUSINESS-STUDIES-YWXZ4-SET-1

Class 12 - 2025 - FINAL PAPERS - BUSINESS-STUDIES-YWXZ4-SET-1 papers

BUSINESS-STUDIES-YWXZ4-SET-2

Class 12 - 2025 - FINAL PAPERS - BUSINESS-STUDIES-YWXZ4-SET-2 papers

BUSINESS-STUDIES-YWXZ4-SET-3

Class 12 - 2025 - FINAL PAPERS - BUSINESS-STUDIES-YWXZ4-SET-3 papers

BUSINESS-STUDIES-ZYW7X-SET-1

Class 12 - 2025 - FINAL PAPERS - BUSINESS-STUDIES-ZYW7X-SET-1 papers

BUSINESS-STUDIES-ZYW7X-SET-2

Class 12 - 2025 - FINAL PAPERS - BUSINESS-STUDIES-ZYW7X-SET-2 papers

BUSINESS-STUDIES-ZYW7X-SET-3

Class 12 - 2025 - FINAL PAPERS - BUSINESS-STUDIES-ZYW7X-SET-3 papers

CARNATIC-MUSIC-INSTRUMENTAL-PERCUSSION-MRIDANGAM-YXWZ4-SET-4

Class 12 - 2025 - FINAL PAPERS - CARNATIC-MUSIC-INSTRUMENTAL-PERCUSSION-MRIDANGAM-YXWZ4-SET-4 papers

CARNATIC-MUSIC-MELODIC-INSTRUMENTS-YXWZ4-SET-4

Class 12 - 2025 - FINAL PAPERS - CARNATIC-MUSIC-MELODIC-INSTRUMENTS-YXWZ4-SET-4 papers

CARNATIC-MUSIC-VOCAL-YXWZ4-SET-4

Class 12 - 2025 - FINAL PAPERS - CARNATIC-MUSIC-VOCAL-YXWZ4-SET-4 papers

CHEMISTRY-W2YXZ-SET-1

Class 12 - 2025 - FINAL PAPERS - CHEMISTRY-W2YXZ-SET-1 papers

CHEMISTRY-W2YXZ-SET-2

Class 12 - 2025 - FINAL PAPERS - CHEMISTRY-W2YXZ-SET-2 papers

CHEMISTRY-W2YXZ-SET-3

Class 12 - 2025 - FINAL PAPERS - CHEMISTRY-W2YXZ-SET-3 papers

CHEMISTRY-W4YXZ-SET-1

Class 12 - 2025 - FINAL PAPERS - CHEMISTRY-W4YXZ-SET-1 papers

CHEMISTRY-W4YXZ-SET-2

Class 12 - 2025 - FINAL PAPERS - CHEMISTRY-W4YXZ-SET-2 papers

CHEMISTRY-W4YXZ-SET-3

Class 12 - 2025 - FINAL PAPERS - CHEMISTRY-W4YXZ-SET-3 papers

CHEMISTRY-WXYZ-S-SET-1

Class 12 - 2025 - FINAL PAPERS - CHEMISTRY-WXYZ-S-SET-1 papers

CHEMISTRY-WXYZ-S-SET-2

Class 12 - 2025 - FINAL PAPERS - CHEMISTRY-WXYZ-S-SET-2 papers

CHEMISTRY-WXYZ-S-SET-3

Class 12 - 2025 - FINAL PAPERS - CHEMISTRY-WXYZ-S-SET-3 papers

CHEMISTRY-WYXZ5-SET-1

Class 12 - 2025 - FINAL PAPERS - CHEMISTRY-WYXZ5-SET-1 papers

CHEMISTRY-WYXZ5-SET-2

Class 12 - 2025 - FINAL PAPERS - CHEMISTRY-WYXZ5-SET-2 papers

CHEMISTRY-WYXZ5-SET-3

Class 12 - 2025 - FINAL PAPERS - CHEMISTRY-WYXZ5-SET-3 papers

CHEMISTRY-WYXZ6-SET-1

Class 12 - 2025 - FINAL PAPERS - CHEMISTRY-WYXZ6-SET-1 papers

CHEMISTRY-WYXZ6-SET-2

Class 12 - 2025 - FINAL PAPERS - CHEMISTRY-WYXZ6-SET-2 papers

CHEMISTRY-WYXZ6-SET-3

Class 12 - 2025 - FINAL PAPERS - CHEMISTRY-WYXZ6-SET-3 papers

CHEMISTRY-WYXZ7-SET-1

Class 12 - 2025 - FINAL PAPERS - CHEMISTRY-WYXZ7-SET-1 papers

CHEMISTRY-WYXZ7-SET-2

Class 12 - 2025 - FINAL PAPERS - CHEMISTRY-WYXZ7-SET-2 papers

CHEMISTRY-WYXZ7-SET-3

Class 12 - 2025 - FINAL PAPERS - CHEMISTRY-WYXZ7-SET-3 papers

CHEMISTRY-ZYWX1-SET-1

Class 12 - 2025 - FINAL PAPERS - CHEMISTRY-ZYWX1-SET-1 papers

CHEMISTRY-ZYWX1-SET-2

Class 12 - 2025 - FINAL PAPERS - CHEMISTRY-ZYWX1-SET-2 papers

CHEMISTRY-ZYWX1-SET-3

Class 12 - 2025 - FINAL PAPERS - CHEMISTRY-ZYWX1-SET-3 papers

COMMERCIAL-ART-HISTORY-OF-INDIAN-ART-WXY4Z-SET-4

Class 12 - 2025 - FINAL PAPERS - COMMERCIAL-ART-HISTORY-OF-INDIAN-ART-WXY4Z-SET-4 papers

COMMERCIAL-ART-HISTORY-OF-INDIAN-ART-WXYZ-S-SET-4

Class 12 - 2025 - FINAL PAPERS - COMMERCIAL-ART-HISTORY-OF-INDIAN-ART-WXYZ-S-SET-4 papers

COMPUTER-SCIENCE-4YWZX-SET-4

Class 12 - 2025 - FINAL PAPERS - COMPUTER-SCIENCE-4YWZX-SET-4 papers

COMPUTER-SCIENCE-WXYZ-S-SET-4

Class 12 - 2025 - FINAL PAPERS - COMPUTER-SCIENCE-WXYZ-S-SET-4 papers

COST-ACCOUNTING-YWXZ4-SET-4

Class 12 - 2025 - FINAL PAPERS - COST-ACCOUNTING-YWXZ4-SET-4 papers

DANCE-KUCHIPUDI-YWXZ4-SET-4

Class 12 - 2025 - FINAL PAPERS - DANCE-KUCHIPUDI-YWXZ4-SET-4 papers

DATA-SCIENCE-4YWZX-SET-4

Class 12 - 2025 - FINAL PAPERS - DATA-SCIENCE-4YWZX-SET-4 papers

DESIGN-THINKING-AND-INNOVATION-X4YZW-SET-4

Class 12 - 2025 - FINAL PAPERS - DESIGN-THINKING-AND-INNOVATION-X4YZW-SET-4 papers

DESIGN-WXY4Z-SET-4

Class 12 - 2025 - FINAL PAPERS - DESIGN-WXY4Z-SET-4 papers

EARLY-CHILDHOOD-CARE-AND-EDUCATION-WXY4Z-SET-4

Class 12 - 2025 - FINAL PAPERS - EARLY-CHILDHOOD-CARE-AND-EDUCATION-WXY4Z-SET-4 papers

EARLY-CHILDHOOD-CARE-AND-EDUCATION-WXYZ-S-SET-4

Class 12 - 2025 - FINAL PAPERS - EARLY-CHILDHOOD-CARE-AND-EDUCATION-WXYZ-S-SET-4 papers

ECONOMICS-WXYZ-S-SET-1

Class 12 - 2025 - FINAL PAPERS - ECONOMICS-WXYZ-S-SET-1 papers

ECONOMICS-WXYZ-S-SET-2

Class 12 - 2025 - FINAL PAPERS - ECONOMICS-WXYZ-S-SET-2 papers

ECONOMICS-WXYZ-S-SET-3

Class 12 - 2025 - FINAL PAPERS - ECONOMICS-WXYZ-S-SET-3 papers

ECONOMICS-XY1ZW-SET-1

Class 12 - 2025 - FINAL PAPERS - ECONOMICS-XY1ZW-SET-1 papers

ECONOMICS-XY1ZW-SET-2

Class 12 - 2025 - FINAL PAPERS - ECONOMICS-XY1ZW-SET-2 papers

ECONOMICS-XY1ZW-SET-3

Class 12 - 2025 - FINAL PAPERS - ECONOMICS-XY1ZW-SET-3 papers

ECONOMICS-Y7XWZ-SET-1

Class 12 - 2025 - FINAL PAPERS - ECONOMICS-Y7XWZ-SET-1 papers

ECONOMICS-Y7XWZ-SET-2

Class 12 - 2025 - FINAL PAPERS - ECONOMICS-Y7XWZ-SET-2 papers

ECONOMICS-Y7XWZ-SET-3

Class 12 - 2025 - FINAL PAPERS - ECONOMICS-Y7XWZ-SET-3 papers

ECONOMICS-YWX6Z-SET-1

Class 12 - 2025 - FINAL PAPERS - ECONOMICS-YWX6Z-SET-1 papers

ECONOMICS-YWX6Z-SET-2

Class 12 - 2025 - FINAL PAPERS - ECONOMICS-YWX6Z-SET-2 papers

ECONOMICS-YWX6Z-SET-3

Class 12 - 2025 - FINAL PAPERS - ECONOMICS-YWX6Z-SET-3 papers

ECONOMICS-Z2YWX-SET-1

Class 12 - 2025 - FINAL PAPERS - ECONOMICS-Z2YWX-SET-1 papers

ECONOMICS-Z2YWX-SET-2

Class 12 - 2025 - FINAL PAPERS - ECONOMICS-Z2YWX-SET-2 papers

ECONOMICS-Z2YWX-SET-3

Class 12 - 2025 - FINAL PAPERS - ECONOMICS-Z2YWX-SET-3 papers

ECONOMICS-Z4WYX-SET-1

Class 12 - 2025 - FINAL PAPERS - ECONOMICS-Z4WYX-SET-1 papers

ECONOMICS-Z4WYX-SET-2

Class 12 - 2025 - FINAL PAPERS - ECONOMICS-Z4WYX-SET-2 papers

ECONOMICS-Z4WYX-SET-3

Class 12 - 2025 - FINAL PAPERS - ECONOMICS-Z4WYX-SET-3 papers

ECONOMICS-Z5YWX-SET-1

Class 12 - 2025 - FINAL PAPERS - ECONOMICS-Z5YWX-SET-1 papers

ECONOMICS-Z5YWX-SET-2

Class 12 - 2025 - FINAL PAPERS - ECONOMICS-Z5YWX-SET-2 papers

ECONOMICS-Z5YWX-SET-3

Class 12 - 2025 - FINAL PAPERS - ECONOMICS-Z5YWX-SET-3 papers

ELECTRICAL-TECHNOLOGY-YXWZ4-SET-4

Class 12 - 2025 - FINAL PAPERS - ELECTRICAL-TECHNOLOGY-YXWZ4-SET-4 papers

ELECTRONICS-AND-HARDWARE-4YWZX-SET-4

Class 12 - 2025 - FINAL PAPERS - ELECTRONICS-AND-HARDWARE-4YWZX-SET-4 papers

ELECTRONICS-TECHNOLOGY-ZXW4Y-SET-4

Class 12 - 2025 - FINAL PAPERS - ELECTRONICS-TECHNOLOGY-ZXW4Y-SET-4 papers

ENGINEERING-GRAPHICS-WXYZ-S-SET-4

Class 12 - 2025 - FINAL PAPERS - ENGINEERING-GRAPHICS-WXYZ-S-SET-4 papers

ENGINEERING-GRAPHICS-YWXZ4-SET-4

Class 12 - 2025 - FINAL PAPERS - ENGINEERING-GRAPHICS-YWXZ4-SET-4 papers

ENGLISH-CORE-4YWZX-SET-1

Class 12 - 2025 - FINAL PAPERS - ENGLISH-CORE-4YWZX-SET-1 papers

ENGLISH-CORE-4YWZX-SET-2

Class 12 - 2025 - FINAL PAPERS - ENGLISH-CORE-4YWZX-SET-2 papers

ENGLISH-CORE-4YWZX-SET-3

Class 12 - 2025 - FINAL PAPERS - ENGLISH-CORE-4YWZX-SET-3 papers

ENGLISH-CORE-FH1EG-2-SET-2

Class 12 - 2025 - FINAL PAPERS - ENGLISH-CORE-FH1EG-2-SET-2 papers

ENGLISH-CORE-W6YXZ-SET-1

Class 12 - 2025 - FINAL PAPERS - ENGLISH-CORE-W6YXZ-SET-1 papers

ENGLISH-CORE-W6YXZ-SET-2

Class 12 - 2025 - FINAL PAPERS - ENGLISH-CORE-W6YXZ-SET-2 papers

ENGLISH-CORE-W6YXZ-SET-3

Class 12 - 2025 - FINAL PAPERS - ENGLISH-CORE-W6YXZ-SET-3 papers

ENGLISH-CORE-WXYZ-S-SET-1

Class 12 - 2025 - FINAL PAPERS - ENGLISH-CORE-WXYZ-S-SET-1 papers

ENGLISH-CORE-WXYZ-S-SET-2

Class 12 - 2025 - FINAL PAPERS - ENGLISH-CORE-WXYZ-S-SET-2 papers

ENGLISH-CORE-WXYZ-S-SET-3

Class 12 - 2025 - FINAL PAPERS - ENGLISH-CORE-WXYZ-S-SET-3 papers

ENGLISH-CORE-ZX7YW-SET-1

Class 12 - 2025 - FINAL PAPERS - ENGLISH-CORE-ZX7YW-SET-1 papers

ENGLISH-CORE-ZX7YW-SET-2

Class 12 - 2025 - FINAL PAPERS - ENGLISH-CORE-ZX7YW-SET-2 papers

ENGLISH-CORE-ZX7YW-SET-3

Class 12 - 2025 - FINAL PAPERS - ENGLISH-CORE-ZX7YW-SET-3 papers

ENGLISH-CORE-ZYW1X-SET-1

Class 12 - 2025 - FINAL PAPERS - ENGLISH-CORE-ZYW1X-SET-1 papers

ENGLISH-CORE-ZYW1X-SET-2

Class 12 - 2025 - FINAL PAPERS - ENGLISH-CORE-ZYW1X-SET-2 papers

ENGLISH-CORE-ZYW1X-SET-3

Class 12 - 2025 - FINAL PAPERS - ENGLISH-CORE-ZYW1X-SET-3 papers

ENGLISH-CORE-ZYW2X-SET-1

Class 12 - 2025 - FINAL PAPERS - ENGLISH-CORE-ZYW2X-SET-1 papers

ENGLISH-CORE-ZYW2X-SET-2

Class 12 - 2025 - FINAL PAPERS - ENGLISH-CORE-ZYW2X-SET-2 papers

ENGLISH-CORE-ZYW2X-SET-3

Class 12 - 2025 - FINAL PAPERS - ENGLISH-CORE-ZYW2X-SET-3 papers

ENGLISH-CORE-ZYWX5-SET-1

Class 12 - 2025 - FINAL PAPERS - ENGLISH-CORE-ZYWX5-SET-1 papers

ENGLISH-CORE-ZYWX5-SET-2

Class 12 - 2025 - FINAL PAPERS - ENGLISH-CORE-ZYWX5-SET-2 papers

ENGLISH-CORE-ZYWX5-SET-3

Class 12 - 2025 - FINAL PAPERS - ENGLISH-CORE-ZYWX5-SET-3 papers

ENGLISH-WXYZ-S-SET-4

Class 12 - 2025 - FINAL PAPERS - ENGLISH-WXYZ-S-SET-4 papers

ENTREPRENEURSHIP-WXY4Z-SET-4

Class 12 - 2025 - FINAL PAPERS - ENTREPRENEURSHIP-WXY4Z-SET-4 papers

ENTREPRENEURSHIP-WXYZ-S-SET-4

Class 12 - 2025 - FINAL PAPERS - ENTREPRENEURSHIP-WXYZ-S-SET-4 papers

FASHION-STUDIES-4YWZX-SET-4

Class 12 - 2025 - FINAL PAPERS - FASHION-STUDIES-4YWZX-SET-4 papers

FASHION-STUDIES-WXYZ-S-SET-4

Class 12 - 2025 - FINAL PAPERS - FASHION-STUDIES-WXYZ-S-SET-4 papers

FINANCIAL-MARKETS-MANAGEMENT-WXYZ-S-SET-4

Class 12 - 2025 - FINAL PAPERS - FINANCIAL-MARKETS-MANAGEMENT-WXYZ-S-SET-4 papers

FINANCIAL-MARKETS-MANAGEMENT-X4YZW-SET-4

Class 12 - 2025 - FINAL PAPERS - FINANCIAL-MARKETS-MANAGEMENT-X4YZW-SET-4 papers

FOOD-NUTRITION-AND-DIETETICS-WXYZ-S-SET-4

Class 12 - 2025 - FINAL PAPERS - FOOD-NUTRITION-AND-DIETETICS-WXYZ-S-SET-4 papers

FOOD-NUTRITION-AND-DIETETICS-ZXW4Y-SET-4

Class 12 - 2025 - FINAL PAPERS - FOOD-NUTRITION-AND-DIETETICS-ZXW4Y-SET-4 papers

FOOD-PRODUCTION-WXY4Z-SET-4

Class 12 - 2025 - FINAL PAPERS - FOOD-PRODUCTION-WXY4Z-SET-4 papers

FOOD-PRODUCTION-WXYZ-S-SET-4

Class 12 - 2025 - FINAL PAPERS - FOOD-PRODUCTION-WXYZ-S-SET-4 papers

FRANCH-WXYZ-S-SET-4

Class 12 - 2025 - FINAL PAPERS - FRANCH-WXYZ-S-SET-4 papers

FRENCH-YWXZ4-SET-4

Class 12 - 2025 - FINAL PAPERS - FRENCH-YWXZ4-SET-4 papers

FRONT-OFFICE-OPERATIONS-YXWZ4-SET-4

Class 12 - 2025 - FINAL PAPERS - FRONT-OFFICE-OPERATIONS-YXWZ4-SET-4 papers

GEOGRAPHY-WXY7Z-SET-1

Class 12 - 2025 - FINAL PAPERS - GEOGRAPHY-WXY7Z-SET-1 papers

GEOGRAPHY-WXYZ-S-SET-1

Class 12 - 2025 - FINAL PAPERS - GEOGRAPHY-WXYZ-S-SET-1 papers

GEOGRAPHY-WXYZ-S-SET-2

Class 12 - 2025 - FINAL PAPERS - GEOGRAPHY-WXYZ-S-SET-2 papers

GEOGRAPHY-WXYZ-S-SET-3

Class 12 - 2025 - FINAL PAPERS - GEOGRAPHY-WXYZ-S-SET-3 papers

GEOSPATIAL-TECHNOLOGY-YXWZ4-SET-4

Class 12 - 2025 - FINAL PAPERS - GEOSPATIAL-TECHNOLOGY-YXWZ4-SET-4 papers

GERMAN-X4YZW-SET-4

Class 12 - 2025 - FINAL PAPERS - GERMAN-X4YZW-SET-4 papers

GRAPHICS-HISTORY-OF-INDIAN-ART-WXY4Z-SET-4

Class 12 - 2025 - FINAL PAPERS - GRAPHICS-HISTORY-OF-INDIAN-ART-WXY4Z-SET-4 papers

GUJARATI-X4YZW-SET-4

Class 12 - 2025 - FINAL PAPERS - GUJARATI-X4YZW-SET-4 papers

HEALTH-CARE-4YWZX-SET-4

Class 12 - 2025 - FINAL PAPERS - HEALTH-CARE-4YWZX-SET-4 papers

HEALTH-CARE-WXYZ-S-SET-4

Class 12 - 2025 - FINAL PAPERS - HEALTH-CARE-WXYZ-S-SET-4 papers

HINDI-5WXZY-SET-1

Class 12 - 2025 - FINAL PAPERS - HINDI-5WXZY-SET-1 papers

HINDI-5WXZY-SET-2

Class 12 - 2025 - FINAL PAPERS - HINDI-5WXZY-SET-2 papers

HINDI-5WXZY-SET-3

Class 12 - 2025 - FINAL PAPERS - HINDI-5WXZY-SET-3 papers

HINDI-CORE-WXYZ-S-SET-1

Class 12 - 2025 - FINAL PAPERS - HINDI-CORE-WXYZ-S-SET-1 papers

HINDI-CORE-WXYZ-S-SET-2

Class 12 - 2025 - FINAL PAPERS - HINDI-CORE-WXYZ-S-SET-2 papers

HINDI-CORE-WXYZ-S-SET-3

Class 12 - 2025 - FINAL PAPERS - HINDI-CORE-WXYZ-S-SET-3 papers

HINDI-CORE-WYX7Z-SET-3

Class 12 - 2025 - FINAL PAPERS - HINDI-CORE-WYX7Z-SET-3 papers

HINDI-WXYZ-S-SET-1

Class 12 - 2025 - FINAL PAPERS - HINDI-WXYZ-S-SET-1 papers

HINDI-WXYZ-S-SET-2

Class 12 - 2025 - FINAL PAPERS - HINDI-WXYZ-S-SET-2 papers

HINDI-WXYZ-S-SET-3

Class 12 - 2025 - FINAL PAPERS - HINDI-WXYZ-S-SET-3 papers

HINDI-WYX2Z-SET-1

Class 12 - 2025 - FINAL PAPERS - HINDI-WYX2Z-SET-1 papers

HINDI-WYX2Z-SET-2

Class 12 - 2025 - FINAL PAPERS - HINDI-WYX2Z-SET-2 papers

HINDI-WYX2Z-SET-3

Class 12 - 2025 - FINAL PAPERS - HINDI-WYX2Z-SET-3 papers

HINDI-WYX7Z-SET-1

Class 12 - 2025 - FINAL PAPERS - HINDI-WYX7Z-SET-1 papers

HINDI-WYX7Z-SET-2

Class 12 - 2025 - FINAL PAPERS - HINDI-WYX7Z-SET-2 papers

HINDI-WYX7Z-SET-3

Class 12 - 2025 - FINAL PAPERS - HINDI-WYX7Z-SET-3 papers

HINDI-YXWZ4-SET-1

Class 12 - 2025 - FINAL PAPERS - HINDI-YXWZ4-SET-1 papers

HINDI-YXWZ4-SET-2

Class 12 - 2025 - FINAL PAPERS - HINDI-YXWZ4-SET-2 papers

HINDI-YXWZ4-SET-3

Class 12 - 2025 - FINAL PAPERS - HINDI-YXWZ4-SET-3 papers

HINDI-YZW1X-SET-1

Class 12 - 2025 - FINAL PAPERS - HINDI-YZW1X-SET-1 papers

HINDI-YZW1X-SET-2

Class 12 - 2025 - FINAL PAPERS - HINDI-YZW1X-SET-2 papers

HINDI-YZW1X-SET-3

Class 12 - 2025 - FINAL PAPERS - HINDI-YZW1X-SET-3 papers

HINDI-ZW6YX-SET-1

Class 12 - 2025 - FINAL PAPERS - HINDI-ZW6YX-SET-1 papers

HINDI-ZW6YX-SET-2

Class 12 - 2025 - FINAL PAPERS - HINDI-ZW6YX-SET-2 papers

HINDI-ZW6YX-SET-3

Class 12 - 2025 - FINAL PAPERS - HINDI-ZW6YX-SET-3 papers

HINDUSTANI-MUSIC-MELODIC-INSTRUMENTS-SET-4

Class 12 - 2025 - FINAL PAPERS - HINDUSTANI-MUSIC-MELODIC-INSTRUMENTS-SET-4 papers

HINDUSTANI-MUSIC-MELODIC-INSTRUMENTS-WXYZ-S-SET-4

Class 12 - 2025 - FINAL PAPERS - HINDUSTANI-MUSIC-MELODIC-INSTRUMENTS-WXYZ-S-SET-4 papers

HINDUSTANI-MUSIC-PERCUSSION-INSTRUMENTS-4YWZX-SET-4

Class 12 - 2025 - FINAL PAPERS - HINDUSTANI-MUSIC-PERCUSSION-INSTRUMENTS-4YWZX-SET-4 papers

HINDUSTANI-MUSIC-PERCUSSION-INSTRUMENTS-WXYZ-S-SET-4

Class 12 - 2025 - FINAL PAPERS - HINDUSTANI-MUSIC-PERCUSSION-INSTRUMENTS-WXYZ-S-SET-4 papers

HISTORY-W1XZY-SET-1

Class 12 - 2025 - FINAL PAPERS - HISTORY-W1XZY-SET-1 papers

HISTORY-W1XZY-SET-2

Class 12 - 2025 - FINAL PAPERS - HISTORY-W1XZY-SET-2 papers

HISTORY-W1XZY-SET-3

Class 12 - 2025 - FINAL PAPERS - HISTORY-W1XZY-SET-3 papers

HISTORY-WXYZ-S-SET-1

Class 12 - 2025 - FINAL PAPERS - HISTORY-WXYZ-S-SET-1 papers

HISTORY-WXYZ-S-SET-2

Class 12 - 2025 - FINAL PAPERS - HISTORY-WXYZ-S-SET-2 papers

HISTORY-WXYZ-S-SET-3

Class 12 - 2025 - FINAL PAPERS - HISTORY-WXYZ-S-SET-3 papers

HISTORY-YXW2Z-SET-1

Class 12 - 2025 - FINAL PAPERS - HISTORY-YXW2Z-SET-1 papers

HISTORY-YXW2Z-SET-2

Class 12 - 2025 - FINAL PAPERS - HISTORY-YXW2Z-SET-2 papers

HISTORY-YXW2Z-SET-3

Class 12 - 2025 - FINAL PAPERS - HISTORY-YXW2Z-SET-3 papers

HISTORY-Z6YWX-SET-1

Class 12 - 2025 - FINAL PAPERS - HISTORY-Z6YWX-SET-1 papers

HISTORY-Z6YWX-SET-2

Class 12 - 2025 - FINAL PAPERS - HISTORY-Z6YWX-SET-2 papers

HISTORY-Z6YWX-SET-3

Class 12 - 2025 - FINAL PAPERS - HISTORY-Z6YWX-SET-3 papers

HISTORY-ZWY7X-SET-1

Class 12 - 2025 - FINAL PAPERS - HISTORY-ZWY7X-SET-1 papers

HISTORY-ZWY7X-SET-2

Class 12 - 2025 - FINAL PAPERS - HISTORY-ZWY7X-SET-2 papers

HISTORY-ZWY7X-SET-3

Class 12 - 2025 - FINAL PAPERS - HISTORY-ZWY7X-SET-3 papers

HISTORY-ZXW4Y-SET-1

Class 12 - 2025 - FINAL PAPERS - HISTORY-ZXW4Y-SET-1 papers

HISTORY-ZXW4Y-SET-2

Class 12 - 2025 - FINAL PAPERS - HISTORY-ZXW4Y-SET-2 papers

HISTORY-ZXW4Y-SET-3

Class 12 - 2025 - FINAL PAPERS - HISTORY-ZXW4Y-SET-3 papers

HISTORY-ZXW5Y-SET-1

Class 12 - 2025 - FINAL PAPERS - HISTORY-ZXW5Y-SET-1 papers

HISTORY-ZXW5Y-SET-2

Class 12 - 2025 - FINAL PAPERS - HISTORY-ZXW5Y-SET-2 papers

HISTORY-ZXW5Y-SET-3

Class 12 - 2025 - FINAL PAPERS - HISTORY-ZXW5Y-SET-3 papers

HOME-SCIENCE-WXYZ-S-SET-4

Class 12 - 2025 - FINAL PAPERS - HOME-SCIENCE-WXYZ-S-SET-4 papers

HOME-SCIENCE-Z4WYX-SET-4

Class 12 - 2025 - FINAL PAPERS - HOME-SCIENCE-Z4WYX-SET-4 papers

HORTICULTURE-YWXZ4-SET-4

Class 12 - 2025 - FINAL PAPERS - HORTICULTURE-YWXZ4-SET-4 papers

INFORMATICS-PRACTICES-4YWZX-SET-4

Class 12 - 2025 - FINAL PAPERS - INFORMATICS-PRACTICES-4YWZX-SET-4 papers

INFORMATICS-PRACTICES-WXYZ-S-SET-4

Class 12 - 2025 - FINAL PAPERS - INFORMATICS-PRACTICES-WXYZ-S-SET-4 papers

INFORMATION-TECHNOLOGY-4YWZX-SET-4

Class 12 - 2025 - FINAL PAPERS - INFORMATION-TECHNOLOGY-4YWZX-SET-4 papers

INFORMATION-TECHNOLOGY-WXYZ-S-SET-4

Class 12 - 2025 - FINAL PAPERS - INFORMATION-TECHNOLOGY-WXYZ-S-SET-4 papers

INSURANCE-WXYZ-S-SET-4

Class 12 - 2025 - FINAL PAPERS - INSURANCE-WXYZ-S-SET-4 papers

INSURANCE-YXWZ4-SET-4

Class 12 - 2025 - FINAL PAPERS - INSURANCE-YXWZ4-SET-4 papers

JAPANESE-X4YZW-SET-4

Class 12 - 2025 - FINAL PAPERS - JAPANESE-X4YZW-SET-4 papers

KANNADA-LANGUAGE-X4YZW-SET-4

Class 12 - 2025 - FINAL PAPERS - KANNADA-LANGUAGE-X4YZW-SET-4 papers

KATHAK-DANCE-WXYZ-S-SET-4

Class 12 - 2025 - FINAL PAPERS - KATHAK-DANCE-WXYZ-S-SET-4 papers

KATHAK-DANCE-YXWZ4-SET-4

Class 12 - 2025 - FINAL PAPERS - KATHAK-DANCE-YXWZ4-SET-4 papers

KNOWLEDGE-TRADITIONS-AND-PRACTICES-OF-INDIA-ZXW4Y-SET-4

Class 12 - 2025 - FINAL PAPERS - KNOWLEDGE-TRADITIONS-AND-PRACTICES-OF-INDIA-ZXW4Y-SET-4 papers

KOKBORKO-ZXW4Y-SET-4

Class 12 - 2025 - FINAL PAPERS - KOKBORKO-ZXW4Y-SET-4 papers

KOKBOROK-WXYZ-S-SET-4

Class 12 - 2025 - FINAL PAPERS - KOKBOROK-WXYZ-S-SET-4 papers

LEGAL-STUDIES-WXYZ-S-SET-4

Class 12 - 2025 - FINAL PAPERS - LEGAL-STUDIES-WXYZ-S-SET-4 papers

LEGAL-STUDIES-X4YZW-SET-4

Class 12 - 2025 - FINAL PAPERS - LEGAL-STUDIES-X4YZW-SET-4 papers

LEPCHA-X4YZW-SET-4

Class 12 - 2025 - FINAL PAPERS - LEPCHA-X4YZW-SET-4 papers

LIBRARY-AND-INFORMATION-SCIENCE-YWXZ4-SET-4

Class 12 - 2025 - FINAL PAPERS - LIBRARY-AND-INFORMATION-SCIENCE-YWXZ4-SET-4 papers

LIMBOO-X4YZW-SET-4

Class 12 - 2025 - FINAL PAPERS - LIMBOO-X4YZW-SET-4 papers

MALAYALAM-WXYZ-S-SET-4

Class 12 - 2025 - FINAL PAPERS - MALAYALAM-WXYZ-S-SET-4 papers

MALAYALAM-X4YZW-SET-4

Class 12 - 2025 - FINAL PAPERS - MALAYALAM-X4YZW-SET-4 papers

MANIPURI-DANCE-YWXZ4-SET-4

Class 12 - 2025 - FINAL PAPERS - MANIPURI-DANCE-YWXZ4-SET-4 papers

MANIPURI-WXYZ-S-SET-4

Class 12 - 2025 - FINAL PAPERS - MANIPURI-WXYZ-S-SET-4 papers

MANIPURI-X4YZW-SET-4

Class 12 - 2025 - FINAL PAPERS - MANIPURI-X4YZW-SET-4 papers

MARATHI-X4YZW-SET-4

Class 12 - 2025 - FINAL PAPERS - MARATHI-X4YZW-SET-4 papers

MARKETING-WXYZ-S-SET-4

Class 12 - 2025 - FINAL PAPERS - MARKETING-WXYZ-S-SET-4 papers

MARKETING-YWXZ4-SET-4

Class 12 - 2025 - FINAL PAPERS - MARKETING-YWXZ4-SET-4 papers

MASS-MEDIA-STUDIES-X4YZW-SET-4

Class 12 - 2025 - FINAL PAPERS - MASS-MEDIA-STUDIES-X4YZW-SET-4 papers

MATHEMATICS-W1XZY-SET-1

Class 12 - 2025 - FINAL PAPERS - MATHEMATICS-W1XZY-SET-1 papers

MATHEMATICS-W1XZY-SET-3

Class 12 - 2025 - FINAL PAPERS - MATHEMATICS-W1XZY-SET-3 papers

MATHEMATICS-WXYZ-S-SET-1

Class 12 - 2025 - FINAL PAPERS - MATHEMATICS-WXYZ-S-SET-1 papers

MATHEMATICS-WXYZ-S-SET-2

Class 12 - 2025 - FINAL PAPERS - MATHEMATICS-WXYZ-S-SET-2 papers

MATHEMATICS-WXYZ-S-SET-3

Class 12 - 2025 - FINAL PAPERS - MATHEMATICS-WXYZ-S-SET-3 papers

MATHEMATICS-YXW2Z-SET-1

Class 12 - 2025 - FINAL PAPERS - MATHEMATICS-YXW2Z-SET-1 papers

MATHEMATICS-YXW2Z-SET-2

Class 12 - 2025 - FINAL PAPERS - MATHEMATICS-YXW2Z-SET-2 papers

MATHEMATICS-YXW2Z-SET-3

Class 12 - 2025 - FINAL PAPERS - MATHEMATICS-YXW2Z-SET-3 papers

MATHEMATICS-Z6YWX-SET-1

Class 12 - 2025 - FINAL PAPERS - MATHEMATICS-Z6YWX-SET-1 papers

MATHEMATICS-Z6YWX-SET-2

Class 12 - 2025 - FINAL PAPERS - MATHEMATICS-Z6YWX-SET-2 papers

MATHEMATICS-Z6YWX-SET-3

Class 12 - 2025 - FINAL PAPERS - MATHEMATICS-Z6YWX-SET-3 papers

MATHEMATICS-ZWY7X-SET-1

Class 12 - 2025 - FINAL PAPERS - MATHEMATICS-ZWY7X-SET-1 papers

MATHEMATICS-ZWY7X-SET-2

Class 12 - 2025 - FINAL PAPERS - MATHEMATICS-ZWY7X-SET-2 papers

MATHEMATICS-ZWY7X-SET-3

Class 12 - 2025 - FINAL PAPERS - MATHEMATICS-ZWY7X-SET-3 papers

MATHEMATICS-ZXW4Y-SET-1

Class 12 - 2025 - FINAL PAPERS - MATHEMATICS-ZXW4Y-SET-1 papers

MATHEMATICS-ZXW4Y-SET-2

Class 12 - 2025 - FINAL PAPERS - MATHEMATICS-ZXW4Y-SET-2 papers

MATHEMATICS-ZXW4Y-SET-3

Class 12 - 2025 - FINAL PAPERS - MATHEMATICS-ZXW4Y-SET-3 papers

MATHEMATICS-ZXW5Y-SET-1

Class 12 - 2025 - FINAL PAPERS - MATHEMATICS-ZXW5Y-SET-1 papers

MATHEMATICS-ZXW5Y-SET-2

Class 12 - 2025 - FINAL PAPERS - MATHEMATICS-ZXW5Y-SET-2 papers

MATHEMATICS-ZXW5Y-SET-3

Class 12 - 2025 - FINAL PAPERS - MATHEMATICS-ZXW5Y-SET-3 papers

MEDICAL-DIAGNOSTICS-X4YZW-SET-4

Class 12 - 2025 - FINAL PAPERS - MEDICAL-DIAGNOSTICS-X4YZW-SET-4 papers

MIZO-X4YZW-SET-4

Class 12 - 2025 - FINAL PAPERS - MIZO-X4YZW-SET-4 papers

MULTIMEDIA-4YWZX-SET-4

Class 12 - 2025 - FINAL PAPERS - MULTIMEDIA-4YWZX-SET-4 papers

MUSIC-HINDUSTANI-VOCAL-WXY4Z-SET-4

Class 12 - 2025 - FINAL PAPERS - MUSIC-HINDUSTANI-VOCAL-WXY4Z-SET-4 papers

MUSIC-HINDUSTANI-VOCAL-WXYZ-S-SET-4

Class 12 - 2025 - FINAL PAPERS - MUSIC-HINDUSTANI-VOCAL-WXYZ-S-SET-4 papers

NATIONAL-CADET-CORPS-NCC-WXY4Z-SET-4

Class 12 - 2025 - FINAL PAPERS - NATIONAL-CADET-CORPS-NCC-WXY4Z-SET-4 papers

NEPALI-WXYZ-S-SET-4

Class 12 - 2025 - FINAL PAPERS - NEPALI-WXYZ-S-SET-4 papers

NEPALI-X4YZW-SET-4

Class 12 - 2025 - FINAL PAPERS - NEPALI-X4YZW-SET-4 papers

ODIA-X4YZW-SET-4

Class 12 - 2025 - FINAL PAPERS - ODIA-X4YZW-SET-4 papers

ODISSI-DANCE-YWXZ4-SET-4

Class 12 - 2025 - FINAL PAPERS - ODISSI-DANCE-YWXZ4-SET-4 papers

OFFICE-PROCEDURES-PRACTICES-WXY4Z-SET-4

Class 12 - 2025 - FINAL PAPERS - OFFICE-PROCEDURES-PRACTICES-WXY4Z-SET-4 papers

PAINTING-HISTORY-OF-INDIAN-ART-1WXYZ-SET-1

Class 12 - 2025 - FINAL PAPERS - PAINTING-HISTORY-OF-INDIAN-ART-1WXYZ-SET-1 papers

PAINTING-HISTORY-OF-INDIAN-ART-WXY4Z-SET-4

Class 12 - 2025 - FINAL PAPERS - PAINTING-HISTORY-OF-INDIAN-ART-WXY4Z-SET-4 papers

PAINTING-HISTORY-OF-INDIAN-ART-WXYZ-S-SET-4

Class 12 - 2025 - FINAL PAPERS - PAINTING-HISTORY-OF-INDIAN-ART-WXYZ-S-SET-4 papers

PERSIAN-X4YZW-SET-4

Class 12 - 2025 - FINAL PAPERS - PERSIAN-X4YZW-SET-4 papers

PHYSICAL-ACTIVITY-TRAINER-WXY4Z-SET-4

Class 12 - 2025 - FINAL PAPERS - PHYSICAL-ACTIVITY-TRAINER-WXY4Z-SET-4 papers

PHYSICAL-EDUCATION-4YWZX-SET-4

Class 12 - 2025 - FINAL PAPERS - PHYSICAL-EDUCATION-4YWZX-SET-4 papers

PHYSICAL-EDUCATION-WXYZ-S-SET-4

Class 12 - 2025 - FINAL PAPERS - PHYSICAL-EDUCATION-WXYZ-S-SET-4 papers

PHYSICAL-EDUCATION-ZYW1X-SET-4

Class 12 - 2025 - FINAL PAPERS - PHYSICAL-EDUCATION-ZYW1X-SET-4 papers

PHYSICS-6ZXWY-6-SET-1

Class 12 - 2025 - FINAL PAPERS - PHYSICS-6ZXWY-6-SET-1 papers

PHYSICS-6ZXWY-6-SET-2

Class 12 - 2025 - FINAL PAPERS - PHYSICS-6ZXWY-6-SET-2 papers

PHYSICS-6ZXWY-6-SET-3

Class 12 - 2025 - FINAL PAPERS - PHYSICS-6ZXWY-6-SET-3 papers

PHYSICS-PH042-1-SET-1

Class 12 - 2025 - FINAL PAPERS - PHYSICS-PH042-1-SET-1 papers

PHYSICS-WX7ZY-7-SET-1

Class 12 - 2025 - FINAL PAPERS - PHYSICS-WX7ZY-7-SET-1 papers

PHYSICS-WX7ZY-7-SET-2

Class 12 - 2025 - FINAL PAPERS - PHYSICS-WX7ZY-7-SET-2 papers

PHYSICS-WX7ZY-7-SET-3

Class 12 - 2025 - FINAL PAPERS - PHYSICS-WX7ZY-7-SET-3 papers

PHYSICS-WXYZ-S-SET-1

Class 12 - 2025 - FINAL PAPERS - PHYSICS-WXYZ-S-SET-1 papers

PHYSICS-WXYZ-S-SET-2

Class 12 - 2025 - FINAL PAPERS - PHYSICS-WXYZ-S-SET-2 papers

PHYSICS-WXYZ-S-SET-3

Class 12 - 2025 - FINAL PAPERS - PHYSICS-WXYZ-S-SET-3 papers

PHYSICS-X4YZW-SET-1

Class 12 - 2025 - FINAL PAPERS - PHYSICS-X4YZW-SET-1 papers

PHYSICS-X4YZW-SET-2

Class 12 - 2025 - FINAL PAPERS - PHYSICS-X4YZW-SET-2 papers

PHYSICS-X4YZW-SET-3

Class 12 - 2025 - FINAL PAPERS - PHYSICS-X4YZW-SET-3 papers

PHYSICS-XYW1Z-SET-1

Class 12 - 2025 - FINAL PAPERS - PHYSICS-XYW1Z-SET-1 papers

PHYSICS-XYW1Z-SET-2

Class 12 - 2025 - FINAL PAPERS - PHYSICS-XYW1Z-SET-2 papers

PHYSICS-XYW1Z-SET-3

Class 12 - 2025 - FINAL PAPERS - PHYSICS-XYW1Z-SET-3 papers

PHYSICS-YWX5Z-5-SET-1

Class 12 - 2025 - FINAL PAPERS - PHYSICS-YWX5Z-5-SET-1 papers

PHYSICS-YWX5Z-5-SET-2

Class 12 - 2025 - FINAL PAPERS - PHYSICS-YWX5Z-5-SET-2 papers

PHYSICS-YWX5Z-5-SET-3

Class 12 - 2025 - FINAL PAPERS - PHYSICS-YWX5Z-5-SET-3 papers

PHYSICS-YXZW2-SET-1

Class 12 - 2025 - FINAL PAPERS - PHYSICS-YXZW2-SET-1 papers

PHYSICS-YXZW2-SET-2

Class 12 - 2025 - FINAL PAPERS - PHYSICS-YXZW2-SET-2 papers

PHYSICS-YXZW2-SET-3

Class 12 - 2025 - FINAL PAPERS - PHYSICS-YXZW2-SET-3 papers

POLITICAL-SCIENCE-WXYZ-S-SET-1

Class 12 - 2025 - FINAL PAPERS - POLITICAL-SCIENCE-WXYZ-S-SET-1 papers

POLITICAL-SCIENCE-WXYZ-S-SET-2

Class 12 - 2025 - FINAL PAPERS - POLITICAL-SCIENCE-WXYZ-S-SET-2 papers

POLITICAL-SCIENCE-WXYZ-S-SET-3

Class 12 - 2025 - FINAL PAPERS - POLITICAL-SCIENCE-WXYZ-S-SET-3 papers

POLITICAL-SCIENCE-WZ7XY-SET-1

Class 12 - 2025 - FINAL PAPERS - POLITICAL-SCIENCE-WZ7XY-SET-1 papers

PSYCHOLOGY-W4YXZ-SET-4

Class 12 - 2025 - FINAL PAPERS - PSYCHOLOGY-W4YXZ-SET-4 papers

PSYCHOLOGY-WXYZ-S-SET-4

Class 12 - 2025 - FINAL PAPERS - PSYCHOLOGY-WXYZ-S-SET-4 papers

PUNJABI-WXYZ-S-SET-4

Class 12 - 2025 - FINAL PAPERS - PUNJABI-WXYZ-S-SET-4 papers

PUNJABI-X4YZW-SET-4

Class 12 - 2025 - FINAL PAPERS - PUNJABI-X4YZW-SET-4 papers

RETAIL-WXYZ-S-SET-4

Class 12 - 2025 - FINAL PAPERS - RETAIL-WXYZ-S-SET-4 papers

RETAIL-X4YZW-SET-4

Class 12 - 2025 - FINAL PAPERS - RETAIL-X4YZW-SET-4 papers

RUSSIAN-X4YZW-SET-4

Class 12 - 2025 - FINAL PAPERS - RUSSIAN-X4YZW-SET-4 papers

SALESMANSHIP-WXYZ-S-SET-4

Class 12 - 2025 - FINAL PAPERS - SALESMANSHIP-WXYZ-S-SET-4 papers

SALESMANSHIP-X4YZW-SET-4

Class 12 - 2025 - FINAL PAPERS - SALESMANSHIP-X4YZW-SET-4 papers

SANSKRIT-CORE-WXYZ-S-SET-4

Class 12 - 2025 - FINAL PAPERS - SANSKRIT-CORE-WXYZ-S-SET-4 papers

SANSKRIT-CORE-YXWZ4-SET-4

Class 12 - 2025 - FINAL PAPERS - SANSKRIT-CORE-YXWZ4-SET-4 papers

SANSKRIT-WXYZ-S-SET-4

Class 12 - 2025 - FINAL PAPERS - SANSKRIT-WXYZ-S-SET-4 papers

SANSKRIT-YXWZ4-SET-4

Class 12 - 2025 - FINAL PAPERS - SANSKRIT-YXWZ4-SET-4 papers

SCULPTURE-HISTORY-OF-INDIAN-ART-WXY4Z-SET-4

Class 12 - 2025 - FINAL PAPERS - SCULPTURE-HISTORY-OF-INDIAN-ART-WXY4Z-SET-4 papers

SHORTHAND-ENGLISH-WXYZ-S-SET-4

Class 12 - 2025 - FINAL PAPERS - SHORTHAND-ENGLISH-WXYZ-S-SET-4 papers

SHORTHAND-ENGLISH-ZXW4Y-SET-4

Class 12 - 2025 - FINAL PAPERS - SHORTHAND-ENGLISH-ZXW4Y-SET-4 papers

SHORTHAND-HINDI-WXYZ-S-SET-4

Class 12 - 2025 - FINAL PAPERS - SHORTHAND-HINDI-WXYZ-S-SET-4 papers

SHORTHAND-HINDI-ZXW4Y-SET-4

Class 12 - 2025 - FINAL PAPERS - SHORTHAND-HINDI-ZXW4Y-SET-4 papers

SINDHI-X4YZW-SET-4

Class 12 - 2025 - FINAL PAPERS - SINDHI-X4YZW-SET-4 papers

SOCIOLOGY-WXYZ-S-SET-4

Class 12 - 2025 - FINAL PAPERS - SOCIOLOGY-WXYZ-S-SET-4 papers

SOCIOLOGY-X4YZW-SET-4

Class 12 - 2025 - FINAL PAPERS - SOCIOLOGY-X4YZW-SET-4 papers

SPANISH-X4YZW-SET-4

Class 12 - 2025 - FINAL PAPERS - SPANISH-X4YZW-SET-4 papers

TAMIL-X4YZW-SET-4

Class 12 - 2025 - FINAL PAPERS - TAMIL-X4YZW-SET-4 papers

TANGKHUL-MODERN-INDIAN-LANGUAGE-X4YZW-SET-4

Class 12 - 2025 - FINAL PAPERS - TANGKHUL-MODERN-INDIAN-LANGUAGE-X4YZW-SET-4 papers

TAXATION-YWXZ4-SET-4

Class 12 - 2025 - FINAL PAPERS - TAXATION-YWXZ4-SET-4 papers

TELUGU-TELANGANA-X4YZW-SET-4

Class 12 - 2025 - FINAL PAPERS - TELUGU-TELANGANA-X4YZW-SET-4 papers

TELUGU-X4YZW-SET-4

Class 12 - 2025 - FINAL PAPERS - TELUGU-X4YZW-SET-4 papers

TEXTILE-DESIGN-WXYZ-S-SET-4

Class 12 - 2025 - FINAL PAPERS - TEXTILE-DESIGN-WXYZ-S-SET-4 papers

TEXTILE-DESIGN-YWXZ4-SET-4

Class 12 - 2025 - FINAL PAPERS - TEXTILE-DESIGN-YWXZ4-SET-4 papers

TIBETAN-WXYZ-S-SET-4

Class 12 - 2025 - FINAL PAPERS - TIBETAN-WXYZ-S-SET-4 papers

TIBETAN-X4YZW-SET-4

Class 12 - 2025 - FINAL PAPERS - TIBETAN-X4YZW-SET-4 papers

TOURISM-WXYZ-S-SET-4

Class 12 - 2025 - FINAL PAPERS - TOURISM-WXYZ-S-SET-4 papers

TOURISM-X4YZW-SET-4

Class 12 - 2025 - FINAL PAPERS - TOURISM-X4YZW-SET-4 papers

TYPOGRAPHY-AND-COMPUTER-APPLICATIONS-WXYZ-S-SET-4

Class 12 - 2025 - FINAL PAPERS - TYPOGRAPHY-AND-COMPUTER-APPLICATIONS-WXYZ-S-SET-4 papers

TYPOGRAPHY-AND-COMPUTER-APPLICATIONS-YWXZ4-SET-4

Class 12 - 2025 - FINAL PAPERS - TYPOGRAPHY-AND-COMPUTER-APPLICATIONS-YWXZ4-SET-4 papers

URDU-CORE-WXYZ-S-SET-4

Class 12 - 2025 - FINAL PAPERS - URDU-CORE-WXYZ-S-SET-4 papers

URDU-CORE-YXWZ4-SET-4

Class 12 - 2025 - FINAL PAPERS - URDU-CORE-YXWZ4-SET-4 papers

URDU-WXYZ-S-SET-4

Class 12 - 2025 - FINAL PAPERS - URDU-WXYZ-S-SET-4 papers

URDU-YXWZ4-SET-4

Class 12 - 2025 - FINAL PAPERS - URDU-YXWZ4-SET-4 papers

WEB-APPLICATIONS-WXYZ-S-SET-4

Class 12 - 2025 - FINAL PAPERS - WEB-APPLICATIONS-WXYZ-S-SET-4 papers

WEB-APPLICATIONS-X4YZW-SET-4

Class 12 - 2025 - FINAL PAPERS - WEB-APPLICATIONS-X4YZW-SET-4 papers

YOGA-WXY4Z-SET-4

Class 12 - 2025 - FINAL PAPERS - YOGA-WXY4Z-SET-4 papers

YOGA-WXYZ-S-SET-4

Class 12 - 2025 - FINAL PAPERS - YOGA-WXYZ-S-SET-4 papers