Skip to main content

Class 12 2024 FINAL PAPERS MATHEMATICS-SUPPLEMENTARY-RQPS-S-SET-3 Question Papers

View all pages of the question paper below.

CBSE PYQ Class 12 2024 FINAL PAPERS MATHEMATICS-SUPPLEMENTARY-RQPS-S-SET-3 Information

Board CBSE (Central Board of Secondary Education)
Class Class 12
Year Year 2024
Category FINAL PAPERS
Subject Year MATHEMATICS-SUPPLEMENTARY-RQPS-S-SET-3
About This Paper This examination paper was conducted by CBSE in 2024 for the subject MATHEMATICS-SUPPLEMENTARY-RQPS-S-SET-3 of class 12.
CBSE-Class-12-Previous-Year-Question-Papers-MATHEMATICS-SUPPLEMENTARY-RQPS-S-SET-3-Page-1 Image
CBSE-Class-12-Previous-Year-Question-Papers-MATHEMATICS-SUPPLEMENTARY-RQPS-S-SET-3-Page-2 Image
CBSE-Class-12-Previous-Year-Question-Papers-MATHEMATICS-SUPPLEMENTARY-RQPS-S-SET-3-Page-3 Image
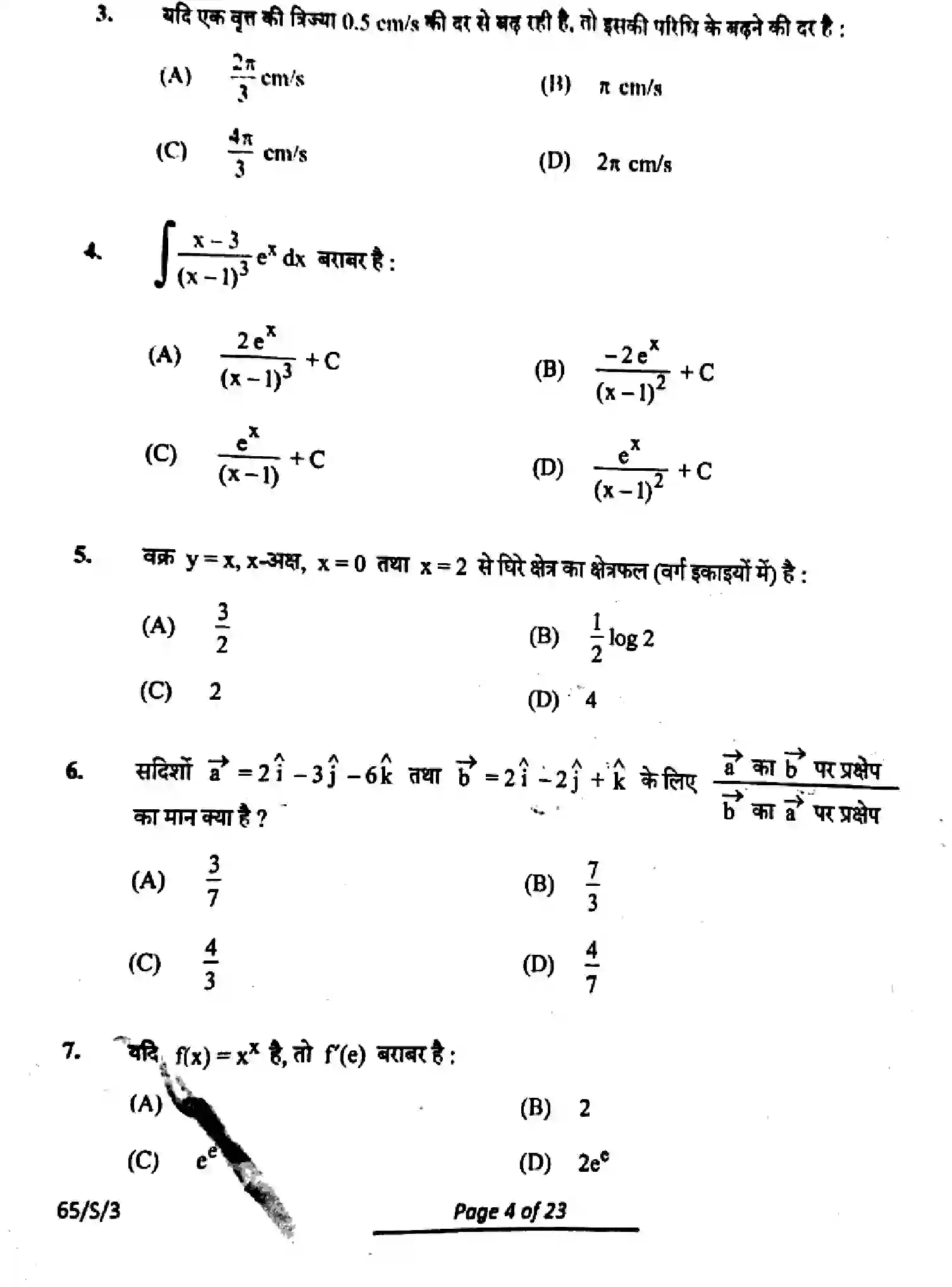
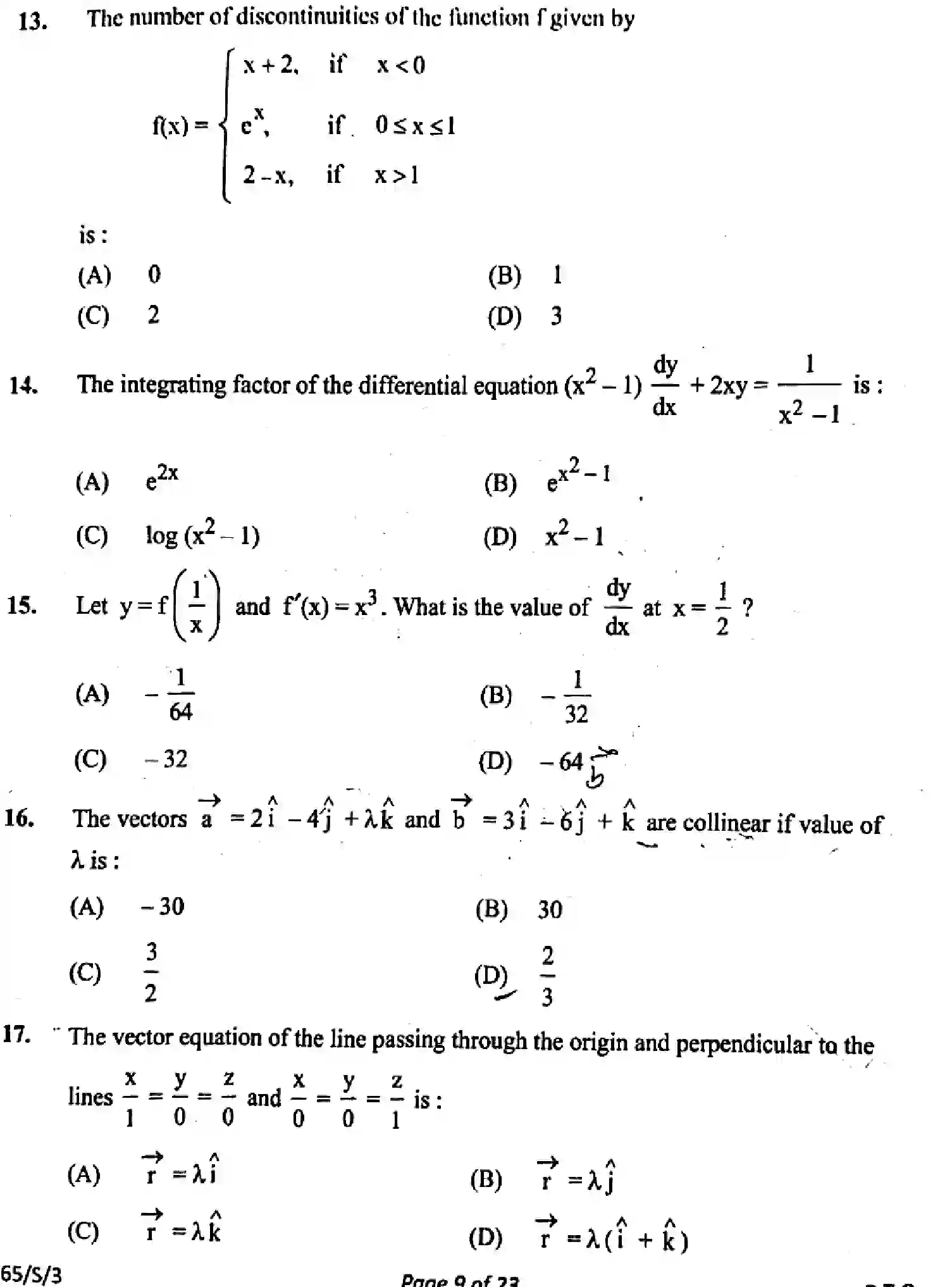
CBSE-Class-12-Previous-Year-Question-Papers-MATHEMATICS-SUPPLEMENTARY-RQPS-S-SET-3-Page-4 Image
CBSE-Class-12-Previous-Year-Question-Papers-MATHEMATICS-SUPPLEMENTARY-RQPS-S-SET-3-Page-5 Image
CBSE-Class-12-Previous-Year-Question-Papers-MATHEMATICS-SUPPLEMENTARY-RQPS-S-SET-3-Page-6 Image
CBSE-Class-12-Previous-Year-Question-Papers-MATHEMATICS-SUPPLEMENTARY-RQPS-S-SET-3-Page-7 Image
CBSE-Class-12-Previous-Year-Question-Papers-MATHEMATICS-SUPPLEMENTARY-RQPS-S-SET-3-Page-8 Image
CBSE-Class-12-Previous-Year-Question-Papers-MATHEMATICS-SUPPLEMENTARY-RQPS-S-SET-3-Page-9 Image
CBSE-Class-12-Previous-Year-Question-Papers-MATHEMATICS-SUPPLEMENTARY-RQPS-S-SET-3-Page-10 Image
CBSE-Class-12-Previous-Year-Question-Papers-MATHEMATICS-SUPPLEMENTARY-RQPS-S-SET-3-Page-11 Image
CBSE-Class-12-Previous-Year-Question-Papers-MATHEMATICS-SUPPLEMENTARY-RQPS-S-SET-3-Page-12 Image
CBSE-Class-12-Previous-Year-Question-Papers-MATHEMATICS-SUPPLEMENTARY-RQPS-S-SET-3-Page-13 Image
CBSE-Class-12-Previous-Year-Question-Papers-MATHEMATICS-SUPPLEMENTARY-RQPS-S-SET-3-Page-14 Image
CBSE-Class-12-Previous-Year-Question-Papers-MATHEMATICS-SUPPLEMENTARY-RQPS-S-SET-3-Page-15 Image
CBSE-Class-12-Previous-Year-Question-Papers-MATHEMATICS-SUPPLEMENTARY-RQPS-S-SET-3-Page-16 Image
CBSE-Class-12-Previous-Year-Question-Papers-MATHEMATICS-SUPPLEMENTARY-RQPS-S-SET-3-Page-17 Image
CBSE-Class-12-Previous-Year-Question-Papers-MATHEMATICS-SUPPLEMENTARY-RQPS-S-SET-3-Page-18 Image
CBSE-Class-12-Previous-Year-Question-Papers-MATHEMATICS-SUPPLEMENTARY-RQPS-S-SET-3-Page-19 Image
CBSE-Class-12-Previous-Year-Question-Papers-MATHEMATICS-SUPPLEMENTARY-RQPS-S-SET-3-Page-20 Image
CBSE-Class-12-Previous-Year-Question-Papers-MATHEMATICS-SUPPLEMENTARY-RQPS-S-SET-3-Page-21 Image
CBSE-Class-12-Previous-Year-Question-Papers-MATHEMATICS-SUPPLEMENTARY-RQPS-S-SET-3-Page-22 Image
CBSE-Class-12-Previous-Year-Question-Papers-MATHEMATICS-SUPPLEMENTARY-RQPS-S-SET-3-Page-23 Image

Other CBSE Previous Year Question Papers for Class 12 - FINAL PAPERS released in 2024

Browse other subjects available for the same class, category, and year.

ACCOUNTANCY-PQ1RS-1-SET-1

Class 12 - 2024 - FINAL PAPERS - ACCOUNTANCY-PQ1RS-1-SET-1 papers

ACCOUNTANCY-PQ1RS-1-SET-2

Class 12 - 2024 - FINAL PAPERS - ACCOUNTANCY-PQ1RS-1-SET-2 papers

ACCOUNTANCY-PQ1RS-1-SET-3

Class 12 - 2024 - FINAL PAPERS - ACCOUNTANCY-PQ1RS-1-SET-3 papers

ACCOUNTANCY-PQ2RS-2-SET-1

Class 12 - 2024 - FINAL PAPERS - ACCOUNTANCY-PQ2RS-2-SET-1 papers

ACCOUNTANCY-PQ2RS-2-SET-2

Class 12 - 2024 - FINAL PAPERS - ACCOUNTANCY-PQ2RS-2-SET-2 papers

ACCOUNTANCY-PQ2RS-2-SET-3

Class 12 - 2024 - FINAL PAPERS - ACCOUNTANCY-PQ2RS-2-SET-3 papers

ACCOUNTANCY-PQ3RS-3-SET-1

Class 12 - 2024 - FINAL PAPERS - ACCOUNTANCY-PQ3RS-3-SET-1 papers

ACCOUNTANCY-PQ3RS-3-SET-2

Class 12 - 2024 - FINAL PAPERS - ACCOUNTANCY-PQ3RS-3-SET-2 papers

ACCOUNTANCY-PQ3RS-3-SET-3

Class 12 - 2024 - FINAL PAPERS - ACCOUNTANCY-PQ3RS-3-SET-3 papers

ACCOUNTANCY-Q5QPS-5-SET-1

Class 12 - 2024 - FINAL PAPERS - ACCOUNTANCY-Q5QPS-5-SET-1 papers

ACCOUNTANCY-Q5QPS-5-SET-2

Class 12 - 2024 - FINAL PAPERS - ACCOUNTANCY-Q5QPS-5-SET-2 papers

ACCOUNTANCY-Q5QPS-5-SET-3

Class 12 - 2024 - FINAL PAPERS - ACCOUNTANCY-Q5QPS-5-SET-3 papers

ACCOUNTANCY-QSS4R-4-SET-1

Class 12 - 2024 - FINAL PAPERS - ACCOUNTANCY-QSS4R-4-SET-1 papers

ACCOUNTANCY-QSS4R-4-SET-2

Class 12 - 2024 - FINAL PAPERS - ACCOUNTANCY-QSS4R-4-SET-2 papers

ACCOUNTANCY-QSS4R-4-SET-3

Class 12 - 2024 - FINAL PAPERS - ACCOUNTANCY-QSS4R-4-SET-3 papers

AGRICULTURE-RQPS-SET-4

Class 12 - 2024 - FINAL PAPERS - AGRICULTURE-RQPS-SET-4 papers

AIR-CONDITIONING-AND-REFRIGERATION-RQPS-SET-4

Class 12 - 2024 - FINAL PAPERS - AIR-CONDITIONING-AND-REFRIGERATION-RQPS-SET-4 papers

APPLIED-MATHEMATICS-RQPS-SET-4

Class 12 - 2024 - FINAL PAPERS - APPLIED-MATHEMATICS-RQPS-SET-4 papers

ARABIC-RQPS-SET-4

Class 12 - 2024 - FINAL PAPERS - ARABIC-RQPS-SET-4 papers

ARTIFICIAL-INTELLIGENCE-RQPS-SET-4

Class 12 - 2024 - FINAL PAPERS - ARTIFICIAL-INTELLIGENCE-RQPS-SET-4 papers

ASSAMESE-RQPS-SET-4

Class 12 - 2024 - FINAL PAPERS - ASSAMESE-RQPS-SET-4 papers

AUTOMOTIVE-RQPS-SET-4

Class 12 - 2024 - FINAL PAPERS - AUTOMOTIVE-RQPS-SET-4 papers

BANKING-RQPS-SET-4

Class 12 - 2024 - FINAL PAPERS - BANKING-RQPS-SET-4 papers

BEAUTY-WELLNESS-RQPS-SET-4

Class 12 - 2024 - FINAL PAPERS - BEAUTY-WELLNESS-RQPS-SET-4 papers

BENGALI-RQPS-SET-4

Class 12 - 2024 - FINAL PAPERS - BENGALI-RQPS-SET-4 papers

BHARATANATYAM-DANCE-RQPS-SET-4

Class 12 - 2024 - FINAL PAPERS - BHARATANATYAM-DANCE-RQPS-SET-4 papers

BHUTIA-RQPS-SET-4

Class 12 - 2024 - FINAL PAPERS - BHUTIA-RQPS-SET-4 papers

BIOLOGY-PP4QQ-4-SET-1

Class 12 - 2024 - FINAL PAPERS - BIOLOGY-PP4QQ-4-SET-1 papers

BIOLOGY-PP4QQ-4-SET-2

Class 12 - 2024 - FINAL PAPERS - BIOLOGY-PP4QQ-4-SET-2 papers

BIOLOGY-PP4QQ-4-SET-3

Class 12 - 2024 - FINAL PAPERS - BIOLOGY-PP4QQ-4-SET-3 papers

BIOLOGY-RP5PS-5-SET-1

Class 12 - 2024 - FINAL PAPERS - BIOLOGY-RP5PS-5-SET-1 papers

BIOLOGY-RP5PS-5-SET-2

Class 12 - 2024 - FINAL PAPERS - BIOLOGY-RP5PS-5-SET-2 papers

BIOLOGY-RP5PS-5-SET-3

Class 12 - 2024 - FINAL PAPERS - BIOLOGY-RP5PS-5-SET-3 papers

BIOLOGY-RP5PS-SET-1

Class 12 - 2024 - FINAL PAPERS - BIOLOGY-RP5PS-SET-1 papers

BIOLOGY-RQPS-SET-5

Class 12 - 2024 - FINAL PAPERS - BIOLOGY-RQPS-SET-5 papers

BIOLOGY-RRSS2-2-SET-1

Class 12 - 2024 - FINAL PAPERS - BIOLOGY-RRSS2-2-SET-1 papers

BIOLOGY-RRSS2-2-SET-2

Class 12 - 2024 - FINAL PAPERS - BIOLOGY-RRSS2-2-SET-2 papers

BIOLOGY-RRSS2-2-SET-3

Class 12 - 2024 - FINAL PAPERS - BIOLOGY-RRSS2-2-SET-3 papers

BIOLOGY-SQR1-P-1-SET-1

Class 12 - 2024 - FINAL PAPERS - BIOLOGY-SQR1-P-1-SET-1 papers

BIOLOGY-SQR1P-1-SET-2

Class 12 - 2024 - FINAL PAPERS - BIOLOGY-SQR1P-1-SET-2 papers

BIOLOGY-SSRR3-3-SET-1

Class 12 - 2024 - FINAL PAPERS - BIOLOGY-SSRR3-3-SET-1 papers

BIOLOGY-SSRR3-3-SET-2

Class 12 - 2024 - FINAL PAPERS - BIOLOGY-SSRR3-3-SET-2 papers

BIOLOGY-SSRR3-3-SET-3

Class 12 - 2024 - FINAL PAPERS - BIOLOGY-SSRR3-3-SET-3 papers

BIOTECHNOLOGY-RQPS-SET-4

Class 12 - 2024 - FINAL PAPERS - BIOTECHNOLOGY-RQPS-SET-4 papers

BODO-RQPS-SET-4

Class 12 - 2024 - FINAL PAPERS - BODO-RQPS-SET-4 papers

BUSINESS-ADMINISTRATION-RQPS-SET-4

Class 12 - 2024 - FINAL PAPERS - BUSINESS-ADMINISTRATION-RQPS-SET-4 papers

BUSINESS-STUDIES-R1PQS-1-SET-1

Class 12 - 2024 - FINAL PAPERS - BUSINESS-STUDIES-R1PQS-1-SET-1 papers

BUSINESS-STUDIES-R1PQS-1-SET-2

Class 12 - 2024 - FINAL PAPERS - BUSINESS-STUDIES-R1PQS-1-SET-2 papers

BUSINESS-STUDIES-R1PQS-1-SET-3

Class 12 - 2024 - FINAL PAPERS - BUSINESS-STUDIES-R1PQS-1-SET-3 papers

BUSINESS-STUDIES-R2PQS-2-SET-1

Class 12 - 2024 - FINAL PAPERS - BUSINESS-STUDIES-R2PQS-2-SET-1 papers

BUSINESS-STUDIES-R2PQS-2-SET-2

Class 12 - 2024 - FINAL PAPERS - BUSINESS-STUDIES-R2PQS-2-SET-2 papers

BUSINESS-STUDIES-R2PQS-2-SET-3

Class 12 - 2024 - FINAL PAPERS - BUSINESS-STUDIES-R2PQS-2-SET-3 papers

BUSINESS-STUDIES-R3PQS-3-SET-1

Class 12 - 2024 - FINAL PAPERS - BUSINESS-STUDIES-R3PQS-3-SET-1 papers

BUSINESS-STUDIES-R3PQS-3-SET-2

Class 12 - 2024 - FINAL PAPERS - BUSINESS-STUDIES-R3PQS-3-SET-2 papers

BUSINESS-STUDIES-R3PQS-3-SET-3

Class 12 - 2024 - FINAL PAPERS - BUSINESS-STUDIES-R3PQS-3-SET-3 papers

BUSINESS-STUDIES-R4PSQ-4-SET-1

Class 12 - 2024 - FINAL PAPERS - BUSINESS-STUDIES-R4PSQ-4-SET-1 papers

BUSINESS-STUDIES-R4PSQ-4-SET-2

Class 12 - 2024 - FINAL PAPERS - BUSINESS-STUDIES-R4PSQ-4-SET-2 papers

BUSINESS-STUDIES-R4PSQ-4-SET-3

Class 12 - 2024 - FINAL PAPERS - BUSINESS-STUDIES-R4PSQ-4-SET-3 papers

BUSINESS-STUDIES-RR5SP-5-SET-1

Class 12 - 2024 - FINAL PAPERS - BUSINESS-STUDIES-RR5SP-5-SET-1 papers

BUSINESS-STUDIES-RR5SP-5-SET-2

Class 12 - 2024 - FINAL PAPERS - BUSINESS-STUDIES-RR5SP-5-SET-2 papers

BUSINESS-STUDIES-RR5SP-5-SET-3

Class 12 - 2024 - FINAL PAPERS - BUSINESS-STUDIES-RR5SP-5-SET-3 papers

BUSINESS-STUDIES-SUPPLEMENTARY-RQPS-S-SET-3

Class 12 - 2024 - FINAL PAPERS - BUSINESS-STUDIES-SUPPLEMENTARY-RQPS-S-SET-3 papers

CARNATIC-MUSIC-INSTRUMENTAL-PERCU-MRIDA-RQPS-SET-4

Class 12 - 2024 - FINAL PAPERS - CARNATIC-MUSIC-INSTRUMENTAL-PERCU-MRIDA-RQPS-SET-4 papers

CARNATIC-MUSIC-MELODIC-INSTRUMENTS-RQPS-SET-4

Class 12 - 2024 - FINAL PAPERS - CARNATIC-MUSIC-MELODIC-INSTRUMENTS-RQPS-SET-4 papers

CARNATIC-MUSIC-RQPS-SET-4

Class 12 - 2024 - FINAL PAPERS - CARNATIC-MUSIC-RQPS-SET-4 papers

CHEMISTRY-PP4QQ-4-SET-1

Class 12 - 2024 - FINAL PAPERS - CHEMISTRY-PP4QQ-4-SET-1 papers

CHEMISTRY-PP4QQ-4-SET-2

Class 12 - 2024 - FINAL PAPERS - CHEMISTRY-PP4QQ-4-SET-2 papers

CHEMISTRY-PP4QQ-4-SET-3

Class 12 - 2024 - FINAL PAPERS - CHEMISTRY-PP4QQ-4-SET-3 papers

CHEMISTRY-RP5PS-5-SET-1

Class 12 - 2024 - FINAL PAPERS - CHEMISTRY-RP5PS-5-SET-1 papers

CHEMISTRY-RP5PS-5-SET-2

Class 12 - 2024 - FINAL PAPERS - CHEMISTRY-RP5PS-5-SET-2 papers

CHEMISTRY-RP5PS-5-SET-3

Class 12 - 2024 - FINAL PAPERS - CHEMISTRY-RP5PS-5-SET-3 papers

CHEMISTRY-RQPS-SET-5

Class 12 - 2024 - FINAL PAPERS - CHEMISTRY-RQPS-SET-5 papers

CHEMISTRY-RRSS2-2-SET-1

Class 12 - 2024 - FINAL PAPERS - CHEMISTRY-RRSS2-2-SET-1 papers

CHEMISTRY-RRSS2-2-SET-2

Class 12 - 2024 - FINAL PAPERS - CHEMISTRY-RRSS2-2-SET-2 papers

CHEMISTRY-RRSS2-2-SET-3

Class 12 - 2024 - FINAL PAPERS - CHEMISTRY-RRSS2-2-SET-3 papers

CHEMISTRY-SQR1P-1-SET-1

Class 12 - 2024 - FINAL PAPERS - CHEMISTRY-SQR1P-1-SET-1 papers

CHEMISTRY-SQR1P-1-SET-2

Class 12 - 2024 - FINAL PAPERS - CHEMISTRY-SQR1P-1-SET-2 papers

CHEMISTRY-SQR1P-1-SET-3

Class 12 - 2024 - FINAL PAPERS - CHEMISTRY-SQR1P-1-SET-3 papers

CHEMISTRY-SSRR3-3-SET-1

Class 12 - 2024 - FINAL PAPERS - CHEMISTRY-SSRR3-3-SET-1 papers

CHEMISTRY-SSRR3-3-SET-2

Class 12 - 2024 - FINAL PAPERS - CHEMISTRY-SSRR3-3-SET-2 papers

CHEMISTRY-SSRR3-3-SET-3

Class 12 - 2024 - FINAL PAPERS - CHEMISTRY-SSRR3-3-SET-3 papers

COMMERCIAL-ART-RQPS-SET-4

Class 12 - 2024 - FINAL PAPERS - COMMERCIAL-ART-RQPS-SET-4 papers

COMPUTER-SCIENCE-RQPS-SET-4

Class 12 - 2024 - FINAL PAPERS - COMPUTER-SCIENCE-RQPS-SET-4 papers

COST-ACCOUNTING-RQPS-SET-4

Class 12 - 2024 - FINAL PAPERS - COST-ACCOUNTING-RQPS-SET-4 papers

DANCE-KUCHIPUDI-RQPS-SET-4

Class 12 - 2024 - FINAL PAPERS - DANCE-KUCHIPUDI-RQPS-SET-4 papers

DATA-SCIENCE-RQPS-SET-4

Class 12 - 2024 - FINAL PAPERS - DATA-SCIENCE-RQPS-SET-4 papers

DESIGN-RQPS-SET-4

Class 12 - 2024 - FINAL PAPERS - DESIGN-RQPS-SET-4 papers

EARLY-CHILDHOOD-CARE-AND-EDUCATION-RQPS-SET-4

Class 12 - 2024 - FINAL PAPERS - EARLY-CHILDHOOD-CARE-AND-EDUCATION-RQPS-SET-4 papers

ECONOMICS-R1PQS-1-SET-1

Class 12 - 2024 - FINAL PAPERS - ECONOMICS-R1PQS-1-SET-1 papers

ECONOMICS-R1PQS-1-SET-2

Class 12 - 2024 - FINAL PAPERS - ECONOMICS-R1PQS-1-SET-2 papers

ECONOMICS-R1PQS-1-SET-3

Class 12 - 2024 - FINAL PAPERS - ECONOMICS-R1PQS-1-SET-3 papers

ECONOMICS-R2PQS-2-SET-1

Class 12 - 2024 - FINAL PAPERS - ECONOMICS-R2PQS-2-SET-1 papers

ECONOMICS-R2PQS-2-SET-2

Class 12 - 2024 - FINAL PAPERS - ECONOMICS-R2PQS-2-SET-2 papers

ECONOMICS-R2PQS-2-SET-3

Class 12 - 2024 - FINAL PAPERS - ECONOMICS-R2PQS-2-SET-3 papers

ECONOMICS-R3PQS-3-SET-1

Class 12 - 2024 - FINAL PAPERS - ECONOMICS-R3PQS-3-SET-1 papers

ECONOMICS-R3PQS-3-SET-2

Class 12 - 2024 - FINAL PAPERS - ECONOMICS-R3PQS-3-SET-2 papers

ECONOMICS-R3PQS-3-SET-3

Class 12 - 2024 - FINAL PAPERS - ECONOMICS-R3PQS-3-SET-3 papers

ECONOMICS-R4PSQ-4-SET-1

Class 12 - 2024 - FINAL PAPERS - ECONOMICS-R4PSQ-4-SET-1 papers

ECONOMICS-R4PSQ-4-SET-2

Class 12 - 2024 - FINAL PAPERS - ECONOMICS-R4PSQ-4-SET-2 papers

ECONOMICS-R4PSQ-4-SET-3

Class 12 - 2024 - FINAL PAPERS - ECONOMICS-R4PSQ-4-SET-3 papers

ECONOMICS-RR5SP-5-SET-1

Class 12 - 2024 - FINAL PAPERS - ECONOMICS-RR5SP-5-SET-1 papers

ECONOMICS-RR5SP-5-SET-2

Class 12 - 2024 - FINAL PAPERS - ECONOMICS-RR5SP-5-SET-2 papers

ECONOMICS-RR5SP-5-SET-3

Class 12 - 2024 - FINAL PAPERS - ECONOMICS-RR5SP-5-SET-3 papers

ELECTICAL-TECHNOLOGY-RQPS-SET-4

Class 12 - 2024 - FINAL PAPERS - ELECTICAL-TECHNOLOGY-RQPS-SET-4 papers

ELECTRONICS-AND-HARDWARE-RQPS-SET-4

Class 12 - 2024 - FINAL PAPERS - ELECTRONICS-AND-HARDWARE-RQPS-SET-4 papers

ELECTRONICS-TECHNOLOGY-RQPS-SET-4

Class 12 - 2024 - FINAL PAPERS - ELECTRONICS-TECHNOLOGY-RQPS-SET-4 papers

ENGINEERING-GRAPHICS-RQPS-SET-4

Class 12 - 2024 - FINAL PAPERS - ENGINEERING-GRAPHICS-RQPS-SET-4 papers

ENGLISH-CORE-QP5RS-5-SET-1

Class 12 - 2024 - FINAL PAPERS - ENGLISH-CORE-QP5RS-5-SET-1 papers

ENGLISH-CORE-QP5RS-5-SET-2

Class 12 - 2024 - FINAL PAPERS - ENGLISH-CORE-QP5RS-5-SET-2 papers

ENGLISH-CORE-QP5RS-5-SET-3

Class 12 - 2024 - FINAL PAPERS - ENGLISH-CORE-QP5RS-5-SET-3 papers

ENGLISH-CORE-QS1PR-1-SET-1

Class 12 - 2024 - FINAL PAPERS - ENGLISH-CORE-QS1PR-1-SET-1 papers

ENGLISH-CORE-QS1PR-1-SET-2

Class 12 - 2024 - FINAL PAPERS - ENGLISH-CORE-QS1PR-1-SET-2 papers

ENGLISH-CORE-QS1PR-1-SET-3

Class 12 - 2024 - FINAL PAPERS - ENGLISH-CORE-QS1PR-1-SET-3 papers

ENGLISH-CORE-S3QRP-3-SET-1

Class 12 - 2024 - FINAL PAPERS - ENGLISH-CORE-S3QRP-3-SET-1 papers

ENGLISH-CORE-S3QRP-3-SET-2

Class 12 - 2024 - FINAL PAPERS - ENGLISH-CORE-S3QRP-3-SET-2 papers

ENGLISH-CORE-S3QRP-3-SET-3

Class 12 - 2024 - FINAL PAPERS - ENGLISH-CORE-S3QRP-3-SET-3 papers

ENGLISH-CORE-S4PQR-4-SET-1

Class 12 - 2024 - FINAL PAPERS - ENGLISH-CORE-S4PQR-4-SET-1 papers

ENGLISH-CORE-S4PQR-4-SET-2

Class 12 - 2024 - FINAL PAPERS - ENGLISH-CORE-S4PQR-4-SET-2 papers

ENGLISH-CORE-S4PQR-4-SET-3

Class 12 - 2024 - FINAL PAPERS - ENGLISH-CORE-S4PQR-4-SET-3 papers

ENGLISH-CORE-SRQP2-2-SET-1

Class 12 - 2024 - FINAL PAPERS - ENGLISH-CORE-SRQP2-2-SET-1 papers

ENGLISH-CORE-SRQP2-2-SET-2

Class 12 - 2024 - FINAL PAPERS - ENGLISH-CORE-SRQP2-2-SET-2 papers

ENGLISH-CORE-SRQP2-2-SET-3

Class 12 - 2024 - FINAL PAPERS - ENGLISH-CORE-SRQP2-2-SET-3 papers

ENGLISH-ELECTIVE-RQPS-SET-4

Class 12 - 2024 - FINAL PAPERS - ENGLISH-ELECTIVE-RQPS-SET-4 papers

ENTREPRENEURSHIP-RQPS-SET-4

Class 12 - 2024 - FINAL PAPERS - ENTREPRENEURSHIP-RQPS-SET-4 papers

FASHION-STUDIES-RQPS-SET-4

Class 12 - 2024 - FINAL PAPERS - FASHION-STUDIES-RQPS-SET-4 papers

FINANCIAL-MARKETS-MANAGEMENT-RQPS-SET-4

Class 12 - 2024 - FINAL PAPERS - FINANCIAL-MARKETS-MANAGEMENT-RQPS-SET-4 papers

FOOD-NUTRITION-AND-DIETETICS-RQPS-SET-4

Class 12 - 2024 - FINAL PAPERS - FOOD-NUTRITION-AND-DIETETICS-RQPS-SET-4 papers

FOOD-PRODUCTION-RQPS-SET-4

Class 12 - 2024 - FINAL PAPERS - FOOD-PRODUCTION-RQPS-SET-4 papers

FRENCH-RQPS-SET-4

Class 12 - 2024 - FINAL PAPERS - FRENCH-RQPS-SET-4 papers

FRONT-OFFICE-OPERATIONS-RQPS-SET-4

Class 12 - 2024 - FINAL PAPERS - FRONT-OFFICE-OPERATIONS-RQPS-SET-4 papers

GEOGRAPHY-PP4QQ-4-SET-1

Class 12 - 2024 - FINAL PAPERS - GEOGRAPHY-PP4QQ-4-SET-1 papers

GEOGRAPHY-PP4QQ-4-SET-2

Class 12 - 2024 - FINAL PAPERS - GEOGRAPHY-PP4QQ-4-SET-2 papers

GEOGRAPHY-PP4QQ-4-SET-3

Class 12 - 2024 - FINAL PAPERS - GEOGRAPHY-PP4QQ-4-SET-3 papers

GEOGRAPHY-RP5PS-5-SET-1

Class 12 - 2024 - FINAL PAPERS - GEOGRAPHY-RP5PS-5-SET-1 papers

GEOGRAPHY-RP5PS-5-SET-2

Class 12 - 2024 - FINAL PAPERS - GEOGRAPHY-RP5PS-5-SET-2 papers

GEOGRAPHY-RP5PS-5-SET-3

Class 12 - 2024 - FINAL PAPERS - GEOGRAPHY-RP5PS-5-SET-3 papers

GEOGRAPHY-RRSS2-2-SET-1

Class 12 - 2024 - FINAL PAPERS - GEOGRAPHY-RRSS2-2-SET-1 papers

GEOGRAPHY-RRSS2-2-SET-2

Class 12 - 2024 - FINAL PAPERS - GEOGRAPHY-RRSS2-2-SET-2 papers

GEOGRAPHY-RRSS2-2-SET-3

Class 12 - 2024 - FINAL PAPERS - GEOGRAPHY-RRSS2-2-SET-3 papers

GEOGRAPHY-SQR1P-1-SET-1

Class 12 - 2024 - FINAL PAPERS - GEOGRAPHY-SQR1P-1-SET-1 papers

GEOGRAPHY-SQR1P-2-SET-2

Class 12 - 2024 - FINAL PAPERS - GEOGRAPHY-SQR1P-2-SET-2 papers

GEOGRAPHY-SQR1P-3-SET-3

Class 12 - 2024 - FINAL PAPERS - GEOGRAPHY-SQR1P-3-SET-3 papers

GEOGRAPHY-SSRR3-3-SET-1

Class 12 - 2024 - FINAL PAPERS - GEOGRAPHY-SSRR3-3-SET-1 papers

GEOGRAPHY-SSRR3-3-SET-2

Class 12 - 2024 - FINAL PAPERS - GEOGRAPHY-SSRR3-3-SET-2 papers

GEOGRAPHY-SSRR3-3-SET-3

Class 12 - 2024 - FINAL PAPERS - GEOGRAPHY-SSRR3-3-SET-3 papers

GEOSPATIAL-TECHNOLOGY-RQPS-SET-4

Class 12 - 2024 - FINAL PAPERS - GEOSPATIAL-TECHNOLOGY-RQPS-SET-4 papers

GERMAN-RQPS-SET-4

Class 12 - 2024 - FINAL PAPERS - GERMAN-RQPS-SET-4 papers

GRAPHICS-HISTORY-OF-INDIAN-ART-RQPS-SET-4

Class 12 - 2024 - FINAL PAPERS - GRAPHICS-HISTORY-OF-INDIAN-ART-RQPS-SET-4 papers

GUJARATI-RQPS-SET-4

Class 12 - 2024 - FINAL PAPERS - GUJARATI-RQPS-SET-4 papers

HEALTH-CARE-RQPS-SET-4

Class 12 - 2024 - FINAL PAPERS - HEALTH-CARE-RQPS-SET-4 papers

HINDI-CORE-QP5RS-5-SET-1

Class 12 - 2024 - FINAL PAPERS - HINDI-CORE-QP5RS-5-SET-1 papers

HINDI-CORE-QP5RS-5-SET-2

Class 12 - 2024 - FINAL PAPERS - HINDI-CORE-QP5RS-5-SET-2 papers

HINDI-CORE-QP5RS-5-SET-3

Class 12 - 2024 - FINAL PAPERS - HINDI-CORE-QP5RS-5-SET-3 papers

HINDI-CORE-QS1PR-1-SET-1

Class 12 - 2024 - FINAL PAPERS - HINDI-CORE-QS1PR-1-SET-1 papers

HINDI-CORE-QS1PR-1-SET-2

Class 12 - 2024 - FINAL PAPERS - HINDI-CORE-QS1PR-1-SET-2 papers

HINDI-CORE-QS1PR-1-SET-3

Class 12 - 2024 - FINAL PAPERS - HINDI-CORE-QS1PR-1-SET-3 papers

HINDI-CORE-S3QRP-3-SET-1

Class 12 - 2024 - FINAL PAPERS - HINDI-CORE-S3QRP-3-SET-1 papers

HINDI-CORE-S3QRP-3-SET-2

Class 12 - 2024 - FINAL PAPERS - HINDI-CORE-S3QRP-3-SET-2 papers

HINDI-CORE-S3QRP-3-SET-3

Class 12 - 2024 - FINAL PAPERS - HINDI-CORE-S3QRP-3-SET-3 papers

HINDI-CORE-S4PQR-4-SET-1

Class 12 - 2024 - FINAL PAPERS - HINDI-CORE-S4PQR-4-SET-1 papers

HINDI-CORE-S4PQR-4-SET-2

Class 12 - 2024 - FINAL PAPERS - HINDI-CORE-S4PQR-4-SET-2 papers

HINDI-CORE-S4PQR-4-SET-3

Class 12 - 2024 - FINAL PAPERS - HINDI-CORE-S4PQR-4-SET-3 papers

HINDI-CORE-SRQP2-2-SET-1

Class 12 - 2024 - FINAL PAPERS - HINDI-CORE-SRQP2-2-SET-1 papers

HINDI-CORE-SRQP2-2-SET-2

Class 12 - 2024 - FINAL PAPERS - HINDI-CORE-SRQP2-2-SET-2 papers

HINDI-CORE-SRQP2-2-SET-3

Class 12 - 2024 - FINAL PAPERS - HINDI-CORE-SRQP2-2-SET-3 papers

HINDI-ELECTIVE-QP5RS-5-SET-1

Class 12 - 2024 - FINAL PAPERS - HINDI-ELECTIVE-QP5RS-5-SET-1 papers

HINDI-ELECTIVE-QP5RS-5-SET-2

Class 12 - 2024 - FINAL PAPERS - HINDI-ELECTIVE-QP5RS-5-SET-2 papers

HINDI-ELECTIVE-QP5RS-5-SET-3

Class 12 - 2024 - FINAL PAPERS - HINDI-ELECTIVE-QP5RS-5-SET-3 papers

HINDI-ELECTIVE-QS1PR-1-SET-1

Class 12 - 2024 - FINAL PAPERS - HINDI-ELECTIVE-QS1PR-1-SET-1 papers

HINDI-ELECTIVE-QS1PR-1-SET-2

Class 12 - 2024 - FINAL PAPERS - HINDI-ELECTIVE-QS1PR-1-SET-2 papers

HINDI-ELECTIVE-QS1PR-1-SET-3

Class 12 - 2024 - FINAL PAPERS - HINDI-ELECTIVE-QS1PR-1-SET-3 papers

HINDI-ELECTIVE-S3QRP-3-SET-1

Class 12 - 2024 - FINAL PAPERS - HINDI-ELECTIVE-S3QRP-3-SET-1 papers

HINDI-ELECTIVE-S3QRP-3-SET-2

Class 12 - 2024 - FINAL PAPERS - HINDI-ELECTIVE-S3QRP-3-SET-2 papers

HINDI-ELECTIVE-S3QRP-3-SET-3

Class 12 - 2024 - FINAL PAPERS - HINDI-ELECTIVE-S3QRP-3-SET-3 papers

HINDI-ELECTIVE-S4PQR-4-SET-1

Class 12 - 2024 - FINAL PAPERS - HINDI-ELECTIVE-S4PQR-4-SET-1 papers

HINDI-ELECTIVE-S4PQR-4-SET-2

Class 12 - 2024 - FINAL PAPERS - HINDI-ELECTIVE-S4PQR-4-SET-2 papers

HINDI-ELECTIVE-S4PQR-4-SET-3

Class 12 - 2024 - FINAL PAPERS - HINDI-ELECTIVE-S4PQR-4-SET-3 papers

HINDI-ELECTIVE-SRQP2-2-SET-1

Class 12 - 2024 - FINAL PAPERS - HINDI-ELECTIVE-SRQP2-2-SET-1 papers

HINDI-ELECTIVE-SRQP2-2-SET-2

Class 12 - 2024 - FINAL PAPERS - HINDI-ELECTIVE-SRQP2-2-SET-2 papers

HINDI-ELECTIVE-SRQP2-2-SET-3

Class 12 - 2024 - FINAL PAPERS - HINDI-ELECTIVE-SRQP2-2-SET-3 papers

HINDUSTANI-MUSIC-MELODIC-INSTRUMENTS-RQPS-SET-4

Class 12 - 2024 - FINAL PAPERS - HINDUSTANI-MUSIC-MELODIC-INSTRUMENTS-RQPS-SET-4 papers

HINDUSTANI-MUSIC-PERCUSSION-INSTRUMENTS-RQPS-SET-4

Class 12 - 2024 - FINAL PAPERS - HINDUSTANI-MUSIC-PERCUSSION-INSTRUMENTS-RQPS-SET-4 papers

HISTORY-PQ1RS-1-SET-1

Class 12 - 2024 - FINAL PAPERS - HISTORY-PQ1RS-1-SET-1 papers

HISTORY-PQ1RS-1-SET-2

Class 12 - 2024 - FINAL PAPERS - HISTORY-PQ1RS-1-SET-2 papers

HISTORY-PQ1RS-1-SET-3

Class 12 - 2024 - FINAL PAPERS - HISTORY-PQ1RS-1-SET-3 papers

HISTORY-PQ2RS-2-SET-1

Class 12 - 2024 - FINAL PAPERS - HISTORY-PQ2RS-2-SET-1 papers

HISTORY-PQ2RS-2-SET-2

Class 12 - 2024 - FINAL PAPERS - HISTORY-PQ2RS-2-SET-2 papers

HISTORY-PQ2RS-2-SET-3

Class 12 - 2024 - FINAL PAPERS - HISTORY-PQ2RS-2-SET-3 papers

HISTORY-PQ3RS-3-SET-1

Class 12 - 2024 - FINAL PAPERS - HISTORY-PQ3RS-3-SET-1 papers

HISTORY-PQ3RS-3-SET-2

Class 12 - 2024 - FINAL PAPERS - HISTORY-PQ3RS-3-SET-2 papers

HISTORY-PQ3RS-3-SET-3

Class 12 - 2024 - FINAL PAPERS - HISTORY-PQ3RS-3-SET-3 papers

HISTORY-Q5QPS-5-SET-1

Class 12 - 2024 - FINAL PAPERS - HISTORY-Q5QPS-5-SET-1 papers

HISTORY-Q5QPS-5-SET-2

Class 12 - 2024 - FINAL PAPERS - HISTORY-Q5QPS-5-SET-2 papers

HISTORY-Q5QPS-5-SET-3

Class 12 - 2024 - FINAL PAPERS - HISTORY-Q5QPS-5-SET-3 papers

HISTORY-QSS4R-4-SET-1

Class 12 - 2024 - FINAL PAPERS - HISTORY-QSS4R-4-SET-1 papers

HISTORY-QSS4R-4-SET-2

Class 12 - 2024 - FINAL PAPERS - HISTORY-QSS4R-4-SET-2 papers

HISTORY-QSS4R-4-SET-3

Class 12 - 2024 - FINAL PAPERS - HISTORY-QSS4R-4-SET-3 papers

HOME-SCIENCE-RQPS-SET-4

Class 12 - 2024 - FINAL PAPERS - HOME-SCIENCE-RQPS-SET-4 papers

HOME-SCIENCE-RQPS-SET-A

Class 12 - 2024 - FINAL PAPERS - HOME-SCIENCE-RQPS-SET-A papers

HORTICULTURE-RQPS-SET-4

Class 12 - 2024 - FINAL PAPERS - HORTICULTURE-RQPS-SET-4 papers

INFORMATICS-PRACTICES-RQPS-SET-4

Class 12 - 2024 - FINAL PAPERS - INFORMATICS-PRACTICES-RQPS-SET-4 papers

INFORMATION-TECHNOLOGY-RQPS-SET-4

Class 12 - 2024 - FINAL PAPERS - INFORMATION-TECHNOLOGY-RQPS-SET-4 papers

INSURANCE-RQPS-SET-4

Class 12 - 2024 - FINAL PAPERS - INSURANCE-RQPS-SET-4 papers

JAPANESE-RQPS-SET-4

Class 12 - 2024 - FINAL PAPERS - JAPANESE-RQPS-SET-4 papers

KANNADA-RQPS-SET-4

Class 12 - 2024 - FINAL PAPERS - KANNADA-RQPS-SET-4 papers

KASHMIRI-RQPS-SET-4

Class 12 - 2024 - FINAL PAPERS - KASHMIRI-RQPS-SET-4 papers

KATHAK-DANCE-RQPS-SET-4

Class 12 - 2024 - FINAL PAPERS - KATHAK-DANCE-RQPS-SET-4 papers

KATHAKALI-DANCE-RQPS-SET-4

Class 12 - 2024 - FINAL PAPERS - KATHAKALI-DANCE-RQPS-SET-4 papers

KNOWLEDGE-TRADITIONS-AND-PRACTICES-OF-INDIA-SET-4

Class 12 - 2024 - FINAL PAPERS - KNOWLEDGE-TRADITIONS-AND-PRACTICES-OF-INDIA-SET-4 papers

KOKBOROK-RQPS-SET-4

Class 12 - 2024 - FINAL PAPERS - KOKBOROK-RQPS-SET-4 papers

LEGAL-STUDIES-RQPS-SET-4

Class 12 - 2024 - FINAL PAPERS - LEGAL-STUDIES-RQPS-SET-4 papers

LEPCHA-RQPS-SET-4

Class 12 - 2024 - FINAL PAPERS - LEPCHA-RQPS-SET-4 papers

LIBRARY-AND-INFORMATION-SCIENCE-RQPS-SET-4

Class 12 - 2024 - FINAL PAPERS - LIBRARY-AND-INFORMATION-SCIENCE-RQPS-SET-4 papers

LIMBOO-RQPS-SET-4

Class 12 - 2024 - FINAL PAPERS - LIMBOO-RQPS-SET-4 papers

MALAYALAM-RQPS-SET-4

Class 12 - 2024 - FINAL PAPERS - MALAYALAM-RQPS-SET-4 papers

MANIPURI-DANCE-RQPS-SET-4

Class 12 - 2024 - FINAL PAPERS - MANIPURI-DANCE-RQPS-SET-4 papers

MANIPURI-RQPS-SET-4

Class 12 - 2024 - FINAL PAPERS - MANIPURI-RQPS-SET-4 papers

MARATHI-RQPS-SET-4

Class 12 - 2024 - FINAL PAPERS - MARATHI-RQPS-SET-4 papers

MARKETING-RQPS-SET-4

Class 12 - 2024 - FINAL PAPERS - MARKETING-RQPS-SET-4 papers

MASS-MEDIA-STUDIES-RQPS-SET-4

Class 12 - 2024 - FINAL PAPERS - MASS-MEDIA-STUDIES-RQPS-SET-4 papers

MATHEMATICS-PQ1RS-1-SET-1

Class 12 - 2024 - FINAL PAPERS - MATHEMATICS-PQ1RS-1-SET-1 papers

MATHEMATICS-PQ1RS-1-SET-2

Class 12 - 2024 - FINAL PAPERS - MATHEMATICS-PQ1RS-1-SET-2 papers

MATHEMATICS-PQ1RS-1-SET-3

Class 12 - 2024 - FINAL PAPERS - MATHEMATICS-PQ1RS-1-SET-3 papers

MATHEMATICS-PQ2RS-2-SET-1

Class 12 - 2024 - FINAL PAPERS - MATHEMATICS-PQ2RS-2-SET-1 papers

MATHEMATICS-PQ2RS-2-SET-2

Class 12 - 2024 - FINAL PAPERS - MATHEMATICS-PQ2RS-2-SET-2 papers

MATHEMATICS-PQ2RS-2-SET-3

Class 12 - 2024 - FINAL PAPERS - MATHEMATICS-PQ2RS-2-SET-3 papers

MATHEMATICS-PQ3RS-3-SET-1

Class 12 - 2024 - FINAL PAPERS - MATHEMATICS-PQ3RS-3-SET-1 papers

MATHEMATICS-PQ3RS-3-SET-2

Class 12 - 2024 - FINAL PAPERS - MATHEMATICS-PQ3RS-3-SET-2 papers

MATHEMATICS-PQ3RS-3-SET-3

Class 12 - 2024 - FINAL PAPERS - MATHEMATICS-PQ3RS-3-SET-3 papers

MATHEMATICS-Q5QPS-5-SET-1

Class 12 - 2024 - FINAL PAPERS - MATHEMATICS-Q5QPS-5-SET-1 papers

MATHEMATICS-Q5QPS-5-SET-2

Class 12 - 2024 - FINAL PAPERS - MATHEMATICS-Q5QPS-5-SET-2 papers

MATHEMATICS-Q5QPS-5-SET-3

Class 12 - 2024 - FINAL PAPERS - MATHEMATICS-Q5QPS-5-SET-3 papers

MATHEMATICS-QSS4R-4-SET-1

Class 12 - 2024 - FINAL PAPERS - MATHEMATICS-QSS4R-4-SET-1 papers

MATHEMATICS-QSS4R-4-SET-2

Class 12 - 2024 - FINAL PAPERS - MATHEMATICS-QSS4R-4-SET-2 papers

MATHEMATICS-QSS4R-4-SET-3

Class 12 - 2024 - FINAL PAPERS - MATHEMATICS-QSS4R-4-SET-3 papers

MATHEMATICS-RQPS-SET-5

Class 12 - 2024 - FINAL PAPERS - MATHEMATICS-RQPS-SET-5 papers

MEDICAL-DIAGNOSTICS-RQPS-SET-4

Class 12 - 2024 - FINAL PAPERS - MEDICAL-DIAGNOSTICS-RQPS-SET-4 papers

MIZO-RQPS-SET-4

Class 12 - 2024 - FINAL PAPERS - MIZO-RQPS-SET-4 papers

MULTIMEDIA-RQPS-SET-4

Class 12 - 2024 - FINAL PAPERS - MULTIMEDIA-RQPS-SET-4 papers

MUSIC-HINDUSTANI-RQPS-SET-4

Class 12 - 2024 - FINAL PAPERS - MUSIC-HINDUSTANI-RQPS-SET-4 papers

MUSIC-HINDUSTANI-RQPS-SET-A

Class 12 - 2024 - FINAL PAPERS - MUSIC-HINDUSTANI-RQPS-SET-A papers

NATIONAL-CADET-CORPS-NCC-RQPS-SET-4

Class 12 - 2024 - FINAL PAPERS - NATIONAL-CADET-CORPS-NCC-RQPS-SET-4 papers

NEPALI-RQPS-SET-4

Class 12 - 2024 - FINAL PAPERS - NEPALI-RQPS-SET-4 papers

ODIA-RQPS-SET-4

Class 12 - 2024 - FINAL PAPERS - ODIA-RQPS-SET-4 papers

ODISSI-DANCE-RQPS-SET-4

Class 12 - 2024 - FINAL PAPERS - ODISSI-DANCE-RQPS-SET-4 papers

OFFICE-PROCEDURES-AND-PRACTICES-RQPS-SET-4

Class 12 - 2024 - FINAL PAPERS - OFFICE-PROCEDURES-AND-PRACTICES-RQPS-SET-4 papers

PAINTING-RQPS-SET-4

Class 12 - 2024 - FINAL PAPERS - PAINTING-RQPS-SET-4 papers

PERSIAN-RQPS-SET-4

Class 12 - 2024 - FINAL PAPERS - PERSIAN-RQPS-SET-4 papers

PHYSICAL-ACTIVITY-TRAINER-RQPS-SET-4

Class 12 - 2024 - FINAL PAPERS - PHYSICAL-ACTIVITY-TRAINER-RQPS-SET-4 papers

PHYSICAL-EDUCATION-RQPS-SET-4

Class 12 - 2024 - FINAL PAPERS - PHYSICAL-EDUCATION-RQPS-SET-4 papers

PHYSICS-P2QRS-2-SET-1

Class 12 - 2024 - FINAL PAPERS - PHYSICS-P2QRS-2-SET-1 papers

PHYSICS-P2QRS-2-SET-2

Class 12 - 2024 - FINAL PAPERS - PHYSICS-P2QRS-2-SET-2 papers

PHYSICS-P2QRS-2-SET-3

Class 12 - 2024 - FINAL PAPERS - PHYSICS-P2QRS-2-SET-3 papers

PHYSICS-RPQS1-1-SET-1

Class 12 - 2024 - FINAL PAPERS - PHYSICS-RPQS1-1-SET-1 papers

PHYSICS-RPQS1-1-SET-2

Class 12 - 2024 - FINAL PAPERS - PHYSICS-RPQS1-1-SET-2 papers

PHYSICS-RPQS1-1-SET-3

Class 12 - 2024 - FINAL PAPERS - PHYSICS-RPQS1-1-SET-3 papers

PHYSICS-RQPS-SET-5

Class 12 - 2024 - FINAL PAPERS - PHYSICS-RQPS-SET-5 papers

PHYSICS-RQSP4-4-SET-1

Class 12 - 2024 - FINAL PAPERS - PHYSICS-RQSP4-4-SET-1 papers

PHYSICS-RQSP4-4-SET-2

Class 12 - 2024 - FINAL PAPERS - PHYSICS-RQSP4-4-SET-2 papers

PHYSICS-RQSP4-4-SET-3

Class 12 - 2024 - FINAL PAPERS - PHYSICS-RQSP4-4-SET-3 papers

PHYSICS-S3RQP-3-SET-1

Class 12 - 2024 - FINAL PAPERS - PHYSICS-S3RQP-3-SET-1 papers

PHYSICS-S3RQP-3-SET-2

Class 12 - 2024 - FINAL PAPERS - PHYSICS-S3RQP-3-SET-2 papers

PHYSICS-S3RQP-3-SET-3

Class 12 - 2024 - FINAL PAPERS - PHYSICS-S3RQP-3-SET-3 papers

PHYSICS-SR5QP-5-SET-1

Class 12 - 2024 - FINAL PAPERS - PHYSICS-SR5QP-5-SET-1 papers

PHYSICS-SR5QP-5-SET-2

Class 12 - 2024 - FINAL PAPERS - PHYSICS-SR5QP-5-SET-2 papers

PHYSICS-SR5QP-5-SET-3

Class 12 - 2024 - FINAL PAPERS - PHYSICS-SR5QP-5-SET-3 papers

POLITICAL-SCIENCE-P2QRS-2-SET-1

Class 12 - 2024 - FINAL PAPERS - POLITICAL-SCIENCE-P2QRS-2-SET-1 papers

POLITICAL-SCIENCE-P2QRS-2-SET-2

Class 12 - 2024 - FINAL PAPERS - POLITICAL-SCIENCE-P2QRS-2-SET-2 papers

POLITICAL-SCIENCE-P2QRS-2-SET-3

Class 12 - 2024 - FINAL PAPERS - POLITICAL-SCIENCE-P2QRS-2-SET-3 papers

POLITICAL-SCIENCE-RPQS1-1-SET

Class 12 - 2024 - FINAL PAPERS - POLITICAL-SCIENCE-RPQS1-1-SET papers

POLITICAL-SCIENCE-RPQS1-1-SET-1

Class 12 - 2024 - FINAL PAPERS - POLITICAL-SCIENCE-RPQS1-1-SET-1 papers

POLITICAL-SCIENCE-RPQS1-1-SET-3

Class 12 - 2024 - FINAL PAPERS - POLITICAL-SCIENCE-RPQS1-1-SET-3 papers

POLITICAL-SCIENCE-RQSP4-4-SET-1

Class 12 - 2024 - FINAL PAPERS - POLITICAL-SCIENCE-RQSP4-4-SET-1 papers

POLITICAL-SCIENCE-RQSP4-4-SET-2

Class 12 - 2024 - FINAL PAPERS - POLITICAL-SCIENCE-RQSP4-4-SET-2 papers

POLITICAL-SCIENCE-RQSP4-4-SET-3

Class 12 - 2024 - FINAL PAPERS - POLITICAL-SCIENCE-RQSP4-4-SET-3 papers

POLITICAL-SCIENCE-S3PQP-3-SET-1

Class 12 - 2024 - FINAL PAPERS - POLITICAL-SCIENCE-S3PQP-3-SET-1 papers

POLITICAL-SCIENCE-S3RQP-3-SET-2

Class 12 - 2024 - FINAL PAPERS - POLITICAL-SCIENCE-S3RQP-3-SET-2 papers

POLITICAL-SCIENCE-S3RQP-3-SET-3

Class 12 - 2024 - FINAL PAPERS - POLITICAL-SCIENCE-S3RQP-3-SET-3 papers

POLITICAL-SCIENCE-SR5QP-5-SET-1

Class 12 - 2024 - FINAL PAPERS - POLITICAL-SCIENCE-SR5QP-5-SET-1 papers

POLITICAL-SCIENCE-SR5QP-5-SET-2

Class 12 - 2024 - FINAL PAPERS - POLITICAL-SCIENCE-SR5QP-5-SET-2 papers

POLITICAL-SCIENCE-SR5QP-5-SET-3

Class 12 - 2024 - FINAL PAPERS - POLITICAL-SCIENCE-SR5QP-5-SET-3 papers

PSYCHOLOGY-RQPS-SET-4

Class 12 - 2024 - FINAL PAPERS - PSYCHOLOGY-RQPS-SET-4 papers

PUNJABI-RQPS-SET-4

Class 12 - 2024 - FINAL PAPERS - PUNJABI-RQPS-SET-4 papers

RETAIL-RQPS-SET-4

Class 12 - 2024 - FINAL PAPERS - RETAIL-RQPS-SET-4 papers

SALESMANSHIP-RQPS-SET-4

Class 12 - 2024 - FINAL PAPERS - SALESMANSHIP-RQPS-SET-4 papers

SANSKRIT-CORE-RQPS-SET-4

Class 12 - 2024 - FINAL PAPERS - SANSKRIT-CORE-RQPS-SET-4 papers

SANSKRIT-ELECTIVE-RQPS-SET-4

Class 12 - 2024 - FINAL PAPERS - SANSKRIT-ELECTIVE-RQPS-SET-4 papers

SCULPTURE-RQPS-SET-4

Class 12 - 2024 - FINAL PAPERS - SCULPTURE-RQPS-SET-4 papers

SHORTHAND-ENGLISH-RQPS-SET-4

Class 12 - 2024 - FINAL PAPERS - SHORTHAND-ENGLISH-RQPS-SET-4 papers

SHORTHAND-HINDI-RQPS-SET-4

Class 12 - 2024 - FINAL PAPERS - SHORTHAND-HINDI-RQPS-SET-4 papers

SINDHI-RQPS-SET-4

Class 12 - 2024 - FINAL PAPERS - SINDHI-RQPS-SET-4 papers

SOCIOLOGY-RQPS-SET-4

Class 12 - 2024 - FINAL PAPERS - SOCIOLOGY-RQPS-SET-4 papers

SPANISH-RQPS-SET-4

Class 12 - 2024 - FINAL PAPERS - SPANISH-RQPS-SET-4 papers

TAMIL-RQPS-SET-4

Class 12 - 2024 - FINAL PAPERS - TAMIL-RQPS-SET-4 papers

TANGKHUL-RQPS-SET-4

Class 12 - 2024 - FINAL PAPERS - TANGKHUL-RQPS-SET-4 papers

TAXATION-RQPS-SET-4

Class 12 - 2024 - FINAL PAPERS - TAXATION-RQPS-SET-4 papers

TELUGU-RQPS-SET-4

Class 12 - 2024 - FINAL PAPERS - TELUGU-RQPS-SET-4 papers

TELUGU-TELANGANA-RQPS-SET-4

Class 12 - 2024 - FINAL PAPERS - TELUGU-TELANGANA-RQPS-SET-4 papers

TEXTILE-DESIGN-RQPS-SET-4

Class 12 - 2024 - FINAL PAPERS - TEXTILE-DESIGN-RQPS-SET-4 papers

TIBETAN-RQPS-SET-4

Class 12 - 2024 - FINAL PAPERS - TIBETAN-RQPS-SET-4 papers

TOURISM-RQPS-SET-4

Class 12 - 2024 - FINAL PAPERS - TOURISM-RQPS-SET-4 papers

TYPOGRAPHY-COMPUTER-APPLICATIONS-RQPS-SET-4

Class 12 - 2024 - FINAL PAPERS - TYPOGRAPHY-COMPUTER-APPLICATIONS-RQPS-SET-4 papers

URDU-CORE-RQPS-SET-4

Class 12 - 2024 - FINAL PAPERS - URDU-CORE-RQPS-SET-4 papers

URDU-ELECTIVE-RQPS-SET-4

Class 12 - 2024 - FINAL PAPERS - URDU-ELECTIVE-RQPS-SET-4 papers

WEB-APPLICATIONS-RQPS-SET-4

Class 12 - 2024 - FINAL PAPERS - WEB-APPLICATIONS-RQPS-SET-4 papers

YOGA-RQPS-SET-4

Class 12 - 2024 - FINAL PAPERS - YOGA-RQPS-SET-4 papers