Skip to main content

Class 12 2022 FINAL PAPERS PHYSICS-A1BAB-2-SET-2 Question Papers

View all pages of the question paper below.

CBSE PYQ Class 12 2022 FINAL PAPERS PHYSICS-A1BAB-2-SET-2 Information

Board CBSE (Central Board of Secondary Education)
Class Class 12
Year Year 2022
Category FINAL PAPERS
Subject Year PHYSICS-A1BAB-2-SET-2
About This Paper This examination paper was conducted by CBSE in 2022 for the subject PHYSICS-A1BAB-2-SET-2 of class 12.
CBSE-Class-12-Previous-Year-Question-Papers-PHYSICS-A1BAB-2-SET-2-Page-1 Image
CBSE-Class-12-Previous-Year-Question-Papers-PHYSICS-A1BAB-2-SET-2-Page-2 Image
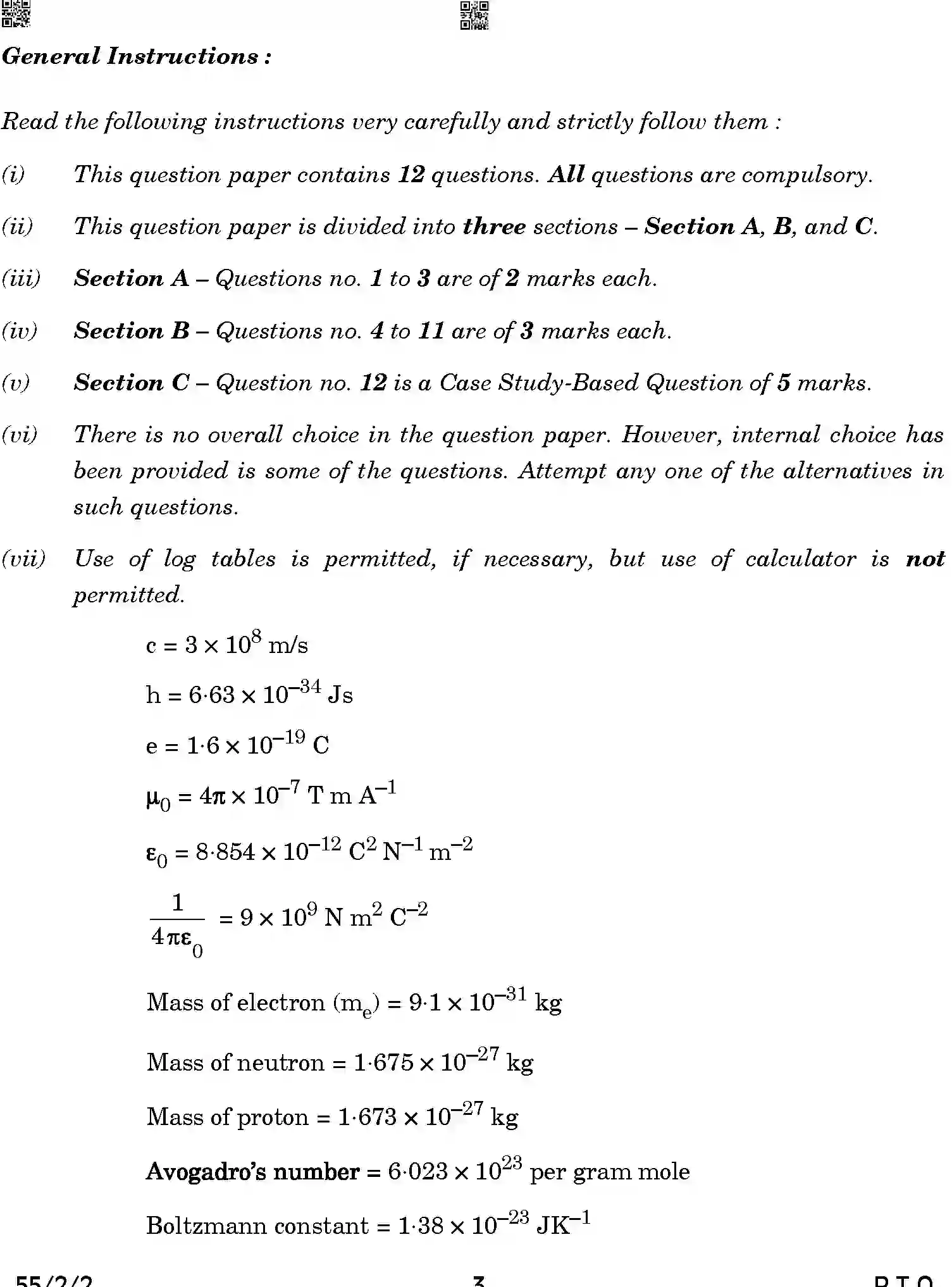
CBSE-Class-12-Previous-Year-Question-Papers-PHYSICS-A1BAB-2-SET-2-Page-3 Image
CBSE-Class-12-Previous-Year-Question-Papers-PHYSICS-A1BAB-2-SET-2-Page-4 Image
CBSE-Class-12-Previous-Year-Question-Papers-PHYSICS-A1BAB-2-SET-2-Page-5 Image
CBSE-Class-12-Previous-Year-Question-Papers-PHYSICS-A1BAB-2-SET-2-Page-6 Image
CBSE-Class-12-Previous-Year-Question-Papers-PHYSICS-A1BAB-2-SET-2-Page-7 Image
CBSE-Class-12-Previous-Year-Question-Papers-PHYSICS-A1BAB-2-SET-2-Page-8 Image
CBSE-Class-12-Previous-Year-Question-Papers-PHYSICS-A1BAB-2-SET-2-Page-9 Image
CBSE-Class-12-Previous-Year-Question-Papers-PHYSICS-A1BAB-2-SET-2-Page-10 Image
CBSE-Class-12-Previous-Year-Question-Papers-PHYSICS-A1BAB-2-SET-2-Page-11 Image

Other CBSE Previous Year Question Papers for Class 12 - FINAL PAPERS released in 2022

Browse other subjects available for the same class, category, and year.

ACCOUNTANCY-A6BAB-C-SET-1-COMP

Class 12 - 2022 - FINAL PAPERS - ACCOUNTANCY-A6BAB-C-SET-1-COMP papers

ACCOUNTANCY-A6BAB-C-SET-2-COMP

Class 12 - 2022 - FINAL PAPERS - ACCOUNTANCY-A6BAB-C-SET-2-COMP papers

ACCOUNTANCY-A6BAB-C-SET-3-COMP

Class 12 - 2022 - FINAL PAPERS - ACCOUNTANCY-A6BAB-C-SET-3-COMP papers

ACCOUNTANCY-ABCD1-2-SET-1

Class 12 - 2022 - FINAL PAPERS - ACCOUNTANCY-ABCD1-2-SET-1 papers

ACCOUNTANCY-ABCD1-2-SET-2

Class 12 - 2022 - FINAL PAPERS - ACCOUNTANCY-ABCD1-2-SET-2 papers

ACCOUNTANCY-ABCD1-2-SET-3

Class 12 - 2022 - FINAL PAPERS - ACCOUNTANCY-ABCD1-2-SET-3 papers

ACCOUNTANCY-ABCD3-1-SET-1

Class 12 - 2022 - FINAL PAPERS - ACCOUNTANCY-ABCD3-1-SET-1 papers

ACCOUNTANCY-ABCD3-1-SET-2

Class 12 - 2022 - FINAL PAPERS - ACCOUNTANCY-ABCD3-1-SET-2 papers

ACCOUNTANCY-ABCD3-1-SET-3

Class 12 - 2022 - FINAL PAPERS - ACCOUNTANCY-ABCD3-1-SET-3 papers

ACCOUNTANCY-ABCD4-3-SET-1

Class 12 - 2022 - FINAL PAPERS - ACCOUNTANCY-ABCD4-3-SET-1 papers

ACCOUNTANCY-ABCD4-3-SET-2

Class 12 - 2022 - FINAL PAPERS - ACCOUNTANCY-ABCD4-3-SET-2 papers

ACCOUNTANCY-ABCD4-3-SET-3

Class 12 - 2022 - FINAL PAPERS - ACCOUNTANCY-ABCD4-3-SET-3 papers

ACCOUNTANCY-ABCD5-5-SET-1

Class 12 - 2022 - FINAL PAPERS - ACCOUNTANCY-ABCD5-5-SET-1 papers

ACCOUNTANCY-ABCD5-5-SET-2

Class 12 - 2022 - FINAL PAPERS - ACCOUNTANCY-ABCD5-5-SET-2 papers

ACCOUNTANCY-ABCD5-5-SET-3

Class 12 - 2022 - FINAL PAPERS - ACCOUNTANCY-ABCD5-5-SET-3 papers

ACCOUNTANCY-ABDC2-4-SET-1

Class 12 - 2022 - FINAL PAPERS - ACCOUNTANCY-ABDC2-4-SET-1 papers

ACCOUNTANCY-ABDC2-4-SET-2

Class 12 - 2022 - FINAL PAPERS - ACCOUNTANCY-ABDC2-4-SET-2 papers

ACCOUNTANCY-ABDC2-4-SET-3

Class 12 - 2022 - FINAL PAPERS - ACCOUNTANCY-ABDC2-4-SET-3 papers

ACCOUNTANCY-URDU-A6BAB-C-SET-1-COMP

Class 12 - 2022 - FINAL PAPERS - ACCOUNTANCY-URDU-A6BAB-C-SET-1-COMP papers

ACCOUNTANCY-URDU-A6BAB-C-SET-2-COMP

Class 12 - 2022 - FINAL PAPERS - ACCOUNTANCY-URDU-A6BAB-C-SET-2-COMP papers

ACCOUNTANCY-URDU-A6BAB-C-SET-3-COMP

Class 12 - 2022 - FINAL PAPERS - ACCOUNTANCY-URDU-A6BAB-C-SET-3-COMP papers

AGRICULTURE-ABA-C-SET-4-COMP

Class 12 - 2022 - FINAL PAPERS - AGRICULTURE-ABA-C-SET-4-COMP papers

AGRICULTURE-ABA-SET-4

Class 12 - 2022 - FINAL PAPERS - AGRICULTURE-ABA-SET-4 papers

AIR-CONDITIONING-AND-REFRIGERATION-ABA-C-SET-4-COMP

Class 12 - 2022 - FINAL PAPERS - AIR-CONDITIONING-AND-REFRIGERATION-ABA-C-SET-4-COMP papers

AIR-CONDITIONING-AND-REFRIGERATION-ABA-SET-4

Class 12 - 2022 - FINAL PAPERS - AIR-CONDITIONING-AND-REFRIGERATION-ABA-SET-4 papers

APPLIED-MATHEMATICS-BAB-C-SET-4-COMP

Class 12 - 2022 - FINAL PAPERS - APPLIED-MATHEMATICS-BAB-C-SET-4-COMP papers

APPLIED-MATHEMATICS-BAB-SET-4

Class 12 - 2022 - FINAL PAPERS - APPLIED-MATHEMATICS-BAB-SET-4 papers

ARABIC-ABA-C-SET-4-COMP

Class 12 - 2022 - FINAL PAPERS - ARABIC-ABA-C-SET-4-COMP papers

ARABIC-ABA-SET-4

Class 12 - 2022 - FINAL PAPERS - ARABIC-ABA-SET-4 papers

ARTIFICIAL-INTELLIGENCE-ABA-C-SET-4-COMP

Class 12 - 2022 - FINAL PAPERS - ARTIFICIAL-INTELLIGENCE-ABA-C-SET-4-COMP papers

ARTIFICIAL-INTELLIGENCE-ABA-SET-4

Class 12 - 2022 - FINAL PAPERS - ARTIFICIAL-INTELLIGENCE-ABA-SET-4 papers

ASSAMESE-ABA-SET-4

Class 12 - 2022 - FINAL PAPERS - ASSAMESE-ABA-SET-4 papers

AUTOMOTIVE-BAB-C-SET-4-COMP

Class 12 - 2022 - FINAL PAPERS - AUTOMOTIVE-BAB-C-SET-4-COMP papers

AUTOMOTIVE-BAB-SET-4

Class 12 - 2022 - FINAL PAPERS - AUTOMOTIVE-BAB-SET-4 papers

BAB-CARNATIC-MUSIC-INSTRUMENTAL-PERCUSSION-BAB-SET-4

Class 12 - 2022 - FINAL PAPERS - BAB-CARNATIC-MUSIC-INSTRUMENTAL-PERCUSSION-BAB-SET-4 papers

BANKING-ABA-C-SET-4-COMP

Class 12 - 2022 - FINAL PAPERS - BANKING-ABA-C-SET-4-COMP papers

BANKING-ABA-SET-4

Class 12 - 2022 - FINAL PAPERS - BANKING-ABA-SET-4 papers

BEAUTY-AND-WELLNESS-ABA-C-SET-4-COMP

Class 12 - 2022 - FINAL PAPERS - BEAUTY-AND-WELLNESS-ABA-C-SET-4-COMP papers

BEAUTY-AND-WELLNESS-ABA-SET-4

Class 12 - 2022 - FINAL PAPERS - BEAUTY-AND-WELLNESS-ABA-SET-4 papers

BENGALI-ABA-C-SET-4-COMP

Class 12 - 2022 - FINAL PAPERS - BENGALI-ABA-C-SET-4-COMP papers

BENGALI-ABA-SET-4

Class 12 - 2022 - FINAL PAPERS - BENGALI-ABA-SET-4 papers

BHARATNATAYAM-DANCE-BAB-SET-4

Class 12 - 2022 - FINAL PAPERS - BHARATNATAYAM-DANCE-BAB-SET-4 papers

BHARATNATYAM-DANCE-BAB-C-SET-4-COMP

Class 12 - 2022 - FINAL PAPERS - BHARATNATYAM-DANCE-BAB-C-SET-4-COMP papers

BHUTIA-ABA-SET-4

Class 12 - 2022 - FINAL PAPERS - BHUTIA-ABA-SET-4 papers

BIOLOGY-A6BAB-C-SET-1-COMP

Class 12 - 2022 - FINAL PAPERS - BIOLOGY-A6BAB-C-SET-1-COMP papers

BIOLOGY-A6BAB-C-SET-2-COMP

Class 12 - 2022 - FINAL PAPERS - BIOLOGY-A6BAB-C-SET-2-COMP papers

BIOLOGY-A6BAB-C-SET-3-COMP

Class 12 - 2022 - FINAL PAPERS - BIOLOGY-A6BAB-C-SET-3-COMP papers

BIOLOGY-AABB1-2-SET-1

Class 12 - 2022 - FINAL PAPERS - BIOLOGY-AABB1-2-SET-1 papers

BIOLOGY-AABB1-2-SET-2

Class 12 - 2022 - FINAL PAPERS - BIOLOGY-AABB1-2-SET-2 papers

BIOLOGY-AABB1-2-SET-3

Class 12 - 2022 - FINAL PAPERS - BIOLOGY-AABB1-2-SET-3 papers

BIOLOGY-AABB2-4-SET-1

Class 12 - 2022 - FINAL PAPERS - BIOLOGY-AABB2-4-SET-1 papers

BIOLOGY-AABB2-4-SET-2

Class 12 - 2022 - FINAL PAPERS - BIOLOGY-AABB2-4-SET-2 papers

BIOLOGY-AABB2-4-SET-3

Class 12 - 2022 - FINAL PAPERS - BIOLOGY-AABB2-4-SET-3 papers

BIOLOGY-AABB3-1-SET-1

Class 12 - 2022 - FINAL PAPERS - BIOLOGY-AABB3-1-SET-1 papers

BIOLOGY-AABB3-1-SET-2

Class 12 - 2022 - FINAL PAPERS - BIOLOGY-AABB3-1-SET-2 papers

BIOLOGY-AABB3-1-SET-3

Class 12 - 2022 - FINAL PAPERS - BIOLOGY-AABB3-1-SET-3 papers

BIOLOGY-AABB4-3-SET-1

Class 12 - 2022 - FINAL PAPERS - BIOLOGY-AABB4-3-SET-1 papers

BIOLOGY-AABB4-3-SET-2

Class 12 - 2022 - FINAL PAPERS - BIOLOGY-AABB4-3-SET-2 papers

BIOLOGY-AABB4-3-SET-3

Class 12 - 2022 - FINAL PAPERS - BIOLOGY-AABB4-3-SET-3 papers

BIOLOGY-AABB5-5-SET-1

Class 12 - 2022 - FINAL PAPERS - BIOLOGY-AABB5-5-SET-1 papers

BIOLOGY-AABB5-5-SET-2

Class 12 - 2022 - FINAL PAPERS - BIOLOGY-AABB5-5-SET-2 papers

BIOLOGY-AABB5-5-SET-3

Class 12 - 2022 - FINAL PAPERS - BIOLOGY-AABB5-5-SET-3 papers

BIOLOGY-BAB-C-SET-4-BLIND-COMP

Class 12 - 2022 - FINAL PAPERS - BIOLOGY-BAB-C-SET-4-BLIND-COMP papers

BIOLOGY-BAB-SET-5-BLIND

Class 12 - 2022 - FINAL PAPERS - BIOLOGY-BAB-SET-5-BLIND papers

BIOTECHNOLOGY-BAB-C-SET-4-COMP

Class 12 - 2022 - FINAL PAPERS - BIOTECHNOLOGY-BAB-C-SET-4-COMP papers

BIOTECHNOLOGY-BAB-SET-4

Class 12 - 2022 - FINAL PAPERS - BIOTECHNOLOGY-BAB-SET-4 papers

BODO-ABA-SET-4

Class 12 - 2022 - FINAL PAPERS - BODO-ABA-SET-4 papers

BUSINESS-ADMINISTRATION-BAB-SET-4

Class 12 - 2022 - FINAL PAPERS - BUSINESS-ADMINISTRATION-BAB-SET-4 papers

BUSINESS-STUDIES-A6BAB-C-SET-1-COMP

Class 12 - 2022 - FINAL PAPERS - BUSINESS-STUDIES-A6BAB-C-SET-1-COMP papers

BUSINESS-STUDIES-A6BAB-C-SET-2-COMP

Class 12 - 2022 - FINAL PAPERS - BUSINESS-STUDIES-A6BAB-C-SET-2-COMP papers

BUSINESS-STUDIES-A6BAB-C-SET-3-COMP

Class 12 - 2022 - FINAL PAPERS - BUSINESS-STUDIES-A6BAB-C-SET-3-COMP papers

BUSINESS-STUDIES-AB1CD-2-SET-1

Class 12 - 2022 - FINAL PAPERS - BUSINESS-STUDIES-AB1CD-2-SET-1 papers

BUSINESS-STUDIES-AB1CD-2-SET-2

Class 12 - 2022 - FINAL PAPERS - BUSINESS-STUDIES-AB1CD-2-SET-2 papers

BUSINESS-STUDIES-AB1CD-2-SET-3

Class 12 - 2022 - FINAL PAPERS - BUSINESS-STUDIES-AB1CD-2-SET-3 papers

BUSINESS-STUDIES-AB2CD-4-SET-1

Class 12 - 2022 - FINAL PAPERS - BUSINESS-STUDIES-AB2CD-4-SET-1 papers

BUSINESS-STUDIES-AB2CD-4-SET-2

Class 12 - 2022 - FINAL PAPERS - BUSINESS-STUDIES-AB2CD-4-SET-2 papers

BUSINESS-STUDIES-AB2CD-4-SET-3

Class 12 - 2022 - FINAL PAPERS - BUSINESS-STUDIES-AB2CD-4-SET-3 papers

BUSINESS-STUDIES-AB3CD-1-SET-1

Class 12 - 2022 - FINAL PAPERS - BUSINESS-STUDIES-AB3CD-1-SET-1 papers

BUSINESS-STUDIES-AB3CD-1-SET-2

Class 12 - 2022 - FINAL PAPERS - BUSINESS-STUDIES-AB3CD-1-SET-2 papers

BUSINESS-STUDIES-AB3CD-1-SET-3

Class 12 - 2022 - FINAL PAPERS - BUSINESS-STUDIES-AB3CD-1-SET-3 papers

BUSINESS-STUDIES-AB4CD-3-SET-1

Class 12 - 2022 - FINAL PAPERS - BUSINESS-STUDIES-AB4CD-3-SET-1 papers

BUSINESS-STUDIES-AB4CD-3-SET-2

Class 12 - 2022 - FINAL PAPERS - BUSINESS-STUDIES-AB4CD-3-SET-2 papers

BUSINESS-STUDIES-AB4CD-3-SET-3

Class 12 - 2022 - FINAL PAPERS - BUSINESS-STUDIES-AB4CD-3-SET-3 papers

BUSINESS-STUDIES-AB5CD-5-SET-1

Class 12 - 2022 - FINAL PAPERS - BUSINESS-STUDIES-AB5CD-5-SET-1 papers

BUSINESS-STUDIES-AB5CD-5-SET-2

Class 12 - 2022 - FINAL PAPERS - BUSINESS-STUDIES-AB5CD-5-SET-2 papers

BUSINESS-STUDIES-AB5CD-5-SET-3

Class 12 - 2022 - FINAL PAPERS - BUSINESS-STUDIES-AB5CD-5-SET-3 papers

BUSINESS-STUDIES-URDU-A6BAB-C-SET-1-COMP

Class 12 - 2022 - FINAL PAPERS - BUSINESS-STUDIES-URDU-A6BAB-C-SET-1-COMP papers

BUSINESS-STUDIES-URDU-A6BAB-C-SET-2-COMP

Class 12 - 2022 - FINAL PAPERS - BUSINESS-STUDIES-URDU-A6BAB-C-SET-2-COMP papers

BUSINESS-STUDIES-URDU-A6BAB-C-SET-3-COMP

Class 12 - 2022 - FINAL PAPERS - BUSINESS-STUDIES-URDU-A6BAB-C-SET-3-COMP papers

CARNATIC-MUSIC-BAB-SET-4

Class 12 - 2022 - FINAL PAPERS - CARNATIC-MUSIC-BAB-SET-4 papers

CARNATIC-MUSIC-INSTRUMENTAL-MELODIC-BAB-SET-4

Class 12 - 2022 - FINAL PAPERS - CARNATIC-MUSIC-INSTRUMENTAL-MELODIC-BAB-SET-4 papers

CHEMISTRY-A6BAB-C-SET-1-COMP

Class 12 - 2022 - FINAL PAPERS - CHEMISTRY-A6BAB-C-SET-1-COMP papers

CHEMISTRY-A6BAB-C-SET-2-COMP

Class 12 - 2022 - FINAL PAPERS - CHEMISTRY-A6BAB-C-SET-2-COMP papers

CHEMISTRY-A6BAB-C-SET-3-COMP

Class 12 - 2022 - FINAL PAPERS - CHEMISTRY-A6BAB-C-SET-3-COMP papers

CHEMISTRY-AABB1-2-SET-1

Class 12 - 2022 - FINAL PAPERS - CHEMISTRY-AABB1-2-SET-1 papers

CHEMISTRY-AABB1-2-SET-2

Class 12 - 2022 - FINAL PAPERS - CHEMISTRY-AABB1-2-SET-2 papers

CHEMISTRY-AABB1-2-SET-3

Class 12 - 2022 - FINAL PAPERS - CHEMISTRY-AABB1-2-SET-3 papers

CHEMISTRY-AABB2-4-SET-1

Class 12 - 2022 - FINAL PAPERS - CHEMISTRY-AABB2-4-SET-1 papers

CHEMISTRY-AABB2-4-SET-2

Class 12 - 2022 - FINAL PAPERS - CHEMISTRY-AABB2-4-SET-2 papers

CHEMISTRY-AABB2-4-SET-3

Class 12 - 2022 - FINAL PAPERS - CHEMISTRY-AABB2-4-SET-3 papers

CHEMISTRY-AABB3-1-SET-1

Class 12 - 2022 - FINAL PAPERS - CHEMISTRY-AABB3-1-SET-1 papers

CHEMISTRY-AABB3-1-SET-2

Class 12 - 2022 - FINAL PAPERS - CHEMISTRY-AABB3-1-SET-2 papers

CHEMISTRY-AABB3-1-SET-3

Class 12 - 2022 - FINAL PAPERS - CHEMISTRY-AABB3-1-SET-3 papers

CHEMISTRY-AABB4-3-SET-1

Class 12 - 2022 - FINAL PAPERS - CHEMISTRY-AABB4-3-SET-1 papers

CHEMISTRY-AABB4-3-SET-2

Class 12 - 2022 - FINAL PAPERS - CHEMISTRY-AABB4-3-SET-2 papers

CHEMISTRY-AABB4-3-SET-3

Class 12 - 2022 - FINAL PAPERS - CHEMISTRY-AABB4-3-SET-3 papers

CHEMISTRY-AABB5-5-SET-1

Class 12 - 2022 - FINAL PAPERS - CHEMISTRY-AABB5-5-SET-1 papers

CHEMISTRY-AABB5-5-SET-2

Class 12 - 2022 - FINAL PAPERS - CHEMISTRY-AABB5-5-SET-2 papers

CHEMISTRY-AABB5-5-SET-3

Class 12 - 2022 - FINAL PAPERS - CHEMISTRY-AABB5-5-SET-3 papers

CHEMISTRY-BAB-C-SET-4-BLIND-COMP

Class 12 - 2022 - FINAL PAPERS - CHEMISTRY-BAB-C-SET-4-BLIND-COMP papers

CHEMISTRY-BAB-SET-5-BLIND

Class 12 - 2022 - FINAL PAPERS - CHEMISTRY-BAB-SET-5-BLIND papers

COMMERCIAL-ART-ABA-C-SET-4-COMP

Class 12 - 2022 - FINAL PAPERS - COMMERCIAL-ART-ABA-C-SET-4-COMP papers

COMMERCIAL-ART-HISTORY-OF-INDIAN-ART-ABA-SET-4

Class 12 - 2022 - FINAL PAPERS - COMMERCIAL-ART-HISTORY-OF-INDIAN-ART-ABA-SET-4 papers

COMPUTER-SCIENCE-BAB-C-SET-4-COMP

Class 12 - 2022 - FINAL PAPERS - COMPUTER-SCIENCE-BAB-C-SET-4-COMP papers

COMPUTER-SCIENCE-BAB-SET-4

Class 12 - 2022 - FINAL PAPERS - COMPUTER-SCIENCE-BAB-SET-4 papers

COST-ACCOUNTING-BAB-C-SET-4-COMP

Class 12 - 2022 - FINAL PAPERS - COST-ACCOUNTING-BAB-C-SET-4-COMP papers

COST-ACCOUNTING-BAB-SET-4

Class 12 - 2022 - FINAL PAPERS - COST-ACCOUNTING-BAB-SET-4 papers

DANCE-KUCHIPUDI-BAB-SET-4

Class 12 - 2022 - FINAL PAPERS - DANCE-KUCHIPUDI-BAB-SET-4 papers

DESIGN-ABA-C-SET-4-COMP

Class 12 - 2022 - FINAL PAPERS - DESIGN-ABA-C-SET-4-COMP papers

DESIGN-ABA-SET-4

Class 12 - 2022 - FINAL PAPERS - DESIGN-ABA-SET-4 papers

EARLY-CHILDHOOD-CARE-AND-EDUCATION-ABA-C-SET-4-COMP

Class 12 - 2022 - FINAL PAPERS - EARLY-CHILDHOOD-CARE-AND-EDUCATION-ABA-C-SET-4-COMP papers

EARLY-CHILDHOOD-CARE-AND-EDUCATION-ABA-SET-4

Class 12 - 2022 - FINAL PAPERS - EARLY-CHILDHOOD-CARE-AND-EDUCATION-ABA-SET-4 papers

ECONOMICS-A6BAB-C-SET-1-COMP

Class 12 - 2022 - FINAL PAPERS - ECONOMICS-A6BAB-C-SET-1-COMP papers

ECONOMICS-A6BAB-C-SET-2-COMP

Class 12 - 2022 - FINAL PAPERS - ECONOMICS-A6BAB-C-SET-2-COMP papers

ECONOMICS-A6BAB-C-SET-3-COMP

Class 12 - 2022 - FINAL PAPERS - ECONOMICS-A6BAB-C-SET-3-COMP papers

ECONOMICS-AABB-4-3-SET-2

Class 12 - 2022 - FINAL PAPERS - ECONOMICS-AABB-4-3-SET-2 papers

ECONOMICS-AABB1-2-SET-1

Class 12 - 2022 - FINAL PAPERS - ECONOMICS-AABB1-2-SET-1 papers

ECONOMICS-AABB1-2-SET-2

Class 12 - 2022 - FINAL PAPERS - ECONOMICS-AABB1-2-SET-2 papers

ECONOMICS-AABB1-2-SET-3

Class 12 - 2022 - FINAL PAPERS - ECONOMICS-AABB1-2-SET-3 papers

ECONOMICS-AABB2-4-SET-1

Class 12 - 2022 - FINAL PAPERS - ECONOMICS-AABB2-4-SET-1 papers

ECONOMICS-AABB2-4-SET-2

Class 12 - 2022 - FINAL PAPERS - ECONOMICS-AABB2-4-SET-2 papers

ECONOMICS-AABB2-4-SET-3

Class 12 - 2022 - FINAL PAPERS - ECONOMICS-AABB2-4-SET-3 papers

ECONOMICS-AABB3-1-SET-1

Class 12 - 2022 - FINAL PAPERS - ECONOMICS-AABB3-1-SET-1 papers

ECONOMICS-AABB3-1-SET-2

Class 12 - 2022 - FINAL PAPERS - ECONOMICS-AABB3-1-SET-2 papers

ECONOMICS-AABB3-1-SET-3

Class 12 - 2022 - FINAL PAPERS - ECONOMICS-AABB3-1-SET-3 papers

ECONOMICS-AABB4-3-SET-1

Class 12 - 2022 - FINAL PAPERS - ECONOMICS-AABB4-3-SET-1 papers

ECONOMICS-AABB4-3-SET-2

Class 12 - 2022 - FINAL PAPERS - ECONOMICS-AABB4-3-SET-2 papers

ECONOMICS-AABB4-3-SET-3

Class 12 - 2022 - FINAL PAPERS - ECONOMICS-AABB4-3-SET-3 papers

ECONOMICS-AABB5-5-SET-1

Class 12 - 2022 - FINAL PAPERS - ECONOMICS-AABB5-5-SET-1 papers

ECONOMICS-AABB5-5-SET-2

Class 12 - 2022 - FINAL PAPERS - ECONOMICS-AABB5-5-SET-2 papers

ECONOMICS-AABB5-5-SET-3

Class 12 - 2022 - FINAL PAPERS - ECONOMICS-AABB5-5-SET-3 papers

ECONOMICS-PUNJABI-A6BAB-C-SET-1-COMP

Class 12 - 2022 - FINAL PAPERS - ECONOMICS-PUNJABI-A6BAB-C-SET-1-COMP papers

ECONOMICS-PUNJABI-A6BAB-C-SET-2-COMP

Class 12 - 2022 - FINAL PAPERS - ECONOMICS-PUNJABI-A6BAB-C-SET-2-COMP papers

ECONOMICS-PUNJABI-A6BAB-C-SET-3-COMP

Class 12 - 2022 - FINAL PAPERS - ECONOMICS-PUNJABI-A6BAB-C-SET-3-COMP papers

ECONOMICS-PUNJABI-AABB1-2-SET-1

Class 12 - 2022 - FINAL PAPERS - ECONOMICS-PUNJABI-AABB1-2-SET-1 papers

ECONOMICS-PUNJABI-AABB1-2-SET-2

Class 12 - 2022 - FINAL PAPERS - ECONOMICS-PUNJABI-AABB1-2-SET-2 papers

ECONOMICS-PUNJABI-AABB1-2-SET-3

Class 12 - 2022 - FINAL PAPERS - ECONOMICS-PUNJABI-AABB1-2-SET-3 papers

ECONOMICS-URDU-A6BAB-C-SET-1-COMP

Class 12 - 2022 - FINAL PAPERS - ECONOMICS-URDU-A6BAB-C-SET-1-COMP papers

ECONOMICS-URDU-A6BAB-C-SET-2-COMP

Class 12 - 2022 - FINAL PAPERS - ECONOMICS-URDU-A6BAB-C-SET-2-COMP papers

ECONOMICS-URDU-A6BAB-C-SET-3-COMP

Class 12 - 2022 - FINAL PAPERS - ECONOMICS-URDU-A6BAB-C-SET-3-COMP papers

ECONOMICS-URDU-AABB5-5-SET-1

Class 12 - 2022 - FINAL PAPERS - ECONOMICS-URDU-AABB5-5-SET-1 papers

ECONOMICS-URDU-AABB5-5-SET-2

Class 12 - 2022 - FINAL PAPERS - ECONOMICS-URDU-AABB5-5-SET-2 papers

ECONOMICS-URDU-AABB5-5-SET-3

Class 12 - 2022 - FINAL PAPERS - ECONOMICS-URDU-AABB5-5-SET-3 papers

ELECTRICAL-TECHNOLOGY-BAB-C-SET-4-COMP

Class 12 - 2022 - FINAL PAPERS - ELECTRICAL-TECHNOLOGY-BAB-C-SET-4-COMP papers

ELECTRICAL-TECHNOLOGY-BAB-SET-4

Class 12 - 2022 - FINAL PAPERS - ELECTRICAL-TECHNOLOGY-BAB-SET-4 papers

ELECTRONICS-TECHNOLOGY-BAB-SET-4

Class 12 - 2022 - FINAL PAPERS - ELECTRONICS-TECHNOLOGY-BAB-SET-4 papers

ENGINEERING-GRAPHICS-BAB-SET-4

Class 12 - 2022 - FINAL PAPERS - ENGINEERING-GRAPHICS-BAB-SET-4 papers

ENGLISH-CORE-A1BAB-2-SET-1

Class 12 - 2022 - FINAL PAPERS - ENGLISH-CORE-A1BAB-2-SET-1 papers

ENGLISH-CORE-A1BAB-2-SET-2

Class 12 - 2022 - FINAL PAPERS - ENGLISH-CORE-A1BAB-2-SET-2 papers

ENGLISH-CORE-A1BAB-2-SET-3

Class 12 - 2022 - FINAL PAPERS - ENGLISH-CORE-A1BAB-2-SET-3 papers

ENGLISH-CORE-A2BAB-4-SET-1

Class 12 - 2022 - FINAL PAPERS - ENGLISH-CORE-A2BAB-4-SET-1 papers

ENGLISH-CORE-A2BAB-4-SET-2

Class 12 - 2022 - FINAL PAPERS - ENGLISH-CORE-A2BAB-4-SET-2 papers

ENGLISH-CORE-A2BAB-4-SET-3

Class 12 - 2022 - FINAL PAPERS - ENGLISH-CORE-A2BAB-4-SET-3 papers

ENGLISH-CORE-A3BAB-1-SET-1

Class 12 - 2022 - FINAL PAPERS - ENGLISH-CORE-A3BAB-1-SET-1 papers

ENGLISH-CORE-A3BAB-1-SET-2

Class 12 - 2022 - FINAL PAPERS - ENGLISH-CORE-A3BAB-1-SET-2 papers

ENGLISH-CORE-A3BAB-1-SET-3

Class 12 - 2022 - FINAL PAPERS - ENGLISH-CORE-A3BAB-1-SET-3 papers

ENGLISH-CORE-A4BAB-3-SET-1

Class 12 - 2022 - FINAL PAPERS - ENGLISH-CORE-A4BAB-3-SET-1 papers

ENGLISH-CORE-A4BAB-3-SET-2

Class 12 - 2022 - FINAL PAPERS - ENGLISH-CORE-A4BAB-3-SET-2 papers

ENGLISH-CORE-A4BAB-3-SET-3

Class 12 - 2022 - FINAL PAPERS - ENGLISH-CORE-A4BAB-3-SET-3 papers

ENGLISH-CORE-A5BAB-5-SET-1

Class 12 - 2022 - FINAL PAPERS - ENGLISH-CORE-A5BAB-5-SET-1 papers

ENGLISH-CORE-A5BAB-5-SET-2

Class 12 - 2022 - FINAL PAPERS - ENGLISH-CORE-A5BAB-5-SET-2 papers

ENGLISH-CORE-A5BAB-5-SET-3

Class 12 - 2022 - FINAL PAPERS - ENGLISH-CORE-A5BAB-5-SET-3 papers

ENGLISH-CORE-A6BAB-C-SET-1-COMP

Class 12 - 2022 - FINAL PAPERS - ENGLISH-CORE-A6BAB-C-SET-1-COMP papers

ENGLISH-CORE-A6BAB-C-SET-2-COMP

Class 12 - 2022 - FINAL PAPERS - ENGLISH-CORE-A6BAB-C-SET-2-COMP papers

ENGLISH-CORE-A6BAB-C-SET-3-COMP

Class 12 - 2022 - FINAL PAPERS - ENGLISH-CORE-A6BAB-C-SET-3-COMP papers

ENGLISH-ELECTIVE-A1BAB-SET-4

Class 12 - 2022 - FINAL PAPERS - ENGLISH-ELECTIVE-A1BAB-SET-4 papers

ENGLISH-ELECTIVE-A6BAB-SET-4-COMP

Class 12 - 2022 - FINAL PAPERS - ENGLISH-ELECTIVE-A6BAB-SET-4-COMP papers

ENTREPRENEURSHIP-ABA-C-SET-4-COMP

Class 12 - 2022 - FINAL PAPERS - ENTREPRENEURSHIP-ABA-C-SET-4-COMP papers

ENTREPRENEURSHIP-ABA-SET-A

Class 12 - 2022 - FINAL PAPERS - ENTREPRENEURSHIP-ABA-SET-A papers

FASHION-STUDIES-BAB-C-SET-4-COMP

Class 12 - 2022 - FINAL PAPERS - FASHION-STUDIES-BAB-C-SET-4-COMP papers

FASHION-STUDIES-BAB-SET-4

Class 12 - 2022 - FINAL PAPERS - FASHION-STUDIES-BAB-SET-4 papers

FINANCIAL-MARKETS-MANAGEMENT-ABA-C-SET-4-COMP

Class 12 - 2022 - FINAL PAPERS - FINANCIAL-MARKETS-MANAGEMENT-ABA-C-SET-4-COMP papers

FINANCIAL-MARKETS-MANAGEMENT-ABA-SET-4

Class 12 - 2022 - FINAL PAPERS - FINANCIAL-MARKETS-MANAGEMENT-ABA-SET-4 papers

FOOD-NUTRITION-AND-DIETETICS-BAB-SET-4

Class 12 - 2022 - FINAL PAPERS - FOOD-NUTRITION-AND-DIETETICS-BAB-SET-4 papers

FOOD-PRODUCTION-ABA-C-SET-4-COMP

Class 12 - 2022 - FINAL PAPERS - FOOD-PRODUCTION-ABA-C-SET-4-COMP papers

FOOD-PRODUCTION-ABA-SET-4

Class 12 - 2022 - FINAL PAPERS - FOOD-PRODUCTION-ABA-SET-4 papers

FRENCH-ABA-C-SET-4-COMP

Class 12 - 2022 - FINAL PAPERS - FRENCH-ABA-C-SET-4-COMP papers

FRENCH-ABA-SET-4

Class 12 - 2022 - FINAL PAPERS - FRENCH-ABA-SET-4 papers

FRONT-OFFICE-OPERATIONS-BAB-C-SET-4-COMP

Class 12 - 2022 - FINAL PAPERS - FRONT-OFFICE-OPERATIONS-BAB-C-SET-4-COMP papers

FRONT-OFFICE-OPERATIONS-BAB-SET-4

Class 12 - 2022 - FINAL PAPERS - FRONT-OFFICE-OPERATIONS-BAB-SET-4 papers

GEOGRAPHY-A6BAB-C-SET-1-COMP

Class 12 - 2022 - FINAL PAPERS - GEOGRAPHY-A6BAB-C-SET-1-COMP papers

GEOGRAPHY-A6BAB-C-SET-2-COMP

Class 12 - 2022 - FINAL PAPERS - GEOGRAPHY-A6BAB-C-SET-2-COMP papers

GEOGRAPHY-A6BAB-C-SET-3-COMP

Class 12 - 2022 - FINAL PAPERS - GEOGRAPHY-A6BAB-C-SET-3-COMP papers

GEOGRAPHY-ABAB1-2-SET-1

Class 12 - 2022 - FINAL PAPERS - GEOGRAPHY-ABAB1-2-SET-1 papers

GEOGRAPHY-ABAB1-2-SET-2

Class 12 - 2022 - FINAL PAPERS - GEOGRAPHY-ABAB1-2-SET-2 papers

GEOGRAPHY-ABAB1-2-SET-3

Class 12 - 2022 - FINAL PAPERS - GEOGRAPHY-ABAB1-2-SET-3 papers

GEOGRAPHY-ABAB2-4-SET-1

Class 12 - 2022 - FINAL PAPERS - GEOGRAPHY-ABAB2-4-SET-1 papers

GEOGRAPHY-ABAB2-4-SET-2

Class 12 - 2022 - FINAL PAPERS - GEOGRAPHY-ABAB2-4-SET-2 papers

GEOGRAPHY-ABAB2-4-SET-3

Class 12 - 2022 - FINAL PAPERS - GEOGRAPHY-ABAB2-4-SET-3 papers

GEOGRAPHY-ABAB3-1-SET-1

Class 12 - 2022 - FINAL PAPERS - GEOGRAPHY-ABAB3-1-SET-1 papers

GEOGRAPHY-ABAB3-1-SET-2

Class 12 - 2022 - FINAL PAPERS - GEOGRAPHY-ABAB3-1-SET-2 papers

GEOGRAPHY-ABAB3-1-SET-3

Class 12 - 2022 - FINAL PAPERS - GEOGRAPHY-ABAB3-1-SET-3 papers

GEOGRAPHY-ABAB4-3-SET-1

Class 12 - 2022 - FINAL PAPERS - GEOGRAPHY-ABAB4-3-SET-1 papers

GEOGRAPHY-ABAB4-3-SET-2

Class 12 - 2022 - FINAL PAPERS - GEOGRAPHY-ABAB4-3-SET-2 papers

GEOGRAPHY-ABAB4-3-SET-3

Class 12 - 2022 - FINAL PAPERS - GEOGRAPHY-ABAB4-3-SET-3 papers

GEOGRAPHY-ABAB5-5-SET-1

Class 12 - 2022 - FINAL PAPERS - GEOGRAPHY-ABAB5-5-SET-1 papers

GEOGRAPHY-ABAB5-5-SET-2

Class 12 - 2022 - FINAL PAPERS - GEOGRAPHY-ABAB5-5-SET-2 papers

GEOGRAPHY-ABAB5-5-SET-3

Class 12 - 2022 - FINAL PAPERS - GEOGRAPHY-ABAB5-5-SET-3 papers

GEOGRAPHY-PUNJABI-A6BAB-C-SET-1-COMP

Class 12 - 2022 - FINAL PAPERS - GEOGRAPHY-PUNJABI-A6BAB-C-SET-1-COMP papers

GEOGRAPHY-PUNJABI-A6BAB-C-SET-2-COMP

Class 12 - 2022 - FINAL PAPERS - GEOGRAPHY-PUNJABI-A6BAB-C-SET-2-COMP papers

GEOGRAPHY-PUNJABI-A6BAB-C-SET-3-COMP

Class 12 - 2022 - FINAL PAPERS - GEOGRAPHY-PUNJABI-A6BAB-C-SET-3-COMP papers

GEOGRAPHY-PUNJABI-ABAB1-2-SET-1

Class 12 - 2022 - FINAL PAPERS - GEOGRAPHY-PUNJABI-ABAB1-2-SET-1 papers

GEOGRAPHY-PUNJABI-ABAB1-2-SET-2

Class 12 - 2022 - FINAL PAPERS - GEOGRAPHY-PUNJABI-ABAB1-2-SET-2 papers

GEOGRAPHY-PUNJABI-ABAB1-2-SET-3

Class 12 - 2022 - FINAL PAPERS - GEOGRAPHY-PUNJABI-ABAB1-2-SET-3 papers

GEOGRAPHY-URDU-A6BAB-C-SET-1-COMP

Class 12 - 2022 - FINAL PAPERS - GEOGRAPHY-URDU-A6BAB-C-SET-1-COMP papers

GEOGRAPHY-URDU-A6BAB-C-SET-2-COMP

Class 12 - 2022 - FINAL PAPERS - GEOGRAPHY-URDU-A6BAB-C-SET-2-COMP papers

GEOGRAPHY-URDU-A6BAB-C-SET-3-COMP

Class 12 - 2022 - FINAL PAPERS - GEOGRAPHY-URDU-A6BAB-C-SET-3-COMP papers

GEOSPATIAL-TECHNOLOGY-BAB-C-SET-4-COMP

Class 12 - 2022 - FINAL PAPERS - GEOSPATIAL-TECHNOLOGY-BAB-C-SET-4-COMP papers

GEOSPATIAL-TECHNOLOGY-BAB-SET-4

Class 12 - 2022 - FINAL PAPERS - GEOSPATIAL-TECHNOLOGY-BAB-SET-4 papers

GERMAN-ABA-SET-4

Class 12 - 2022 - FINAL PAPERS - GERMAN-ABA-SET-4 papers

GRAPHICS-ABA-SET-4

Class 12 - 2022 - FINAL PAPERS - GRAPHICS-ABA-SET-4 papers

GRAPHICS-HISTORY-OF-INDIAN-ART-ABA-C-SET-4-COMP

Class 12 - 2022 - FINAL PAPERS - GRAPHICS-HISTORY-OF-INDIAN-ART-ABA-C-SET-4-COMP papers

GUJARATI-ABA-C-SET-4-COMP

Class 12 - 2022 - FINAL PAPERS - GUJARATI-ABA-C-SET-4-COMP papers

GUJARATI-ABA-SET-4

Class 12 - 2022 - FINAL PAPERS - GUJARATI-ABA-SET-4 papers

HEALTH-CARE-BAB-C-SET-4-COMP

Class 12 - 2022 - FINAL PAPERS - HEALTH-CARE-BAB-C-SET-4-COMP papers

HEALTH-CARE-BAB-SET-4

Class 12 - 2022 - FINAL PAPERS - HEALTH-CARE-BAB-SET-4 papers

HINDI-CORE-A6BAB-C-SET-1-COMP

Class 12 - 2022 - FINAL PAPERS - HINDI-CORE-A6BAB-C-SET-1-COMP papers

HINDI-CORE-A6BAB-C-SET-2-COMP

Class 12 - 2022 - FINAL PAPERS - HINDI-CORE-A6BAB-C-SET-2-COMP papers

HINDI-CORE-A6BAB-C-SET-3-COMP

Class 12 - 2022 - FINAL PAPERS - HINDI-CORE-A6BAB-C-SET-3-COMP papers

HINDI-CORE-ABCD1-2-SET-1

Class 12 - 2022 - FINAL PAPERS - HINDI-CORE-ABCD1-2-SET-1 papers

HINDI-CORE-ABCD1-2-SET-2

Class 12 - 2022 - FINAL PAPERS - HINDI-CORE-ABCD1-2-SET-2 papers

HINDI-CORE-ABCD1-2-SET-3

Class 12 - 2022 - FINAL PAPERS - HINDI-CORE-ABCD1-2-SET-3 papers

HINDI-CORE-ABCD2-4-SET-1

Class 12 - 2022 - FINAL PAPERS - HINDI-CORE-ABCD2-4-SET-1 papers

HINDI-CORE-ABCD2-4-SET-2

Class 12 - 2022 - FINAL PAPERS - HINDI-CORE-ABCD2-4-SET-2 papers

HINDI-CORE-ABCD3-1-SET-1

Class 12 - 2022 - FINAL PAPERS - HINDI-CORE-ABCD3-1-SET-1 papers

HINDI-CORE-ABCD3-1-SET-2

Class 12 - 2022 - FINAL PAPERS - HINDI-CORE-ABCD3-1-SET-2 papers

HINDI-CORE-ABCD3-1-SET-3

Class 12 - 2022 - FINAL PAPERS - HINDI-CORE-ABCD3-1-SET-3 papers

HINDI-CORE-ABCD4-3-SET-1

Class 12 - 2022 - FINAL PAPERS - HINDI-CORE-ABCD4-3-SET-1 papers

HINDI-CORE-ABCD4-3-SET-2

Class 12 - 2022 - FINAL PAPERS - HINDI-CORE-ABCD4-3-SET-2 papers

HINDI-CORE-ABCD4-3-SET-3

Class 12 - 2022 - FINAL PAPERS - HINDI-CORE-ABCD4-3-SET-3 papers

HINDI-CORE-ABCD5-5-SET-1

Class 12 - 2022 - FINAL PAPERS - HINDI-CORE-ABCD5-5-SET-1 papers

HINDI-CORE-ABCD5-5-SET-2

Class 12 - 2022 - FINAL PAPERS - HINDI-CORE-ABCD5-5-SET-2 papers

HINDI-CORE-ABCD5-5-SET-3

Class 12 - 2022 - FINAL PAPERS - HINDI-CORE-ABCD5-5-SET-3 papers

HINDI-CORE-ABDC2-4-SET-3

Class 12 - 2022 - FINAL PAPERS - HINDI-CORE-ABDC2-4-SET-3 papers

HINDI-ELECTIVE-A6BAB-C-SET-1-COMP

Class 12 - 2022 - FINAL PAPERS - HINDI-ELECTIVE-A6BAB-C-SET-1-COMP papers

HINDI-ELECTIVE-A6BAB-C-SET-2-COMP

Class 12 - 2022 - FINAL PAPERS - HINDI-ELECTIVE-A6BAB-C-SET-2-COMP papers

HINDI-ELECTIVE-A6BAB-C-SET-3-COMP

Class 12 - 2022 - FINAL PAPERS - HINDI-ELECTIVE-A6BAB-C-SET-3-COMP papers

HINDI-ELECTIVE-ABCD3-1-SET-1

Class 12 - 2022 - FINAL PAPERS - HINDI-ELECTIVE-ABCD3-1-SET-1 papers

HINDI-ELECTIVE-ABCD3-1-SET-2

Class 12 - 2022 - FINAL PAPERS - HINDI-ELECTIVE-ABCD3-1-SET-2 papers

HINDI-ELECTIVE-ABCD3-1-SET-3

Class 12 - 2022 - FINAL PAPERS - HINDI-ELECTIVE-ABCD3-1-SET-3 papers

HINDI-ELECTIVE-ABCD4-3-SET-1

Class 12 - 2022 - FINAL PAPERS - HINDI-ELECTIVE-ABCD4-3-SET-1 papers

HINDI-ELECTIVE-ABCD4-3-SET-2

Class 12 - 2022 - FINAL PAPERS - HINDI-ELECTIVE-ABCD4-3-SET-2 papers

HINDI-ELECTIVE-ABCD4-3-SET-3

Class 12 - 2022 - FINAL PAPERS - HINDI-ELECTIVE-ABCD4-3-SET-3 papers

HINDI-ELECTIVE-ABCD5-5-SET-1

Class 12 - 2022 - FINAL PAPERS - HINDI-ELECTIVE-ABCD5-5-SET-1 papers

HINDI-ELECTIVE-ABCD5-5-SET-2

Class 12 - 2022 - FINAL PAPERS - HINDI-ELECTIVE-ABCD5-5-SET-2 papers

HINDI-ELECTIVE-ABCD5-5-SET-3

Class 12 - 2022 - FINAL PAPERS - HINDI-ELECTIVE-ABCD5-5-SET-3 papers

HINDI-ELECTIVE-ABDC2-4-SET-1

Class 12 - 2022 - FINAL PAPERS - HINDI-ELECTIVE-ABDC2-4-SET-1 papers

HINDI-ELECTIVE-ABDC2-4-SET-2

Class 12 - 2022 - FINAL PAPERS - HINDI-ELECTIVE-ABDC2-4-SET-2 papers

HINDI-ELECTIVE-ABDC2-4-SET-3

Class 12 - 2022 - FINAL PAPERS - HINDI-ELECTIVE-ABDC2-4-SET-3 papers

HINDUSTANI-MUSIC-BAB-C-SET-4-COMP

Class 12 - 2022 - FINAL PAPERS - HINDUSTANI-MUSIC-BAB-C-SET-4-COMP papers

HINDUSTANI-MUSIC-MELODIC-INSTRUMENTS-BAB-C-SET-4-COMP

Class 12 - 2022 - FINAL PAPERS - HINDUSTANI-MUSIC-MELODIC-INSTRUMENTS-BAB-C-SET-4-COMP papers

HINDUSTANI-MUSIC-MI-BAB-SET-4

Class 12 - 2022 - FINAL PAPERS - HINDUSTANI-MUSIC-MI-BAB-SET-4 papers

HINDUSTANI-MUSIC-PI-BAB-SET-4

Class 12 - 2022 - FINAL PAPERS - HINDUSTANI-MUSIC-PI-BAB-SET-4 papers

HISTORY-A6BAB-C-SET-1-COMP

Class 12 - 2022 - FINAL PAPERS - HISTORY-A6BAB-C-SET-1-COMP papers

HISTORY-A6BAB-C-SET-2-COMP

Class 12 - 2022 - FINAL PAPERS - HISTORY-A6BAB-C-SET-2-COMP papers

HISTORY-A6BAB-C-SET-3-COMP

Class 12 - 2022 - FINAL PAPERS - HISTORY-A6BAB-C-SET-3-COMP papers

HISTORY-AB1CD-2-SET-1

Class 12 - 2022 - FINAL PAPERS - HISTORY-AB1CD-2-SET-1 papers

HISTORY-AB1CD-2-SET-2

Class 12 - 2022 - FINAL PAPERS - HISTORY-AB1CD-2-SET-2 papers

HISTORY-AB1CD-2-SET-3

Class 12 - 2022 - FINAL PAPERS - HISTORY-AB1CD-2-SET-3 papers

HISTORY-AB2CD-4-SET-1

Class 12 - 2022 - FINAL PAPERS - HISTORY-AB2CD-4-SET-1 papers

HISTORY-AB2CD-4-SET-2

Class 12 - 2022 - FINAL PAPERS - HISTORY-AB2CD-4-SET-2 papers

HISTORY-AB2CD-4-SET-3

Class 12 - 2022 - FINAL PAPERS - HISTORY-AB2CD-4-SET-3 papers

HISTORY-AB3CD-1-SET-1

Class 12 - 2022 - FINAL PAPERS - HISTORY-AB3CD-1-SET-1 papers

HISTORY-AB3CD-1-SET-2

Class 12 - 2022 - FINAL PAPERS - HISTORY-AB3CD-1-SET-2 papers

HISTORY-AB3CD-1-SET-3

Class 12 - 2022 - FINAL PAPERS - HISTORY-AB3CD-1-SET-3 papers

HISTORY-AB4CD-3-SET-1

Class 12 - 2022 - FINAL PAPERS - HISTORY-AB4CD-3-SET-1 papers

HISTORY-AB4CD-3-SET-2

Class 12 - 2022 - FINAL PAPERS - HISTORY-AB4CD-3-SET-2 papers

HISTORY-AB4CD-3-SET-3

Class 12 - 2022 - FINAL PAPERS - HISTORY-AB4CD-3-SET-3 papers

HISTORY-AB5CD-5-SET-1

Class 12 - 2022 - FINAL PAPERS - HISTORY-AB5CD-5-SET-1 papers

HISTORY-AB5CD-5-SET-2

Class 12 - 2022 - FINAL PAPERS - HISTORY-AB5CD-5-SET-2 papers

HISTORY-AB5CD-5-SET-3

Class 12 - 2022 - FINAL PAPERS - HISTORY-AB5CD-5-SET-3 papers

HISTORY-PUNJABI-A6BAB-C-SET-1-COMP

Class 12 - 2022 - FINAL PAPERS - HISTORY-PUNJABI-A6BAB-C-SET-1-COMP papers

HISTORY-PUNJABI-A6BAB-C-SET-2-COMP

Class 12 - 2022 - FINAL PAPERS - HISTORY-PUNJABI-A6BAB-C-SET-2-COMP papers

HISTORY-PUNJABI-A6BAB-C-SET-3-COMP

Class 12 - 2022 - FINAL PAPERS - HISTORY-PUNJABI-A6BAB-C-SET-3-COMP papers

HISTORY-PUNJABI-AB1CD-2-SET-1

Class 12 - 2022 - FINAL PAPERS - HISTORY-PUNJABI-AB1CD-2-SET-1 papers

HISTORY-PUNJABI-AB1CD-2-SET-2

Class 12 - 2022 - FINAL PAPERS - HISTORY-PUNJABI-AB1CD-2-SET-2 papers

HISTORY-PUNJABI-AB1CD-2-SET-3

Class 12 - 2022 - FINAL PAPERS - HISTORY-PUNJABI-AB1CD-2-SET-3 papers

HISTORY-URDU-A6BAB-C-SET-1-COMP

Class 12 - 2022 - FINAL PAPERS - HISTORY-URDU-A6BAB-C-SET-1-COMP papers

HISTORY-URDU-A6BAB-C-SET-2-COMP

Class 12 - 2022 - FINAL PAPERS - HISTORY-URDU-A6BAB-C-SET-2-COMP papers

HISTORY-URDU-A6BAB-C-SET-3-COMP

Class 12 - 2022 - FINAL PAPERS - HISTORY-URDU-A6BAB-C-SET-3-COMP papers

HISTORY-URDU-AB5CD-5-SET-1

Class 12 - 2022 - FINAL PAPERS - HISTORY-URDU-AB5CD-5-SET-1 papers

HISTORY-URDU-AB5CD-5-SET-2

Class 12 - 2022 - FINAL PAPERS - HISTORY-URDU-AB5CD-5-SET-2 papers

HISTORY-URDU-AB5CD-5-SET-3

Class 12 - 2022 - FINAL PAPERS - HISTORY-URDU-AB5CD-5-SET-3 papers

HOME-SCIENCE-ABA-C-SET-4-COMP

Class 12 - 2022 - FINAL PAPERS - HOME-SCIENCE-ABA-C-SET-4-COMP papers

HOME-SCIENCE-ABA-SET-4

Class 12 - 2022 - FINAL PAPERS - HOME-SCIENCE-ABA-SET-4 papers

HOME-SCIENCE-PUNJABI-ABA-SET-4

Class 12 - 2022 - FINAL PAPERS - HOME-SCIENCE-PUNJABI-ABA-SET-4 papers

HOME-SCIENCE-URDU-ABA-SET-4

Class 12 - 2022 - FINAL PAPERS - HOME-SCIENCE-URDU-ABA-SET-4 papers

HORTICULTURE-BAB-C-SET-4-COMP

Class 12 - 2022 - FINAL PAPERS - HORTICULTURE-BAB-C-SET-4-COMP papers

HORTICULTURE-BAB-SET-4

Class 12 - 2022 - FINAL PAPERS - HORTICULTURE-BAB-SET-4 papers

INFORMATICS-PRACTICES-BAB-C-SET-4-COMP

Class 12 - 2022 - FINAL PAPERS - INFORMATICS-PRACTICES-BAB-C-SET-4-COMP papers

INFORMATICS-PRACTICES-BAB-SET-4

Class 12 - 2022 - FINAL PAPERS - INFORMATICS-PRACTICES-BAB-SET-4 papers

INFORMATION-TECHNOLOGY-BAB-C-SET-4-COMP

Class 12 - 2022 - FINAL PAPERS - INFORMATION-TECHNOLOGY-BAB-C-SET-4-COMP papers

INFORMATION-TECHNOLOGY-BAB-SET-4

Class 12 - 2022 - FINAL PAPERS - INFORMATION-TECHNOLOGY-BAB-SET-4 papers

INSURANCE-BAB-C-SET-4-COMP

Class 12 - 2022 - FINAL PAPERS - INSURANCE-BAB-C-SET-4-COMP papers

INSURANCE-BAB-SET-4

Class 12 - 2022 - FINAL PAPERS - INSURANCE-BAB-SET-4 papers

JAPANESE-ABA-SET-4

Class 12 - 2022 - FINAL PAPERS - JAPANESE-ABA-SET-4 papers

KANNADA-ABA-C-SET-4-COMP

Class 12 - 2022 - FINAL PAPERS - KANNADA-ABA-C-SET-4-COMP papers

KANNADA-ABA-SET-4

Class 12 - 2022 - FINAL PAPERS - KANNADA-ABA-SET-4 papers

KASHMIRI-ABA-SET-4

Class 12 - 2022 - FINAL PAPERS - KASHMIRI-ABA-SET-4 papers

KATHAK-DANCE-BAB-SET-4

Class 12 - 2022 - FINAL PAPERS - KATHAK-DANCE-BAB-SET-4 papers

KATHAKALI-DANCE-BAB-SET-4

Class 12 - 2022 - FINAL PAPERS - KATHAKALI-DANCE-BAB-SET-4 papers

LEGAL-STUDIES-BAB-C-SET-4-COMP

Class 12 - 2022 - FINAL PAPERS - LEGAL-STUDIES-BAB-C-SET-4-COMP papers

LEGAL-STUDIES-BAB-SET-4

Class 12 - 2022 - FINAL PAPERS - LEGAL-STUDIES-BAB-SET-4 papers

LEPCHA-ABA-SET-4

Class 12 - 2022 - FINAL PAPERS - LEPCHA-ABA-SET-4 papers

LIBRARY-AND-INFORMATION-SCIENCE-BAB-C-SET-4-COMP

Class 12 - 2022 - FINAL PAPERS - LIBRARY-AND-INFORMATION-SCIENCE-BAB-C-SET-4-COMP papers

LIBRARY-AND-INFORMATION-SCIENCE-BAB-SET-4

Class 12 - 2022 - FINAL PAPERS - LIBRARY-AND-INFORMATION-SCIENCE-BAB-SET-4 papers

LIMBOO-ABA-SET-4

Class 12 - 2022 - FINAL PAPERS - LIMBOO-ABA-SET-4 papers

MALAYALAM-ABA-SET-4

Class 12 - 2022 - FINAL PAPERS - MALAYALAM-ABA-SET-4 papers

MALYALAM-ABA-C-SET-4-COMP

Class 12 - 2022 - FINAL PAPERS - MALYALAM-ABA-C-SET-4-COMP papers

MANIPURI-ABA-C-SET-4-COMP

Class 12 - 2022 - FINAL PAPERS - MANIPURI-ABA-C-SET-4-COMP papers

MANIPURI-ABA-SET-4

Class 12 - 2022 - FINAL PAPERS - MANIPURI-ABA-SET-4 papers

MARATHI-ABA-SET-4

Class 12 - 2022 - FINAL PAPERS - MARATHI-ABA-SET-4 papers

MARKETING-BAB-C-SET-4-COMP

Class 12 - 2022 - FINAL PAPERS - MARKETING-BAB-C-SET-4-COMP papers

MARKETING-BAB-SET-4

Class 12 - 2022 - FINAL PAPERS - MARKETING-BAB-SET-4 papers

MASS-MEDIA-STUDIES-BAB-C-SET-4-COMP

Class 12 - 2022 - FINAL PAPERS - MASS-MEDIA-STUDIES-BAB-C-SET-4-COMP papers

MASS-MEDIA-STUDIES-BAB-SET-4

Class 12 - 2022 - FINAL PAPERS - MASS-MEDIA-STUDIES-BAB-SET-4 papers

MATHEMATICS-A6BAB-C-SET-1-COMP

Class 12 - 2022 - FINAL PAPERS - MATHEMATICS-A6BAB-C-SET-1-COMP papers

MATHEMATICS-A6BAB-C-SET-2-COMP

Class 12 - 2022 - FINAL PAPERS - MATHEMATICS-A6BAB-C-SET-2-COMP papers

MATHEMATICS-A6BAB-C-SET-3-COMP

Class 12 - 2022 - FINAL PAPERS - MATHEMATICS-A6BAB-C-SET-3-COMP papers

MATHEMATICS-ABCD1-2-SET-1

Class 12 - 2022 - FINAL PAPERS - MATHEMATICS-ABCD1-2-SET-1 papers

MATHEMATICS-ABCD1-2-SET-2

Class 12 - 2022 - FINAL PAPERS - MATHEMATICS-ABCD1-2-SET-2 papers

MATHEMATICS-ABCD1-2-SET-3

Class 12 - 2022 - FINAL PAPERS - MATHEMATICS-ABCD1-2-SET-3 papers

MATHEMATICS-ABCD3-1-SET-1

Class 12 - 2022 - FINAL PAPERS - MATHEMATICS-ABCD3-1-SET-1 papers

MATHEMATICS-ABCD3-1-SET-2

Class 12 - 2022 - FINAL PAPERS - MATHEMATICS-ABCD3-1-SET-2 papers

MATHEMATICS-ABCD3-1-SET-3

Class 12 - 2022 - FINAL PAPERS - MATHEMATICS-ABCD3-1-SET-3 papers

MATHEMATICS-ABCD4-3-SET-1

Class 12 - 2022 - FINAL PAPERS - MATHEMATICS-ABCD4-3-SET-1 papers

MATHEMATICS-ABCD4-3-SET-2

Class 12 - 2022 - FINAL PAPERS - MATHEMATICS-ABCD4-3-SET-2 papers

MATHEMATICS-ABCD4-3-SET-3

Class 12 - 2022 - FINAL PAPERS - MATHEMATICS-ABCD4-3-SET-3 papers

MATHEMATICS-ABCD5-5-SET-1

Class 12 - 2022 - FINAL PAPERS - MATHEMATICS-ABCD5-5-SET-1 papers

MATHEMATICS-ABCD5-5-SET-2

Class 12 - 2022 - FINAL PAPERS - MATHEMATICS-ABCD5-5-SET-2 papers

MATHEMATICS-ABCD5-5-SET-3

Class 12 - 2022 - FINAL PAPERS - MATHEMATICS-ABCD5-5-SET-3 papers

MATHEMATICS-ABDC2-4-SET-1

Class 12 - 2022 - FINAL PAPERS - MATHEMATICS-ABDC2-4-SET-1 papers

MATHEMATICS-ABDC2-4-SET-2

Class 12 - 2022 - FINAL PAPERS - MATHEMATICS-ABDC2-4-SET-2 papers

MATHEMATICS-ABDC2-4-SET-3

Class 12 - 2022 - FINAL PAPERS - MATHEMATICS-ABDC2-4-SET-3 papers

MATHEMATICS-BAB-C-SET-4-BLIND-COMP

Class 12 - 2022 - FINAL PAPERS - MATHEMATICS-BAB-C-SET-4-BLIND-COMP papers

MATHEMATICS-BAB-SET-4-BLIND

Class 12 - 2022 - FINAL PAPERS - MATHEMATICS-BAB-SET-4-BLIND papers

MEDICAL-DIAGNOSTICS-ABA-SET-4

Class 12 - 2022 - FINAL PAPERS - MEDICAL-DIAGNOSTICS-ABA-SET-4 papers

MIZO-ABA-C-SET-4-COMP

Class 12 - 2022 - FINAL PAPERS - MIZO-ABA-C-SET-4-COMP papers

MIZO-ABA-SET-4

Class 12 - 2022 - FINAL PAPERS - MIZO-ABA-SET-4 papers

MULTIMEDIA-BAB-C-SET-4-COMP

Class 12 - 2022 - FINAL PAPERS - MULTIMEDIA-BAB-C-SET-4-COMP papers

MULTIMEDIA-BAB-SET-4

Class 12 - 2022 - FINAL PAPERS - MULTIMEDIA-BAB-SET-4 papers

MUSIC-HINDUSTANI-BAB-SET-4

Class 12 - 2022 - FINAL PAPERS - MUSIC-HINDUSTANI-BAB-SET-4 papers

NATIONAL-CADET-CORPS-NCC-BAB-C-SET-4-COMP

Class 12 - 2022 - FINAL PAPERS - NATIONAL-CADET-CORPS-NCC-BAB-C-SET-4-COMP papers

NATIONAL-CADET-CORPS-NCC-BAB-SET-4

Class 12 - 2022 - FINAL PAPERS - NATIONAL-CADET-CORPS-NCC-BAB-SET-4 papers

NEPALI-ABA-C-SET-4-COMP

Class 12 - 2022 - FINAL PAPERS - NEPALI-ABA-C-SET-4-COMP papers

NEPALI-ABA-SET-4

Class 12 - 2022 - FINAL PAPERS - NEPALI-ABA-SET-4 papers

ODIA-ABA-C-SET-4-COMP

Class 12 - 2022 - FINAL PAPERS - ODIA-ABA-C-SET-4-COMP papers

ODIA-ABA-SET-4

Class 12 - 2022 - FINAL PAPERS - ODIA-ABA-SET-4 papers

ODISSI-DANCE-BAB-SET-4

Class 12 - 2022 - FINAL PAPERS - ODISSI-DANCE-BAB-SET-4 papers

OFFICE-PROCEDURES-AND-PRACTICES-ABA-C-SET-4-COMP

Class 12 - 2022 - FINAL PAPERS - OFFICE-PROCEDURES-AND-PRACTICES-ABA-C-SET-4-COMP papers

OFFICE-PROCEDURES-AND-PRACTICES-ABA-SET-4

Class 12 - 2022 - FINAL PAPERS - OFFICE-PROCEDURES-AND-PRACTICES-ABA-SET-4 papers

PAINTING-HISTORY-OF-INDIAN-ART-ABA-C-SET-4-COMP

Class 12 - 2022 - FINAL PAPERS - PAINTING-HISTORY-OF-INDIAN-ART-ABA-C-SET-4-COMP papers

PAINTING-HISTORY-OF-INDIAN-ART-ABA-SET-4

Class 12 - 2022 - FINAL PAPERS - PAINTING-HISTORY-OF-INDIAN-ART-ABA-SET-4 papers

PERSIAN-ABA-SET-4

Class 12 - 2022 - FINAL PAPERS - PERSIAN-ABA-SET-4 papers

PHYSICAL-EDUCATION-BAB-C-SET-4-COMP

Class 12 - 2022 - FINAL PAPERS - PHYSICAL-EDUCATION-BAB-C-SET-4-COMP papers

PHYSICAL-EDUCATION-BAB-SET-4

Class 12 - 2022 - FINAL PAPERS - PHYSICAL-EDUCATION-BAB-SET-4 papers

PHYSICAL-EDUCATION-PUNJABI-BAB-SET-4

Class 12 - 2022 - FINAL PAPERS - PHYSICAL-EDUCATION-PUNJABI-BAB-SET-4 papers

PHYSICS-A1BAB-2-SET-1

Class 12 - 2022 - FINAL PAPERS - PHYSICS-A1BAB-2-SET-1 papers

PHYSICS-A1BAB-2-SET-3

Class 12 - 2022 - FINAL PAPERS - PHYSICS-A1BAB-2-SET-3 papers

PHYSICS-A2BAB-4-SET-1

Class 12 - 2022 - FINAL PAPERS - PHYSICS-A2BAB-4-SET-1 papers

PHYSICS-A2BAB-4-SET-2

Class 12 - 2022 - FINAL PAPERS - PHYSICS-A2BAB-4-SET-2 papers

PHYSICS-A2BAB-4-SET-3

Class 12 - 2022 - FINAL PAPERS - PHYSICS-A2BAB-4-SET-3 papers

PHYSICS-A3BAB-1-SET-2

Class 12 - 2022 - FINAL PAPERS - PHYSICS-A3BAB-1-SET-2 papers

PHYSICS-A3BAB-1-SET-3

Class 12 - 2022 - FINAL PAPERS - PHYSICS-A3BAB-1-SET-3 papers

PHYSICS-A3BAB-SET-1

Class 12 - 2022 - FINAL PAPERS - PHYSICS-A3BAB-SET-1 papers

PHYSICS-A4BAB-3-SET-1

Class 12 - 2022 - FINAL PAPERS - PHYSICS-A4BAB-3-SET-1 papers

PHYSICS-A4BAB-3-SET-2

Class 12 - 2022 - FINAL PAPERS - PHYSICS-A4BAB-3-SET-2 papers

PHYSICS-A4BAB-3-SET-3

Class 12 - 2022 - FINAL PAPERS - PHYSICS-A4BAB-3-SET-3 papers

PHYSICS-A5BAB-5-SET-1

Class 12 - 2022 - FINAL PAPERS - PHYSICS-A5BAB-5-SET-1 papers

PHYSICS-A5BAB-5-SET-2

Class 12 - 2022 - FINAL PAPERS - PHYSICS-A5BAB-5-SET-2 papers

PHYSICS-A5BAB-5-SET-3

Class 12 - 2022 - FINAL PAPERS - PHYSICS-A5BAB-5-SET-3 papers

PHYSICS-A6BAB-C-SET-1-COMP

Class 12 - 2022 - FINAL PAPERS - PHYSICS-A6BAB-C-SET-1-COMP papers

PHYSICS-A6BAB-C-SET-2-COMP

Class 12 - 2022 - FINAL PAPERS - PHYSICS-A6BAB-C-SET-2-COMP papers

PHYSICS-A6BAB-C-SET-3-COMP

Class 12 - 2022 - FINAL PAPERS - PHYSICS-A6BAB-C-SET-3-COMP papers

PHYSICS-BAB-C-SET-4-BLIND-COMP

Class 12 - 2022 - FINAL PAPERS - PHYSICS-BAB-C-SET-4-BLIND-COMP papers

PHYSICS-BAB-SET-5-BLIND

Class 12 - 2022 - FINAL PAPERS - PHYSICS-BAB-SET-5-BLIND papers

POLITICAL-SCIENCE-A6BAB-C-SET-1-COMP

Class 12 - 2022 - FINAL PAPERS - POLITICAL-SCIENCE-A6BAB-C-SET-1-COMP papers

POLITICAL-SCIENCE-A6BAB-C-SET-2-COMP

Class 12 - 2022 - FINAL PAPERS - POLITICAL-SCIENCE-A6BAB-C-SET-2-COMP papers

POLITICAL-SCIENCE-A6BAB-C-SET-3-COMP

Class 12 - 2022 - FINAL PAPERS - POLITICAL-SCIENCE-A6BAB-C-SET-3-COMP papers

POLITICAL-SCIENCE-BCDA-4-3-SET-2

Class 12 - 2022 - FINAL PAPERS - POLITICAL-SCIENCE-BCDA-4-3-SET-2 papers

POLITICAL-SCIENCE-BCDA1-2-SET-1

Class 12 - 2022 - FINAL PAPERS - POLITICAL-SCIENCE-BCDA1-2-SET-1 papers

POLITICAL-SCIENCE-BCDA1-2-SET-2

Class 12 - 2022 - FINAL PAPERS - POLITICAL-SCIENCE-BCDA1-2-SET-2 papers

POLITICAL-SCIENCE-BCDA1-2-SET-3

Class 12 - 2022 - FINAL PAPERS - POLITICAL-SCIENCE-BCDA1-2-SET-3 papers

POLITICAL-SCIENCE-BCDA2-4-SET-1

Class 12 - 2022 - FINAL PAPERS - POLITICAL-SCIENCE-BCDA2-4-SET-1 papers

POLITICAL-SCIENCE-BCDA2-4-SET-2

Class 12 - 2022 - FINAL PAPERS - POLITICAL-SCIENCE-BCDA2-4-SET-2 papers

POLITICAL-SCIENCE-BCDA2-4-SET-3

Class 12 - 2022 - FINAL PAPERS - POLITICAL-SCIENCE-BCDA2-4-SET-3 papers

POLITICAL-SCIENCE-BCDA3-1-SET-1

Class 12 - 2022 - FINAL PAPERS - POLITICAL-SCIENCE-BCDA3-1-SET-1 papers

POLITICAL-SCIENCE-BCDA3-1-SET-2

Class 12 - 2022 - FINAL PAPERS - POLITICAL-SCIENCE-BCDA3-1-SET-2 papers

POLITICAL-SCIENCE-BCDA3-1-SET-3

Class 12 - 2022 - FINAL PAPERS - POLITICAL-SCIENCE-BCDA3-1-SET-3 papers

POLITICAL-SCIENCE-BCDA4-3-SET-1

Class 12 - 2022 - FINAL PAPERS - POLITICAL-SCIENCE-BCDA4-3-SET-1 papers

POLITICAL-SCIENCE-BCDA4-3-SET-2

Class 12 - 2022 - FINAL PAPERS - POLITICAL-SCIENCE-BCDA4-3-SET-2 papers

POLITICAL-SCIENCE-BCDA4-3-SET-3

Class 12 - 2022 - FINAL PAPERS - POLITICAL-SCIENCE-BCDA4-3-SET-3 papers

POLITICAL-SCIENCE-BCDA5-5-SET-1

Class 12 - 2022 - FINAL PAPERS - POLITICAL-SCIENCE-BCDA5-5-SET-1 papers

POLITICAL-SCIENCE-BCDA5-5-SET-2

Class 12 - 2022 - FINAL PAPERS - POLITICAL-SCIENCE-BCDA5-5-SET-2 papers

POLITICAL-SCIENCE-BCDA5-5-SET-3

Class 12 - 2022 - FINAL PAPERS - POLITICAL-SCIENCE-BCDA5-5-SET-3 papers

POLITICAL-SCIENCE-PUNJABI-A6BAB-C-SET-1-COMP

Class 12 - 2022 - FINAL PAPERS - POLITICAL-SCIENCE-PUNJABI-A6BAB-C-SET-1-COMP papers

POLITICAL-SCIENCE-PUNJABI-A6BAB-C-SET-2-COMP

Class 12 - 2022 - FINAL PAPERS - POLITICAL-SCIENCE-PUNJABI-A6BAB-C-SET-2-COMP papers

POLITICAL-SCIENCE-PUNJABI-A6BAB-C-SET-3-COMP

Class 12 - 2022 - FINAL PAPERS - POLITICAL-SCIENCE-PUNJABI-A6BAB-C-SET-3-COMP papers

POLITICAL-SCIENCE-PUNJABI-BCDA1-2-SET-1

Class 12 - 2022 - FINAL PAPERS - POLITICAL-SCIENCE-PUNJABI-BCDA1-2-SET-1 papers

POLITICAL-SCIENCE-PUNJABI-BCDA1-2-SET-2

Class 12 - 2022 - FINAL PAPERS - POLITICAL-SCIENCE-PUNJABI-BCDA1-2-SET-2 papers

POLITICAL-SCIENCE-PUNJABI-BCDA1-2-SET-3

Class 12 - 2022 - FINAL PAPERS - POLITICAL-SCIENCE-PUNJABI-BCDA1-2-SET-3 papers

POLITICAL-SCIENCE-URDU-BCDA5-5-SET-1

Class 12 - 2022 - FINAL PAPERS - POLITICAL-SCIENCE-URDU-BCDA5-5-SET-1 papers

POLITICAL-SCIENCE-URDU-BCDA5-5-SET-2

Class 12 - 2022 - FINAL PAPERS - POLITICAL-SCIENCE-URDU-BCDA5-5-SET-2 papers

POLITICAL-SCIENCE-URDU-BCDA5-5-SET-3

Class 12 - 2022 - FINAL PAPERS - POLITICAL-SCIENCE-URDU-BCDA5-5-SET-3 papers

POLOTICAL-SCIENCE-URDU-A6BAB-C-SET-1-COMP

Class 12 - 2022 - FINAL PAPERS - POLOTICAL-SCIENCE-URDU-A6BAB-C-SET-1-COMP papers

POLOTICAL-SCIENCE-URDU-A6BAB-C-SET-2-COMP

Class 12 - 2022 - FINAL PAPERS - POLOTICAL-SCIENCE-URDU-A6BAB-C-SET-2-COMP papers

POLOTICAL-SCIENCE-URDU-A6BAB-C-SET-3-COMP

Class 12 - 2022 - FINAL PAPERS - POLOTICAL-SCIENCE-URDU-A6BAB-C-SET-3-COMP papers

PSYCHOLOGY-ABA-C-SET-4-COMP

Class 12 - 2022 - FINAL PAPERS - PSYCHOLOGY-ABA-C-SET-4-COMP papers

PSYCHOLOGY-ABA-SET-4

Class 12 - 2022 - FINAL PAPERS - PSYCHOLOGY-ABA-SET-4 papers

PUNJABI-ABA-C-SET-4-COMP

Class 12 - 2022 - FINAL PAPERS - PUNJABI-ABA-C-SET-4-COMP papers

PUNJABI-ABA-SET-4

Class 12 - 2022 - FINAL PAPERS - PUNJABI-ABA-SET-4 papers

RETAIL-BAB-C-SET-4-COMP

Class 12 - 2022 - FINAL PAPERS - RETAIL-BAB-C-SET-4-COMP papers

RETAIL-BAB-SET-4

Class 12 - 2022 - FINAL PAPERS - RETAIL-BAB-SET-4 papers

RUSSIAN-ABA-SET-4

Class 12 - 2022 - FINAL PAPERS - RUSSIAN-ABA-SET-4 papers

SALESMANSHIP-ABA-C-SET-4-COMP

Class 12 - 2022 - FINAL PAPERS - SALESMANSHIP-ABA-C-SET-4-COMP papers

SALESMANSHIP-ABA-SET-4

Class 12 - 2022 - FINAL PAPERS - SALESMANSHIP-ABA-SET-4 papers

SANSKRIT-CORE-BAB-C-SET-4-COMP

Class 12 - 2022 - FINAL PAPERS - SANSKRIT-CORE-BAB-C-SET-4-COMP papers

SANSKRIT-CORE-BAB-SET-4

Class 12 - 2022 - FINAL PAPERS - SANSKRIT-CORE-BAB-SET-4 papers

SANSKRIT-ELECTIVE-BAB-C-SET-4-COMP

Class 12 - 2022 - FINAL PAPERS - SANSKRIT-ELECTIVE-BAB-C-SET-4-COMP papers

SANSKRIT-ELECTIVE-BAB-SET-4

Class 12 - 2022 - FINAL PAPERS - SANSKRIT-ELECTIVE-BAB-SET-4 papers

SCULPTURE-ABA-C-SET-4-COMP

Class 12 - 2022 - FINAL PAPERS - SCULPTURE-ABA-C-SET-4-COMP papers

SCULPTURE-ABA-SET-4

Class 12 - 2022 - FINAL PAPERS - SCULPTURE-ABA-SET-4 papers

SHOPRTHAND-HINDI-BAB-C-SET-4-COMP

Class 12 - 2022 - FINAL PAPERS - SHOPRTHAND-HINDI-BAB-C-SET-4-COMP papers

SHORTHAND-ENGLISH-BAB-C-SET-4-COMP

Class 12 - 2022 - FINAL PAPERS - SHORTHAND-ENGLISH-BAB-C-SET-4-COMP papers

SHORTHAND-ENGLISH-BAB-SET-4

Class 12 - 2022 - FINAL PAPERS - SHORTHAND-ENGLISH-BAB-SET-4 papers

SINDHI-ABA-SET-4

Class 12 - 2022 - FINAL PAPERS - SINDHI-ABA-SET-4 papers

SOCIOLOGY-BAB-C-SET-4-COMP

Class 12 - 2022 - FINAL PAPERS - SOCIOLOGY-BAB-C-SET-4-COMP papers

SOCIOLOGY-BAB-SET-4

Class 12 - 2022 - FINAL PAPERS - SOCIOLOGY-BAB-SET-4 papers

SPANISH-ABA-SET-4

Class 12 - 2022 - FINAL PAPERS - SPANISH-ABA-SET-4 papers

TAMIL-ABA-C-SET-4-COMP

Class 12 - 2022 - FINAL PAPERS - TAMIL-ABA-C-SET-4-COMP papers

TAMIL-ABA-SET-4

Class 12 - 2022 - FINAL PAPERS - TAMIL-ABA-SET-4 papers

TANGKHUL-ABA-SET-4

Class 12 - 2022 - FINAL PAPERS - TANGKHUL-ABA-SET-4 papers

TAXATION-BAB-C-SET-4-COMP

Class 12 - 2022 - FINAL PAPERS - TAXATION-BAB-C-SET-4-COMP papers

TAXATION-BAB-SET-4

Class 12 - 2022 - FINAL PAPERS - TAXATION-BAB-SET-4 papers

TELUGU-ABA-SET-4

Class 12 - 2022 - FINAL PAPERS - TELUGU-ABA-SET-4 papers

TELUGU-TELANGANA-ABA-SET-4

Class 12 - 2022 - FINAL PAPERS - TELUGU-TELANGANA-ABA-SET-4 papers

TEXTILE-DESIGN-BAB-SET-4

Class 12 - 2022 - FINAL PAPERS - TEXTILE-DESIGN-BAB-SET-4 papers

TIBETAN-ABA-SET-4

Class 12 - 2022 - FINAL PAPERS - TIBETAN-ABA-SET-4 papers

TOURISM-ABA-C-SET-4-COMP

Class 12 - 2022 - FINAL PAPERS - TOURISM-ABA-C-SET-4-COMP papers

TOURISM-ABA-SET-4

Class 12 - 2022 - FINAL PAPERS - TOURISM-ABA-SET-4 papers

TYPOGRAPHY-AND-COMPUTER-APPLICATIONS-ABA-C-SET-4-COMP

Class 12 - 2022 - FINAL PAPERS - TYPOGRAPHY-AND-COMPUTER-APPLICATIONS-ABA-C-SET-4-COMP papers

TYPOGRAPHY-AND-COMPUTER-APPLICATIONS-ABA-SET-4

Class 12 - 2022 - FINAL PAPERS - TYPOGRAPHY-AND-COMPUTER-APPLICATIONS-ABA-SET-4 papers

URDU-CORE-BAB-C-SET-4-COMP

Class 12 - 2022 - FINAL PAPERS - URDU-CORE-BAB-C-SET-4-COMP papers

URDU-CORE-BAB-SET-4

Class 12 - 2022 - FINAL PAPERS - URDU-CORE-BAB-SET-4 papers

URDU-ELECTIVE-BAB-C-SET-4-COMP

Class 12 - 2022 - FINAL PAPERS - URDU-ELECTIVE-BAB-C-SET-4-COMP papers

URDU-ELECTIVE-BAB-SET-4

Class 12 - 2022 - FINAL PAPERS - URDU-ELECTIVE-BAB-SET-4 papers

WEB-APPLICATIONS-BAB-C-SET-4-COMP

Class 12 - 2022 - FINAL PAPERS - WEB-APPLICATIONS-BAB-C-SET-4-COMP papers

WEB-APPLICATIONS-BAB-SET-4

Class 12 - 2022 - FINAL PAPERS - WEB-APPLICATIONS-BAB-SET-4 papers

YOGA-365-SET-A

Class 12 - 2022 - FINAL PAPERS - YOGA-365-SET-A papers

YOGA-ABA-C-SET-4-COMP

Class 12 - 2022 - FINAL PAPERS - YOGA-ABA-C-SET-4-COMP papers

YOGA-ABA-SET-4

Class 12 - 2022 - FINAL PAPERS - YOGA-ABA-SET-4 papers