Skip to main content

Class 11 2017 HALF YEARLY PAPERS HY-INFORMATICS-PRACTICE Question Papers

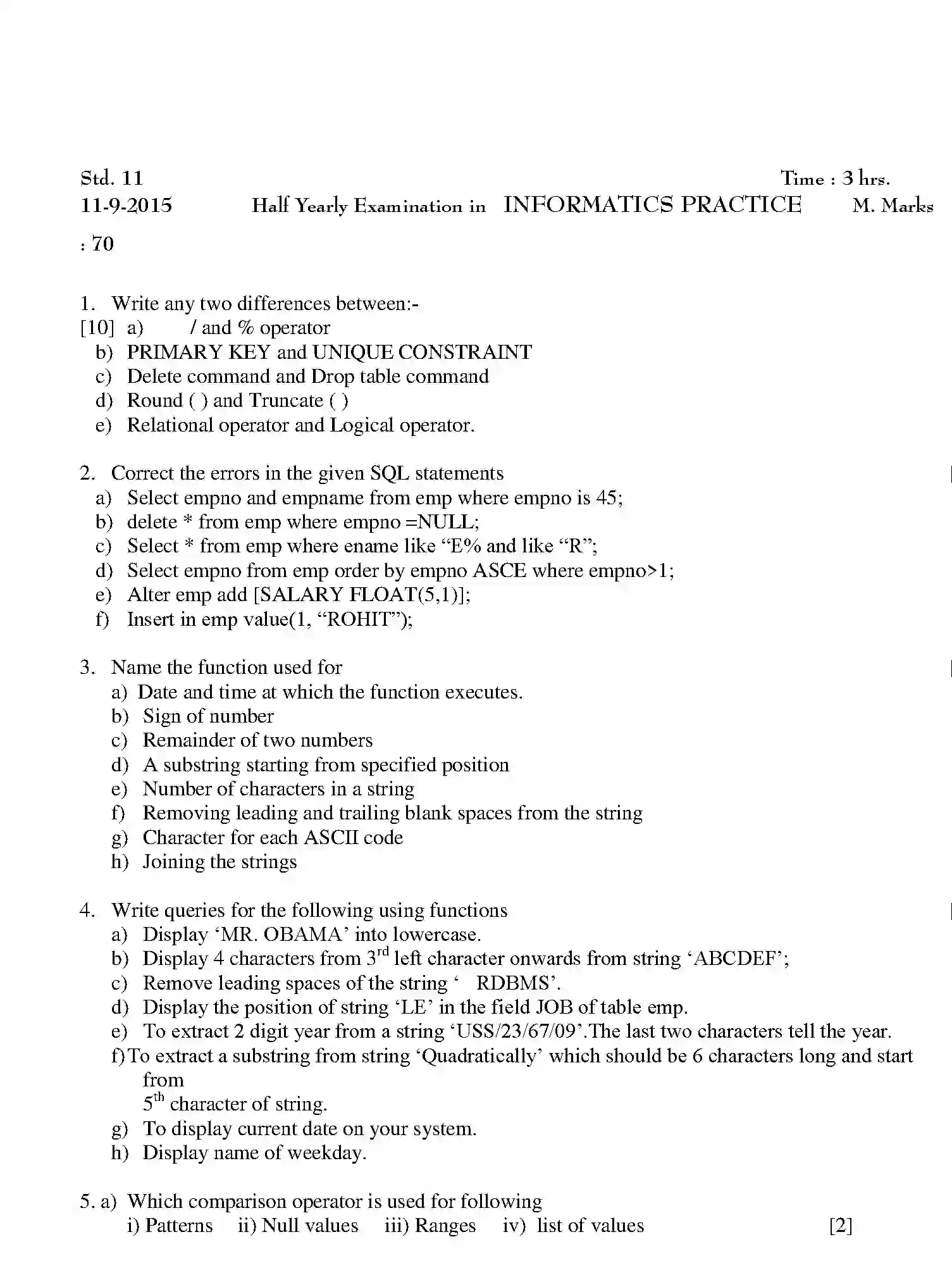
View all pages of the question paper below.

CBSE PYQ Class 11 2017 HALF YEARLY PAPERS HY-INFORMATICS-PRACTICE Information

Board CBSE (Central Board of Secondary Education)
Class Class 11
Year Year 2017
Category HALF YEARLY PAPERS
Subject Year HY-INFORMATICS-PRACTICE
About This Paper This examination paper was conducted by CBSE in 2017 for the subject HY-INFORMATICS-PRACTICE of class 11.
CBSE-Class-11-Previous-Year-Question-Papers-HY-INFORMATICS-PRACTICE-Page-1 Image
CBSE-Class-11-Previous-Year-Question-Papers-HY-INFORMATICS-PRACTICE-Page-2 Image
CBSE-Class-11-Previous-Year-Question-Papers-HY-INFORMATICS-PRACTICE-Page-3 Image
CBSE-Class-11-Previous-Year-Question-Papers-HY-INFORMATICS-PRACTICE-Page-4 Image

Other CBSE Previous Year Question Papers for Class 11 - HALF YEARLY PAPERS released in 2017

Browse other subjects available for the same class, category, and year.