Skip to main content

Class 11 2017 FINAL PAPERS INFORMATICS-PRACTICES Question Papers

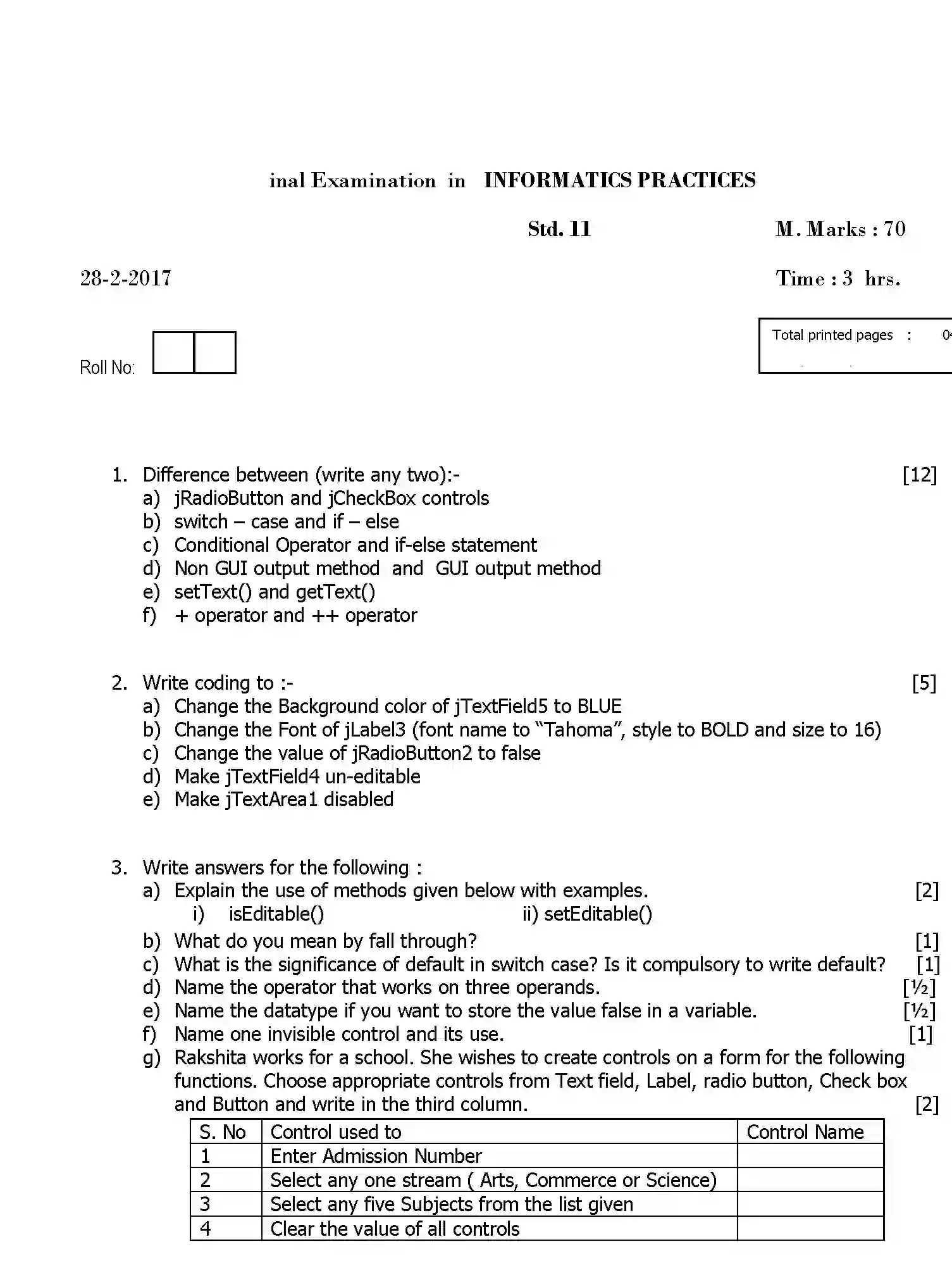
View all pages of the question paper below.

CBSE PYQ Class 11 2017 FINAL PAPERS INFORMATICS-PRACTICES Information

Board CBSE (Central Board of Secondary Education)
Class Class 11
Year Year 2017
Category FINAL PAPERS
Subject Year INFORMATICS-PRACTICES
About This Paper This examination paper was conducted by CBSE in 2017 for the subject INFORMATICS-PRACTICES of class 11.
CBSE-Class-11-Previous-Year-Question-Papers-INFORMATICS-PRACTICES-Page-1 Image
CBSE-Class-11-Previous-Year-Question-Papers-INFORMATICS-PRACTICES-Page-2 Image
CBSE-Class-11-Previous-Year-Question-Papers-INFORMATICS-PRACTICES-Page-3 Image
CBSE-Class-11-Previous-Year-Question-Papers-INFORMATICS-PRACTICES-Page-4 Image
CBSE-Class-11-Previous-Year-Question-Papers-INFORMATICS-PRACTICES-Page-5 Image
CBSE-Class-11-Previous-Year-Question-Papers-INFORMATICS-PRACTICES-Page-6 Image
CBSE-Class-11-Previous-Year-Question-Papers-INFORMATICS-PRACTICES-Page-7 Image
CBSE-Class-11-Previous-Year-Question-Papers-INFORMATICS-PRACTICES-Page-8 Image

Other CBSE Previous Year Question Papers for Class 11 - FINAL PAPERS released in 2017

Browse other subjects available for the same class, category, and year.