Skip to main content

Class 11 2016 UNIT TEST PAPERS UT1-ENGLISH Question Papers

View all pages of the question paper below.

CBSE PYQ Class 11 2016 UNIT TEST PAPERS UT1-ENGLISH Information

Board CBSE (Central Board of Secondary Education)
Class Class 11
Year Year 2016
Category UNIT TEST PAPERS
Subject Year UT1-ENGLISH
About This Paper This examination paper was conducted by CBSE in 2016 for the subject UT1-ENGLISH of class 11.
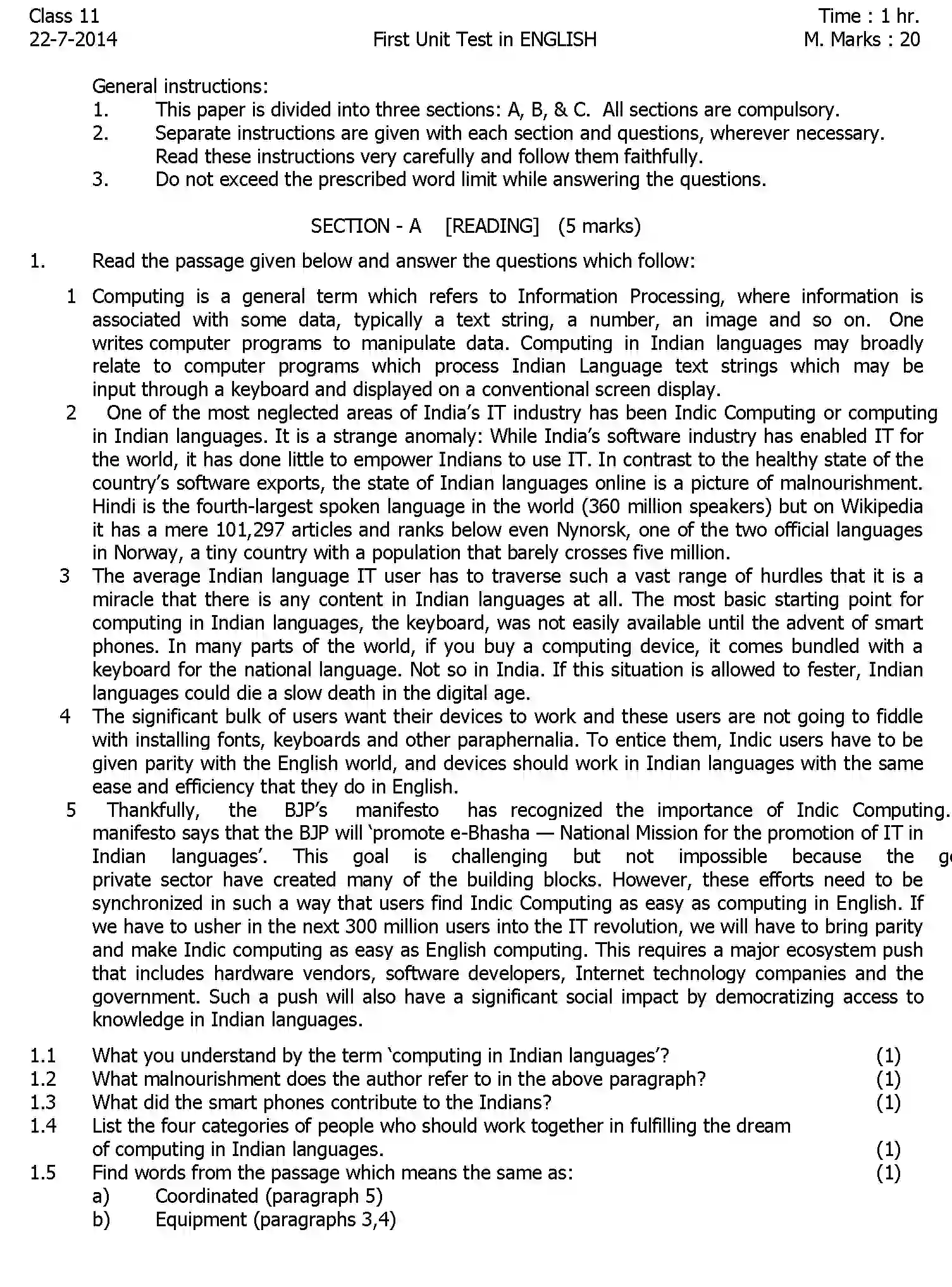
CBSE-Class-11-Previous-Year-Question-Papers-UT1-ENGLISH-Page-1 Image
CBSE-Class-11-Previous-Year-Question-Papers-UT1-ENGLISH-Page-2 Image

Other CBSE Previous Year Question Papers for Class 11 - UNIT TEST PAPERS released in 2016

Browse other subjects available for the same class, category, and year.

UT1-ACCOUNTANCY

Class 11 - 2016 - UNIT TEST PAPERS - UT1-ACCOUNTANCY papers

UT1-BIOLOGY

Class 11 - 2016 - UNIT TEST PAPERS - UT1-BIOLOGY papers

UT1-BUSINESS-STUDIES

Class 11 - 2016 - UNIT TEST PAPERS - UT1-BUSINESS-STUDIES papers

UT1-CHEMISTRY

Class 11 - 2016 - UNIT TEST PAPERS - UT1-CHEMISTRY papers

UT1-COMPUTER-SCIENCE

Class 11 - 2016 - UNIT TEST PAPERS - UT1-COMPUTER-SCIENCE papers

UT1-ECONOMICS

Class 11 - 2016 - UNIT TEST PAPERS - UT1-ECONOMICS papers

UT1-INFORMATICS-PRACTICES

Class 11 - 2016 - UNIT TEST PAPERS - UT1-INFORMATICS-PRACTICES papers

UT1-MATHEMATICS

Class 11 - 2016 - UNIT TEST PAPERS - UT1-MATHEMATICS papers

UT1-PHYSICS

Class 11 - 2016 - UNIT TEST PAPERS - UT1-PHYSICS papers

UT1-POLITICAL-SCIENCE

Class 11 - 2016 - UNIT TEST PAPERS - UT1-POLITICAL-SCIENCE papers

UT2-ACCOUNTANCY

Class 11 - 2016 - UNIT TEST PAPERS - UT2-ACCOUNTANCY papers

UT2-BIOLOGY

Class 11 - 2016 - UNIT TEST PAPERS - UT2-BIOLOGY papers

UT2-BUSINESS-STUDIES

Class 11 - 2016 - UNIT TEST PAPERS - UT2-BUSINESS-STUDIES papers

UT2-CHEMISTRY

Class 11 - 2016 - UNIT TEST PAPERS - UT2-CHEMISTRY papers

UT2-COMPUTER-SCIENCE

Class 11 - 2016 - UNIT TEST PAPERS - UT2-COMPUTER-SCIENCE papers

UT2-ECONOMICS

Class 11 - 2016 - UNIT TEST PAPERS - UT2-ECONOMICS papers

UT2-HISTORY

Class 11 - 2016 - UNIT TEST PAPERS - UT2-HISTORY papers

UT2-INFORMATICS-PRACTICE

Class 11 - 2016 - UNIT TEST PAPERS - UT2-INFORMATICS-PRACTICE papers

UT2-MATHEMATICS

Class 11 - 2016 - UNIT TEST PAPERS - UT2-MATHEMATICS papers

UT2-PHYSICAL-EDUCATION

Class 11 - 2016 - UNIT TEST PAPERS - UT2-PHYSICAL-EDUCATION papers

UT2-PHYSICS

Class 11 - 2016 - UNIT TEST PAPERS - UT2-PHYSICS papers