Skip to main content

Class 10 2025 FINAL PAPERS MATHEMATICS-BASIC-H4EFG-SET-3 Question Papers

View all pages of the question paper below.

CBSE PYQ Class 10 2025 FINAL PAPERS MATHEMATICS-BASIC-H4EFG-SET-3 Information

Board CBSE (Central Board of Secondary Education)
Class Class 10
Year Year 2025
Category FINAL PAPERS
Subject Year MATHEMATICS-BASIC-H4EFG-SET-3
About This Paper This examination paper was conducted by CBSE in 2025 for the subject MATHEMATICS-BASIC-H4EFG-SET-3 of class 10.
CBSE-Class-10-Previous-Year-Question-Papers-MATHEMATICS-BASIC-H4EFG-SET-3-Page-1 Image
CBSE-Class-10-Previous-Year-Question-Papers-MATHEMATICS-BASIC-H4EFG-SET-3-Page-2 Image
CBSE-Class-10-Previous-Year-Question-Papers-MATHEMATICS-BASIC-H4EFG-SET-3-Page-3 Image
CBSE-Class-10-Previous-Year-Question-Papers-MATHEMATICS-BASIC-H4EFG-SET-3-Page-4 Image
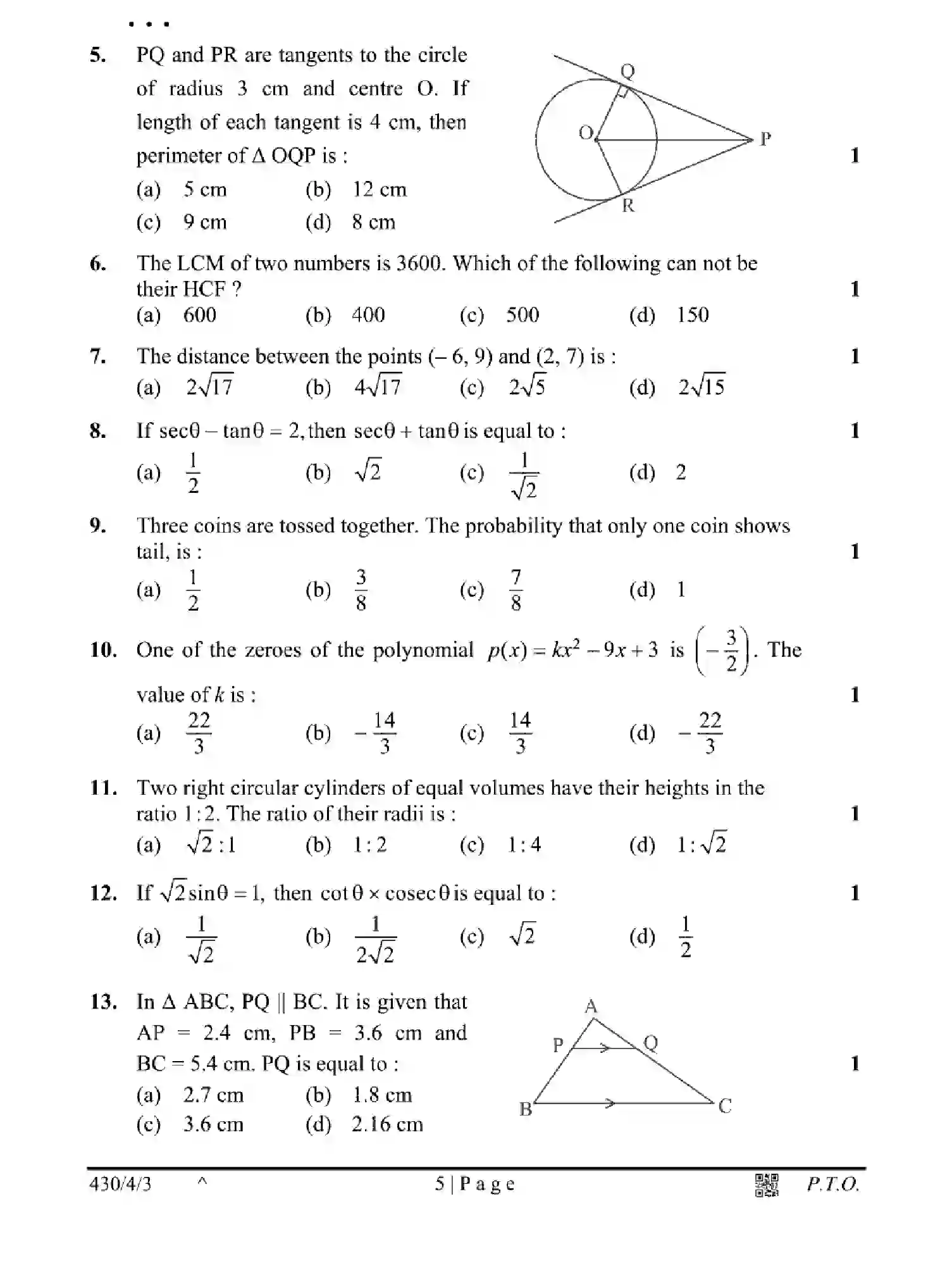
CBSE-Class-10-Previous-Year-Question-Papers-MATHEMATICS-BASIC-H4EFG-SET-3-Page-5 Image
CBSE-Class-10-Previous-Year-Question-Papers-MATHEMATICS-BASIC-H4EFG-SET-3-Page-6 Image
CBSE-Class-10-Previous-Year-Question-Papers-MATHEMATICS-BASIC-H4EFG-SET-3-Page-7 Image
CBSE-Class-10-Previous-Year-Question-Papers-MATHEMATICS-BASIC-H4EFG-SET-3-Page-8 Image
CBSE-Class-10-Previous-Year-Question-Papers-MATHEMATICS-BASIC-H4EFG-SET-3-Page-9 Image
CBSE-Class-10-Previous-Year-Question-Papers-MATHEMATICS-BASIC-H4EFG-SET-3-Page-10 Image
CBSE-Class-10-Previous-Year-Question-Papers-MATHEMATICS-BASIC-H4EFG-SET-3-Page-11 Image
CBSE-Class-10-Previous-Year-Question-Papers-MATHEMATICS-BASIC-H4EFG-SET-3-Page-12 Image
CBSE-Class-10-Previous-Year-Question-Papers-MATHEMATICS-BASIC-H4EFG-SET-3-Page-13 Image
CBSE-Class-10-Previous-Year-Question-Papers-MATHEMATICS-BASIC-H4EFG-SET-3-Page-14 Image
CBSE-Class-10-Previous-Year-Question-Papers-MATHEMATICS-BASIC-H4EFG-SET-3-Page-15 Image

Other CBSE Previous Year Question Papers for Class 10 - FINAL PAPERS released in 2025

Browse other subjects available for the same class, category, and year.

AGRICULTURE-HF1EG-SET-4

Class 10 - 2025 - FINAL PAPERS - AGRICULTURE-HF1EG-SET-4 papers

APPAREL-HF1EG-SET-4

Class 10 - 2025 - FINAL PAPERS - APPAREL-HF1EG-SET-4 papers

ARABIC-EFGH-S-SET-4

Class 10 - 2025 - FINAL PAPERS - ARABIC-EFGH-S-SET-4 papers

ARABIC-GEF1H-SET-4

Class 10 - 2025 - FINAL PAPERS - ARABIC-GEF1H-SET-4 papers

ARTIFICIAL-INTELLIGENCE-EFGH-S-SET-4

Class 10 - 2025 - FINAL PAPERS - ARTIFICIAL-INTELLIGENCE-EFGH-S-SET-4 papers

ARTIFICIAL-INTELLIGENCE-GE1FH-SET-4

Class 10 - 2025 - FINAL PAPERS - ARTIFICIAL-INTELLIGENCE-GE1FH-SET-4 papers

ASSAMESE-EFGH-S-SET-4

Class 10 - 2025 - FINAL PAPERS - ASSAMESE-EFGH-S-SET-4 papers

ASSAMESE-HGFE1-SET-4

Class 10 - 2025 - FINAL PAPERS - ASSAMESE-HGFE1-SET-4 papers

AUTOMOTIVE-EFGH-S-SET-4

Class 10 - 2025 - FINAL PAPERS - AUTOMOTIVE-EFGH-S-SET-4 papers

AUTOMOTIVE-HF1EG-SET-4

Class 10 - 2025 - FINAL PAPERS - AUTOMOTIVE-HF1EG-SET-4 papers

BAHASA-MELAYU-HF1EG-SET-4

Class 10 - 2025 - FINAL PAPERS - BAHASA-MELAYU-HF1EG-SET-4 papers

BANKING-AND-INSURANCE-HF1EG-SET-4

Class 10 - 2025 - FINAL PAPERS - BANKING-AND-INSURANCE-HF1EG-SET-4 papers

BEAUTY-AND-WELLNESS-HF1EG-SET-4

Class 10 - 2025 - FINAL PAPERS - BEAUTY-AND-WELLNESS-HF1EG-SET-4 papers

BENGALI-HF1EG-SET-4

Class 10 - 2025 - FINAL PAPERS - BENGALI-HF1EG-SET-4 papers

BHOTI-EFGH-S-SET-4

Class 10 - 2025 - FINAL PAPERS - BHOTI-EFGH-S-SET-4 papers

BHOTI-HF1EG-SET-4

Class 10 - 2025 - FINAL PAPERS - BHOTI-HF1EG-SET-4 papers

BHUTIA-HF1EG-SET-4

Class 10 - 2025 - FINAL PAPERS - BHUTIA-HF1EG-SET-4 papers

BODO-HF1EG-SET-4

Class 10 - 2025 - FINAL PAPERS - BODO-HF1EG-SET-4 papers

CARNATIC-MUSIC-MELODIC-INSTRUMENTS-GEF1H-SET-4

Class 10 - 2025 - FINAL PAPERS - CARNATIC-MUSIC-MELODIC-INSTRUMENTS-GEF1H-SET-4 papers

CARNATIC-MUSIC-PERCUSSION-INSTRUMENTS-GEF1H-SET-4

Class 10 - 2025 - FINAL PAPERS - CARNATIC-MUSIC-PERCUSSION-INSTRUMENTS-GEF1H-SET-4 papers

CARNATIC-MUSIC-VOCAL-GEF1H-SET-4

Class 10 - 2025 - FINAL PAPERS - CARNATIC-MUSIC-VOCAL-GEF1H-SET-4 papers

COMPUTER-APPLICATION-EFGH-S-SET-4

Class 10 - 2025 - FINAL PAPERS - COMPUTER-APPLICATION-EFGH-S-SET-4 papers

COMPUTER-APPLICATIONS-GE1FH-SET-4

Class 10 - 2025 - FINAL PAPERS - COMPUTER-APPLICATIONS-GE1FH-SET-4 papers

DATA-SCIENCE-HF1EG-SET-4

Class 10 - 2025 - FINAL PAPERS - DATA-SCIENCE-HF1EG-SET-4 papers

DESIGN-THINKING-AND-INNOVATION-HF1EG-SET-4

Class 10 - 2025 - FINAL PAPERS - DESIGN-THINKING-AND-INNOVATION-HF1EG-SET-4 papers

ELECTRONICS-AND-HARDWARE-HF1EG-SET-4

Class 10 - 2025 - FINAL PAPERS - ELECTRONICS-AND-HARDWARE-HF1EG-SET-4 papers

ELEMENTS-OF-BOOK-KEEPING-AND-ACCOUNTANCY-1EGFH-SET-4

Class 10 - 2025 - FINAL PAPERS - ELEMENTS-OF-BOOK-KEEPING-AND-ACCOUNTANCY-1EGFH-SET-4 papers

ELEMENTS-OF-BUSINESS-1GEFH-SET-4

Class 10 - 2025 - FINAL PAPERS - ELEMENTS-OF-BUSINESS-1GEFH-SET-4 papers

ENGLISH-COMMUNICATIVE-EFGH-S-SET-4

Class 10 - 2025 - FINAL PAPERS - ENGLISH-COMMUNICATIVE-EFGH-S-SET-4 papers

ENGLISH-COMMUNICATIVE-HF1EG-SET-4

Class 10 - 2025 - FINAL PAPERS - ENGLISH-COMMUNICATIVE-HF1EG-SET-4 papers

ENGLISH-EFG6H-SET-2

Class 10 - 2025 - FINAL PAPERS - ENGLISH-EFG6H-SET-2 papers

ENGLISH-LANGUAGE-AND-LITERATURE-2FEHG-SET-1

Class 10 - 2025 - FINAL PAPERS - ENGLISH-LANGUAGE-AND-LITERATURE-2FEHG-SET-1 papers

ENGLISH-LANGUAGE-AND-LITERATURE-2FEHG-SET-2

Class 10 - 2025 - FINAL PAPERS - ENGLISH-LANGUAGE-AND-LITERATURE-2FEHG-SET-2 papers

ENGLISH-LANGUAGE-AND-LITERATURE-2FEHG-SET-3

Class 10 - 2025 - FINAL PAPERS - ENGLISH-LANGUAGE-AND-LITERATURE-2FEHG-SET-3 papers

ENGLISH-LANGUAGE-AND-LITERATURE-4GHEF-SET-1

Class 10 - 2025 - FINAL PAPERS - ENGLISH-LANGUAGE-AND-LITERATURE-4GHEF-SET-1 papers

ENGLISH-LANGUAGE-AND-LITERATURE-4GHEF-SET-2

Class 10 - 2025 - FINAL PAPERS - ENGLISH-LANGUAGE-AND-LITERATURE-4GHEF-SET-2 papers

ENGLISH-LANGUAGE-AND-LITERATURE-4GHEF-SET-3

Class 10 - 2025 - FINAL PAPERS - ENGLISH-LANGUAGE-AND-LITERATURE-4GHEF-SET-3 papers

ENGLISH-LANGUAGE-AND-LITERATURE-5FGEH-SET-1

Class 10 - 2025 - FINAL PAPERS - ENGLISH-LANGUAGE-AND-LITERATURE-5FGEH-SET-1 papers

ENGLISH-LANGUAGE-AND-LITERATURE-EFG6H-SET-1

Class 10 - 2025 - FINAL PAPERS - ENGLISH-LANGUAGE-AND-LITERATURE-EFG6H-SET-1 papers

ENGLISH-LANGUAGE-AND-LITERATURE-EFG6H-SET-2

Class 10 - 2025 - FINAL PAPERS - ENGLISH-LANGUAGE-AND-LITERATURE-EFG6H-SET-2 papers

ENGLISH-LANGUAGE-AND-LITERATURE-EFG6H-SET-3

Class 10 - 2025 - FINAL PAPERS - ENGLISH-LANGUAGE-AND-LITERATURE-EFG6H-SET-3 papers

ENGLISH-LANGUAGE-AND-LITERATURE-EFGH-S-SET-1

Class 10 - 2025 - FINAL PAPERS - ENGLISH-LANGUAGE-AND-LITERATURE-EFGH-S-SET-1 papers

ENGLISH-LANGUAGE-AND-LITERATURE-EFGH-S-SET-2

Class 10 - 2025 - FINAL PAPERS - ENGLISH-LANGUAGE-AND-LITERATURE-EFGH-S-SET-2 papers

ENGLISH-LANGUAGE-AND-LITERATURE-EFGH-S-SET-3

Class 10 - 2025 - FINAL PAPERS - ENGLISH-LANGUAGE-AND-LITERATURE-EFGH-S-SET-3 papers

ENGLISH-LANGUAGE-AND-LITERATURE-F3HGE-SET-1

Class 10 - 2025 - FINAL PAPERS - ENGLISH-LANGUAGE-AND-LITERATURE-F3HGE-SET-1 papers

ENGLISH-LANGUAGE-AND-LITERATURE-F3HGE-SET-2

Class 10 - 2025 - FINAL PAPERS - ENGLISH-LANGUAGE-AND-LITERATURE-F3HGE-SET-2 papers

ENGLISH-LANGUAGE-AND-LITERATURE-F3HGE-SET-3

Class 10 - 2025 - FINAL PAPERS - ENGLISH-LANGUAGE-AND-LITERATURE-F3HGE-SET-3 papers

ENGLISH-LANGUAGE-AND-LITERATURE-HF1EG-SET-1

Class 10 - 2025 - FINAL PAPERS - ENGLISH-LANGUAGE-AND-LITERATURE-HF1EG-SET-1 papers

ENGLISH-LANGUAGE-AND-LITERATURE-HF1EG-SET-2

Class 10 - 2025 - FINAL PAPERS - ENGLISH-LANGUAGE-AND-LITERATURE-HF1EG-SET-2 papers

ENGLISH-LANGUAGE-AND-LITERATURE-HF1EG-SET-3

Class 10 - 2025 - FINAL PAPERS - ENGLISH-LANGUAGE-AND-LITERATURE-HF1EG-SET-3 papers

FOOD-PRODUCTION-EFGH-S-SET-4

Class 10 - 2025 - FINAL PAPERS - FOOD-PRODUCTION-EFGH-S-SET-4 papers

FOOD-PRODUCTION-HF1EG-SET-4

Class 10 - 2025 - FINAL PAPERS - FOOD-PRODUCTION-HF1EG-SET-4 papers

FOUNDATION-SKILLS-FOR-SCIENCES-HF1EG-SET-4

Class 10 - 2025 - FINAL PAPERS - FOUNDATION-SKILLS-FOR-SCIENCES-HF1EG-SET-4 papers

FRENCH-1GEFH-SET-4

Class 10 - 2025 - FINAL PAPERS - FRENCH-1GEFH-SET-4 papers

FRENCH-EFGH-S-SET-4

Class 10 - 2025 - FINAL PAPERS - FRENCH-EFGH-S-SET-4 papers

FRONT-OFFICE-OPERATIONS-HF1EG-SET-4

Class 10 - 2025 - FINAL PAPERS - FRONT-OFFICE-OPERATIONS-HF1EG-SET-4 papers

GERMAN-HF1EG-SET-4

Class 10 - 2025 - FINAL PAPERS - GERMAN-HF1EG-SET-4 papers

GUJARATI-EFGH-S-SET-4

Class 10 - 2025 - FINAL PAPERS - GUJARATI-EFGH-S-SET-4 papers

GUJARATI-HF1EG-SET-4

Class 10 - 2025 - FINAL PAPERS - GUJARATI-HF1EG-SET-4 papers

GURUNG-1EGFH-SET-4

Class 10 - 2025 - FINAL PAPERS - GURUNG-1EGFH-SET-4 papers

HEALTH-CARE-1EGFH-SET-4

Class 10 - 2025 - FINAL PAPERS - HEALTH-CARE-1EGFH-SET-4 papers

HINDI-A-2EHFG-SET-1

Class 10 - 2025 - FINAL PAPERS - HINDI-A-2EHFG-SET-1 papers

HINDI-A-2EHFG-SET-2

Class 10 - 2025 - FINAL PAPERS - HINDI-A-2EHFG-SET-2 papers

HINDI-A-2EHFG-SET-3

Class 10 - 2025 - FINAL PAPERS - HINDI-A-2EHFG-SET-3 papers

HINDI-A-EFGH-S-SET-1

Class 10 - 2025 - FINAL PAPERS - HINDI-A-EFGH-S-SET-1 papers

HINDI-A-EFGH-S-SET-2

Class 10 - 2025 - FINAL PAPERS - HINDI-A-EFGH-S-SET-2 papers

HINDI-A-EFGH-S-SET-3

Class 10 - 2025 - FINAL PAPERS - HINDI-A-EFGH-S-SET-3 papers

HINDI-A-EGHF4-SET-1

Class 10 - 2025 - FINAL PAPERS - HINDI-A-EGHF4-SET-1 papers

HINDI-A-EGHF4-SET-2

Class 10 - 2025 - FINAL PAPERS - HINDI-A-EGHF4-SET-2 papers

HINDI-A-EGHF4-SET-3

Class 10 - 2025 - FINAL PAPERS - HINDI-A-EGHF4-SET-3 papers

HINDI-A-FHE3G-SET-1

Class 10 - 2025 - FINAL PAPERS - HINDI-A-FHE3G-SET-1 papers

HINDI-A-FHE3G-SET-2

Class 10 - 2025 - FINAL PAPERS - HINDI-A-FHE3G-SET-2 papers

HINDI-A-FHE3G-SET-3

Class 10 - 2025 - FINAL PAPERS - HINDI-A-FHE3G-SET-3 papers

HINDI-A-HE5GF-SET-1

Class 10 - 2025 - FINAL PAPERS - HINDI-A-HE5GF-SET-1 papers

HINDI-A-HE5GF-SET-2

Class 10 - 2025 - FINAL PAPERS - HINDI-A-HE5GF-SET-2 papers

HINDI-A-HE5GF-SET-3

Class 10 - 2025 - FINAL PAPERS - HINDI-A-HE5GF-SET-3 papers

HINDI-A-HE6GF-SET-2

Class 10 - 2025 - FINAL PAPERS - HINDI-A-HE6GF-SET-2 papers

HINDI-A-HE6GF-SET-3

Class 10 - 2025 - FINAL PAPERS - HINDI-A-HE6GF-SET-3 papers

HINDI-A-HG6EF-SET-1

Class 10 - 2025 - FINAL PAPERS - HINDI-A-HG6EF-SET-1 papers

HINDI-A-HG6EF-SET-2

Class 10 - 2025 - FINAL PAPERS - HINDI-A-HG6EF-SET-2 papers

HINDI-A-HG6EF-SET-3

Class 10 - 2025 - FINAL PAPERS - HINDI-A-HG6EF-SET-3 papers

HINDI-A-HGFE1-SET-1

Class 10 - 2025 - FINAL PAPERS - HINDI-A-HGFE1-SET-1 papers

HINDI-A-HGFE1-SET-2

Class 10 - 2025 - FINAL PAPERS - HINDI-A-HGFE1-SET-2 papers

HINDI-A-HGFE1-SET-3

Class 10 - 2025 - FINAL PAPERS - HINDI-A-HGFE1-SET-3 papers

HINDI-B-2EHFG-SET-1

Class 10 - 2025 - FINAL PAPERS - HINDI-B-2EHFG-SET-1 papers

HINDI-B-2EHFG-SET-2

Class 10 - 2025 - FINAL PAPERS - HINDI-B-2EHFG-SET-2 papers

HINDI-B-2EHFG-SET-3

Class 10 - 2025 - FINAL PAPERS - HINDI-B-2EHFG-SET-3 papers

HINDI-B-EFGH-S-SET-1

Class 10 - 2025 - FINAL PAPERS - HINDI-B-EFGH-S-SET-1 papers

HINDI-B-EFGH-S-SET-2

Class 10 - 2025 - FINAL PAPERS - HINDI-B-EFGH-S-SET-2 papers

HINDI-B-EFGH-S-SET-3

Class 10 - 2025 - FINAL PAPERS - HINDI-B-EFGH-S-SET-3 papers

HINDI-B-EGHF4-SET-1

Class 10 - 2025 - FINAL PAPERS - HINDI-B-EGHF4-SET-1 papers

HINDI-B-EGHF4-SET-3

Class 10 - 2025 - FINAL PAPERS - HINDI-B-EGHF4-SET-3 papers

HINDI-B-FHE3G-SET-1

Class 10 - 2025 - FINAL PAPERS - HINDI-B-FHE3G-SET-1 papers

HINDI-B-FHE3G-SET-2

Class 10 - 2025 - FINAL PAPERS - HINDI-B-FHE3G-SET-2 papers

HINDI-B-FHE3G-SET-3

Class 10 - 2025 - FINAL PAPERS - HINDI-B-FHE3G-SET-3 papers

HINDI-B-HE5GF-SET-1

Class 10 - 2025 - FINAL PAPERS - HINDI-B-HE5GF-SET-1 papers

HINDI-B-HE5GF-SET-2

Class 10 - 2025 - FINAL PAPERS - HINDI-B-HE5GF-SET-2 papers

HINDI-B-HE5GF-SET-3

Class 10 - 2025 - FINAL PAPERS - HINDI-B-HE5GF-SET-3 papers

HINDI-B-HG6EF-SET-1

Class 10 - 2025 - FINAL PAPERS - HINDI-B-HG6EF-SET-1 papers

HINDI-B-HG6EF-SET-2

Class 10 - 2025 - FINAL PAPERS - HINDI-B-HG6EF-SET-2 papers

HINDI-B-HG6EF-SET-3

Class 10 - 2025 - FINAL PAPERS - HINDI-B-HG6EF-SET-3 papers

HINDI-B-HGFE1-SET-1

Class 10 - 2025 - FINAL PAPERS - HINDI-B-HGFE1-SET-1 papers

HINDI-B-HGFE1-SET-2

Class 10 - 2025 - FINAL PAPERS - HINDI-B-HGFE1-SET-2 papers

HINDI-B-HGFE1-SET-3

Class 10 - 2025 - FINAL PAPERS - HINDI-B-HGFE1-SET-3 papers

HINDUSTANI-MUSIC-MELODIC-INSTRUMENTS-GEF1H-SET-4

Class 10 - 2025 - FINAL PAPERS - HINDUSTANI-MUSIC-MELODIC-INSTRUMENTS-GEF1H-SET-4 papers

HINDUSTANI-MUSIC-PERCUSSION-INSTRUMENTS-1EGFH-SET-4

Class 10 - 2025 - FINAL PAPERS - HINDUSTANI-MUSIC-PERCUSSION-INSTRUMENTS-1EGFH-SET-4 papers

HINDUSTANI-MUSIC-VOCAL-GEF1H-SET-4

Class 10 - 2025 - FINAL PAPERS - HINDUSTANI-MUSIC-VOCAL-GEF1H-SET-4 papers

HOME-SCIENCE-EFGH-S-SET-4

Class 10 - 2025 - FINAL PAPERS - HOME-SCIENCE-EFGH-S-SET-4 papers

HOME-SCIENCE-GEF1H-SET-4

Class 10 - 2025 - FINAL PAPERS - HOME-SCIENCE-GEF1H-SET-4 papers

INFORMATION-TECHNOLOGY-EFGH-S-SET-4

Class 10 - 2025 - FINAL PAPERS - INFORMATION-TECHNOLOGY-EFGH-S-SET-4 papers

INFORMATION-TECHNOLOGY-GE1FH-SET-4

Class 10 - 2025 - FINAL PAPERS - INFORMATION-TECHNOLOGY-GE1FH-SET-4 papers

INTRODUCTION-TO-FINANCIAL-MARKETS-EFGH-S-SET-4

Class 10 - 2025 - FINAL PAPERS - INTRODUCTION-TO-FINANCIAL-MARKETS-EFGH-S-SET-4 papers

INTRODUCTION-TO-FINANCIAL-MARKETS-HF1EG-SET-4

Class 10 - 2025 - FINAL PAPERS - INTRODUCTION-TO-FINANCIAL-MARKETS-HF1EG-SET-4 papers

JAPANESE-HF1EG-SET-4

Class 10 - 2025 - FINAL PAPERS - JAPANESE-HF1EG-SET-4 papers

KANNADA-EFGH-S-SET-4

Class 10 - 2025 - FINAL PAPERS - KANNADA-EFGH-S-SET-4 papers

KANNADA-HE5GF-SET-4

Class 10 - 2025 - FINAL PAPERS - KANNADA-HE5GF-SET-4 papers

KANNADA-LANGUAGE-HGFE1-SET-4

Class 10 - 2025 - FINAL PAPERS - KANNADA-LANGUAGE-HGFE1-SET-4 papers

KASHMIRI-HF1EG-SET-4

Class 10 - 2025 - FINAL PAPERS - KASHMIRI-HF1EG-SET-4 papers

KOKBOROK-EFGH-S-SET-4

Class 10 - 2025 - FINAL PAPERS - KOKBOROK-EFGH-S-SET-4 papers

KOKBOROK-HGFE1-SET-4

Class 10 - 2025 - FINAL PAPERS - KOKBOROK-HGFE1-SET-4 papers

LEPCHA-GEF1H-SET-4

Class 10 - 2025 - FINAL PAPERS - LEPCHA-GEF1H-SET-4 papers

LIMBOO-GEF1H-SET-4

Class 10 - 2025 - FINAL PAPERS - LIMBOO-GEF1H-SET-4 papers

MALAYALAM-EFGH-S-SET-4

Class 10 - 2025 - FINAL PAPERS - MALAYALAM-EFGH-S-SET-4 papers

MALAYALAM-HGFE1-SET-4

Class 10 - 2025 - FINAL PAPERS - MALAYALAM-HGFE1-SET-4 papers

MANIPURI-EFGH-S-SET-4

Class 10 - 2025 - FINAL PAPERS - MANIPURI-EFGH-S-SET-4 papers

MANIPURI-HF1EG-SET-4

Class 10 - 2025 - FINAL PAPERS - MANIPURI-HF1EG-SET-4 papers

MARATHI-EFGH-S-SET-4

Class 10 - 2025 - FINAL PAPERS - MARATHI-EFGH-S-SET-4 papers

MARATHI-HF1EG-SET-4

Class 10 - 2025 - FINAL PAPERS - MARATHI-HF1EG-SET-4 papers

MARKETING-AND-SALES-HF1EG-SET-4

Class 10 - 2025 - FINAL PAPERS - MARKETING-AND-SALES-HF1EG-SET-4 papers

MATHEMATICS-BASIC-EF3GH-SET-1

Class 10 - 2025 - FINAL PAPERS - MATHEMATICS-BASIC-EF3GH-SET-1 papers

MATHEMATICS-BASIC-EF3GH-SET-2

Class 10 - 2025 - FINAL PAPERS - MATHEMATICS-BASIC-EF3GH-SET-2 papers

MATHEMATICS-BASIC-EFGH-S-SET-1

Class 10 - 2025 - FINAL PAPERS - MATHEMATICS-BASIC-EFGH-S-SET-1 papers

MATHEMATICS-BASIC-EFGH-S-SET-2

Class 10 - 2025 - FINAL PAPERS - MATHEMATICS-BASIC-EFGH-S-SET-2 papers

MATHEMATICS-BASIC-EFGH-S-SET-3

Class 10 - 2025 - FINAL PAPERS - MATHEMATICS-BASIC-EFGH-S-SET-3 papers

MATHEMATICS-BASIC-EGFH2-SET-1

Class 10 - 2025 - FINAL PAPERS - MATHEMATICS-BASIC-EGFH2-SET-1 papers

MATHEMATICS-BASIC-EGFH2-SET-2

Class 10 - 2025 - FINAL PAPERS - MATHEMATICS-BASIC-EGFH2-SET-2 papers

MATHEMATICS-BASIC-EGFH2-SET-3

Class 10 - 2025 - FINAL PAPERS - MATHEMATICS-BASIC-EGFH2-SET-3 papers

MATHEMATICS-BASIC-EH5GF-SET-1

Class 10 - 2025 - FINAL PAPERS - MATHEMATICS-BASIC-EH5GF-SET-1 papers

MATHEMATICS-BASIC-EH5GF-SET-2

Class 10 - 2025 - FINAL PAPERS - MATHEMATICS-BASIC-EH5GF-SET-2 papers

MATHEMATICS-BASIC-EH5GF-SET-3

Class 10 - 2025 - FINAL PAPERS - MATHEMATICS-BASIC-EH5GF-SET-3 papers

MATHEMATICS-BASIC-F6EGH-SET-1

Class 10 - 2025 - FINAL PAPERS - MATHEMATICS-BASIC-F6EGH-SET-1 papers

MATHEMATICS-BASIC-F6EGH-SET-2

Class 10 - 2025 - FINAL PAPERS - MATHEMATICS-BASIC-F6EGH-SET-2 papers

MATHEMATICS-BASIC-F6EGH-SET-3

Class 10 - 2025 - FINAL PAPERS - MATHEMATICS-BASIC-F6EGH-SET-3 papers

MATHEMATICS-BASIC-GE1FH-SET-1

Class 10 - 2025 - FINAL PAPERS - MATHEMATICS-BASIC-GE1FH-SET-1 papers

MATHEMATICS-BASIC-GE1FH-SET-2

Class 10 - 2025 - FINAL PAPERS - MATHEMATICS-BASIC-GE1FH-SET-2 papers

MATHEMATICS-BASIC-GE1FH-SET-3

Class 10 - 2025 - FINAL PAPERS - MATHEMATICS-BASIC-GE1FH-SET-3 papers

MATHEMATICS-BASIC-H4EFG-SET-1

Class 10 - 2025 - FINAL PAPERS - MATHEMATICS-BASIC-H4EFG-SET-1 papers

MATHEMATICS-BASIC-H4EFG-SET-2

Class 10 - 2025 - FINAL PAPERS - MATHEMATICS-BASIC-H4EFG-SET-2 papers

MATHEMATICS-STANDARD-EF3GH-SET-1

Class 10 - 2025 - FINAL PAPERS - MATHEMATICS-STANDARD-EF3GH-SET-1 papers

MATHEMATICS-STANDARD-EF3GH-SET-3

Class 10 - 2025 - FINAL PAPERS - MATHEMATICS-STANDARD-EF3GH-SET-3 papers

MATHEMATICS-STANDARD-EFGH-S-SET-1

Class 10 - 2025 - FINAL PAPERS - MATHEMATICS-STANDARD-EFGH-S-SET-1 papers

MATHEMATICS-STANDARD-EFGH-S-SET-2

Class 10 - 2025 - FINAL PAPERS - MATHEMATICS-STANDARD-EFGH-S-SET-2 papers

MATHEMATICS-STANDARD-EFGH-S-SET-3

Class 10 - 2025 - FINAL PAPERS - MATHEMATICS-STANDARD-EFGH-S-SET-3 papers

MATHEMATICS-STANDARD-EGFH2-SET-1

Class 10 - 2025 - FINAL PAPERS - MATHEMATICS-STANDARD-EGFH2-SET-1 papers

MATHEMATICS-STANDARD-EGFH2-SET-2

Class 10 - 2025 - FINAL PAPERS - MATHEMATICS-STANDARD-EGFH2-SET-2 papers

MATHEMATICS-STANDARD-EGFH2-SET-3

Class 10 - 2025 - FINAL PAPERS - MATHEMATICS-STANDARD-EGFH2-SET-3 papers

MATHEMATICS-STANDARD-EH5GF-SET-1

Class 10 - 2025 - FINAL PAPERS - MATHEMATICS-STANDARD-EH5GF-SET-1 papers

MATHEMATICS-STANDARD-EH5GF-SET-2

Class 10 - 2025 - FINAL PAPERS - MATHEMATICS-STANDARD-EH5GF-SET-2 papers

MATHEMATICS-STANDARD-EH5GF-SET-3

Class 10 - 2025 - FINAL PAPERS - MATHEMATICS-STANDARD-EH5GF-SET-3 papers

MATHEMATICS-STANDARD-F6EGH-SET-1

Class 10 - 2025 - FINAL PAPERS - MATHEMATICS-STANDARD-F6EGH-SET-1 papers

MATHEMATICS-STANDARD-F6EGH-SET-2

Class 10 - 2025 - FINAL PAPERS - MATHEMATICS-STANDARD-F6EGH-SET-2 papers

MATHEMATICS-STANDARD-F6EGH-SET-3

Class 10 - 2025 - FINAL PAPERS - MATHEMATICS-STANDARD-F6EGH-SET-3 papers

MATHEMATICS-STANDARD-GE1FH-SET-1

Class 10 - 2025 - FINAL PAPERS - MATHEMATICS-STANDARD-GE1FH-SET-1 papers

MATHEMATICS-STANDARD-GE1FH-SET-2

Class 10 - 2025 - FINAL PAPERS - MATHEMATICS-STANDARD-GE1FH-SET-2 papers

MATHEMATICS-STANDARD-GE1FH-SET-3

Class 10 - 2025 - FINAL PAPERS - MATHEMATICS-STANDARD-GE1FH-SET-3 papers

MATHEMATICS-STANDARD-H4EFG-SET-1

Class 10 - 2025 - FINAL PAPERS - MATHEMATICS-STANDARD-H4EFG-SET-1 papers

MATHEMATICS-STANDARD-H4EFG-SET-2

Class 10 - 2025 - FINAL PAPERS - MATHEMATICS-STANDARD-H4EFG-SET-2 papers

MATHEMATICS-STANDARD-H4EFG-SET-3

Class 10 - 2025 - FINAL PAPERS - MATHEMATICS-STANDARD-H4EFG-SET-3 papers

MIZO-HF1EG-SET-4

Class 10 - 2025 - FINAL PAPERS - MIZO-HF1EG-SET-4 papers

MULTI-SKILL-FOUNDATION-COURSE-HF1EG-SET-4

Class 10 - 2025 - FINAL PAPERS - MULTI-SKILL-FOUNDATION-COURSE-HF1EG-SET-4 papers

NEPALI-EFGH-S-SET-4

Class 10 - 2025 - FINAL PAPERS - NEPALI-EFGH-S-SET-4 papers

ODIA-EFGH-S-SET-4

Class 10 - 2025 - FINAL PAPERS - ODIA-EFGH-S-SET-4 papers

ODIA-HGFE1-SET-4

Class 10 - 2025 - FINAL PAPERS - ODIA-HGFE1-SET-4 papers

PAINTING-1EGFH-SET-4

Class 10 - 2025 - FINAL PAPERS - PAINTING-1EGFH-SET-4 papers

PERSIAN-GEF1H-SET-4

Class 10 - 2025 - FINAL PAPERS - PERSIAN-GEF1H-SET-4 papers

PHYSICAL-ACTIVITY-TRAINER-1EGFH-SET-4

Class 10 - 2025 - FINAL PAPERS - PHYSICAL-ACTIVITY-TRAINER-1EGFH-SET-4 papers

PHYSICAL-ACTIVITY-TRAINER-EFGH-S-SET-4

Class 10 - 2025 - FINAL PAPERS - PHYSICAL-ACTIVITY-TRAINER-EFGH-S-SET-4 papers

PUNJABI-EFGH-S-SET-4

Class 10 - 2025 - FINAL PAPERS - PUNJABI-EFGH-S-SET-4 papers

PUNJABI-HGFE1-SET-4

Class 10 - 2025 - FINAL PAPERS - PUNJABI-HGFE1-SET-4 papers

RAI-1EGFH-SET-4

Class 10 - 2025 - FINAL PAPERS - RAI-1EGFH-SET-4 papers

RETAIL-1GEFH-SET-4

Class 10 - 2025 - FINAL PAPERS - RETAIL-1GEFH-SET-4 papers

RUSSIAN-GEF1H-SET-4

Class 10 - 2025 - FINAL PAPERS - RUSSIAN-GEF1H-SET-4 papers

SANSKRIT-1GEFH-SET-4

Class 10 - 2025 - FINAL PAPERS - SANSKRIT-1GEFH-SET-4 papers

SANSKRIT-COMMUNICATIVE-1GEFH-SET-4

Class 10 - 2025 - FINAL PAPERS - SANSKRIT-COMMUNICATIVE-1GEFH-SET-4 papers

SANSKRIT-COMMUNICATIVE-EFGH-S-SET-4

Class 10 - 2025 - FINAL PAPERS - SANSKRIT-COMMUNICATIVE-EFGH-S-SET-4 papers

SANSKRIT-EFGH-S-SET-4

Class 10 - 2025 - FINAL PAPERS - SANSKRIT-EFGH-S-SET-4 papers

SCIENCE-1GEFH-SET-1

Class 10 - 2025 - FINAL PAPERS - SCIENCE-1GEFH-SET-1 papers

SCIENCE-1GEFH-SET-2

Class 10 - 2025 - FINAL PAPERS - SCIENCE-1GEFH-SET-2 papers

SCIENCE-1GEFH-SET-3

Class 10 - 2025 - FINAL PAPERS - SCIENCE-1GEFH-SET-3 papers

SCIENCE-3EGFH-SET-1

Class 10 - 2025 - FINAL PAPERS - SCIENCE-3EGFH-SET-1 papers

SCIENCE-3EGFH-SET-2

Class 10 - 2025 - FINAL PAPERS - SCIENCE-3EGFH-SET-2 papers

SCIENCE-3EGFH-SET-3

Class 10 - 2025 - FINAL PAPERS - SCIENCE-3EGFH-SET-3 papers

SCIENCE-EFHG4-SET-1

Class 10 - 2025 - FINAL PAPERS - SCIENCE-EFHG4-SET-1 papers

SCIENCE-EFHG4-SET-2

Class 10 - 2025 - FINAL PAPERS - SCIENCE-EFHG4-SET-2 papers

SCIENCE-EFHG4-SET-3

Class 10 - 2025 - FINAL PAPERS - SCIENCE-EFHG4-SET-3 papers

SCIENCE-EGFH-S-SET-1

Class 10 - 2025 - FINAL PAPERS - SCIENCE-EGFH-S-SET-1 papers

SCIENCE-EGFH-S-SET-2

Class 10 - 2025 - FINAL PAPERS - SCIENCE-EGFH-S-SET-2 papers

SCIENCE-EGFH-S-SET-3

Class 10 - 2025 - FINAL PAPERS - SCIENCE-EGFH-S-SET-3 papers

SCIENCE-GF6HE-SET-1

Class 10 - 2025 - FINAL PAPERS - SCIENCE-GF6HE-SET-1 papers

SCIENCE-GF6HE-SET-2

Class 10 - 2025 - FINAL PAPERS - SCIENCE-GF6HE-SET-2 papers

SCIENCE-GF6HE-SET-3

Class 10 - 2025 - FINAL PAPERS - SCIENCE-GF6HE-SET-3 papers

SCIENCE-GFHE5-SET-1

Class 10 - 2025 - FINAL PAPERS - SCIENCE-GFHE5-SET-1 papers

SCIENCE-GFHE5-SET-2

Class 10 - 2025 - FINAL PAPERS - SCIENCE-GFHE5-SET-2 papers

SCIENCE-GFHE5-SET-3

Class 10 - 2025 - FINAL PAPERS - SCIENCE-GFHE5-SET-3 papers

SCIENCE-GHF2E-SET-1

Class 10 - 2025 - FINAL PAPERS - SCIENCE-GHF2E-SET-1 papers

SCIENCE-GHF2E-SET-2

Class 10 - 2025 - FINAL PAPERS - SCIENCE-GHF2E-SET-2 papers

SCIENCE-GHF2E-SET-3

Class 10 - 2025 - FINAL PAPERS - SCIENCE-GHF2E-SET-3 papers

SECURITY-HF1EG-SET-4

Class 10 - 2025 - FINAL PAPERS - SECURITY-HF1EG-SET-4 papers

SHERPA-1EGFH-SET-4

Class 10 - 2025 - FINAL PAPERS - SHERPA-1EGFH-SET-4 papers

SOCIAL-SCIENCE-EF5HG-SET-1

Class 10 - 2025 - FINAL PAPERS - SOCIAL-SCIENCE-EF5HG-SET-1 papers

SOCIAL-SCIENCE-EF5HG-SET-2

Class 10 - 2025 - FINAL PAPERS - SOCIAL-SCIENCE-EF5HG-SET-2 papers

SOCIAL-SCIENCE-EF5HG-SET-3

Class 10 - 2025 - FINAL PAPERS - SOCIAL-SCIENCE-EF5HG-SET-3 papers

SOCIAL-SCIENCE-EFGH-S-SET-1

Class 10 - 2025 - FINAL PAPERS - SOCIAL-SCIENCE-EFGH-S-SET-1 papers

SOCIAL-SCIENCE-EFGH-S-SET-2

Class 10 - 2025 - FINAL PAPERS - SOCIAL-SCIENCE-EFGH-S-SET-2 papers

SOCIAL-SCIENCE-EFGH-S-SET-3

Class 10 - 2025 - FINAL PAPERS - SOCIAL-SCIENCE-EFGH-S-SET-3 papers

SOCIAL-SCIENCE-FEH3G-SET-1

Class 10 - 2025 - FINAL PAPERS - SOCIAL-SCIENCE-FEH3G-SET-1 papers

SOCIAL-SCIENCE-FEH3G-SET-2

Class 10 - 2025 - FINAL PAPERS - SOCIAL-SCIENCE-FEH3G-SET-2 papers

SOCIAL-SCIENCE-FEH3G-SET-3

Class 10 - 2025 - FINAL PAPERS - SOCIAL-SCIENCE-FEH3G-SET-3 papers

SOCIAL-SCIENCE-FGHE2-SET-1

Class 10 - 2025 - FINAL PAPERS - SOCIAL-SCIENCE-FGHE2-SET-1 papers

SOCIAL-SCIENCE-FGHE2-SET-2

Class 10 - 2025 - FINAL PAPERS - SOCIAL-SCIENCE-FGHE2-SET-2 papers

SOCIAL-SCIENCE-FGHE2-SET-3

Class 10 - 2025 - FINAL PAPERS - SOCIAL-SCIENCE-FGHE2-SET-3 papers

SOCIAL-SCIENCE-FH4GE-SET-1

Class 10 - 2025 - FINAL PAPERS - SOCIAL-SCIENCE-FH4GE-SET-1 papers

SOCIAL-SCIENCE-FH4GE-SET-2

Class 10 - 2025 - FINAL PAPERS - SOCIAL-SCIENCE-FH4GE-SET-2 papers

SOCIAL-SCIENCE-FH4GE-SET-3

Class 10 - 2025 - FINAL PAPERS - SOCIAL-SCIENCE-FH4GE-SET-3 papers

SOCIAL-SCIENCE-GE1FH-SET-1

Class 10 - 2025 - FINAL PAPERS - SOCIAL-SCIENCE-GE1FH-SET-1 papers

SOCIAL-SCIENCE-GE1FH-SET-2

Class 10 - 2025 - FINAL PAPERS - SOCIAL-SCIENCE-GE1FH-SET-2 papers

SOCIAL-SCIENCE-GE1FH-SET-3

Class 10 - 2025 - FINAL PAPERS - SOCIAL-SCIENCE-GE1FH-SET-3 papers

SOCIAL-SCIENCE-GEF1H-SET-1

Class 10 - 2025 - FINAL PAPERS - SOCIAL-SCIENCE-GEF1H-SET-1 papers

SOCIAL-SCIENCE-GEF1H-SET-2

Class 10 - 2025 - FINAL PAPERS - SOCIAL-SCIENCE-GEF1H-SET-2 papers

SOCIAL-SCIENCE-GEF1H-SET-3

Class 10 - 2025 - FINAL PAPERS - SOCIAL-SCIENCE-GEF1H-SET-3 papers

SOCIAL-SCIENCE-GEH6F-SET-1

Class 10 - 2025 - FINAL PAPERS - SOCIAL-SCIENCE-GEH6F-SET-1 papers

SOCIAL-SCIENCE-GEH6F-SET-2

Class 10 - 2025 - FINAL PAPERS - SOCIAL-SCIENCE-GEH6F-SET-2 papers

SOCIAL-SCIENCE-GEH6F-SET-3

Class 10 - 2025 - FINAL PAPERS - SOCIAL-SCIENCE-GEH6F-SET-3 papers

SPANISH-EFGH-S-SET-4

Class 10 - 2025 - FINAL PAPERS - SPANISH-EFGH-S-SET-4 papers

SPANISH-HF1EG-SET-4

Class 10 - 2025 - FINAL PAPERS - SPANISH-HF1EG-SET-4 papers

TAMANG-1EGFH-SET-4

Class 10 - 2025 - FINAL PAPERS - TAMANG-1EGFH-SET-4 papers

TAMIL-EFGH-S-SET-4

Class 10 - 2025 - FINAL PAPERS - TAMIL-EFGH-S-SET-4 papers

TAMIL-HF1EG-SET-4

Class 10 - 2025 - FINAL PAPERS - TAMIL-HF1EG-SET-4 papers

TANGKHUL-MODERN-INDIAN-LANGUAGE-HF1EG-SET-4

Class 10 - 2025 - FINAL PAPERS - TANGKHUL-MODERN-INDIAN-LANGUAGE-HF1EG-SET-4 papers

TELUGU-EFGH-S-SET-4

Class 10 - 2025 - FINAL PAPERS - TELUGU-EFGH-S-SET-4 papers

TELUGU-GEF1H-SET-4

Class 10 - 2025 - FINAL PAPERS - TELUGU-GEF1H-SET-4 papers

TELUGU-TELANGANA-EFGH-S-SET-4

Class 10 - 2025 - FINAL PAPERS - TELUGU-TELANGANA-EFGH-S-SET-4 papers

TELUGU-TELANGANA-HF1EG-SET-4

Class 10 - 2025 - FINAL PAPERS - TELUGU-TELANGANA-HF1EG-SET-4 papers

THAI-GEF1H-SET-4

Class 10 - 2025 - FINAL PAPERS - THAI-GEF1H-SET-4 papers

TIBETAN-EFGH-S-SET-4

Class 10 - 2025 - FINAL PAPERS - TIBETAN-EFGH-S-SET-4 papers

TIBETAN-HF1EG-SET-4

Class 10 - 2025 - FINAL PAPERS - TIBETAN-HF1EG-SET-4 papers

URDU-A-HF1EG-SET-4

Class 10 - 2025 - FINAL PAPERS - URDU-A-HF1EG-SET-4 papers

URDU-B-EFGH-S-SET-4

Class 10 - 2025 - FINAL PAPERS - URDU-B-EFGH-S-SET-4 papers

URDU-B-HF1EG-SET-4

Class 10 - 2025 - FINAL PAPERS - URDU-B-HF1EG-SET-4 papers