Skip to main content

Class 10 2024 FINAL PAPERS ENGLISH-LANGUAGE-AND-LITERATURE-BADC2-2-SET-1 Question Papers

View all pages of the question paper below.

CBSE PYQ Class 10 2024 FINAL PAPERS ENGLISH-LANGUAGE-AND-LITERATURE-BADC2-2-SET-1 Information

Board CBSE (Central Board of Secondary Education)
Class Class 10
Year Year 2024
Category FINAL PAPERS
Subject Year ENGLISH-LANGUAGE-AND-LITERATURE-BADC2-2-SET-1
About This Paper This examination paper was conducted by CBSE in 2024 for the subject ENGLISH-LANGUAGE-AND-LITERATURE-BADC2-2-SET-1 of class 10.
CBSE-Class-10-Previous-Year-Question-Papers-ENGLISH-LANGUAGE-AND-LITERATURE-BADC2-2-SET-1-Page-1 Image
CBSE-Class-10-Previous-Year-Question-Papers-ENGLISH-LANGUAGE-AND-LITERATURE-BADC2-2-SET-1-Page-2 Image
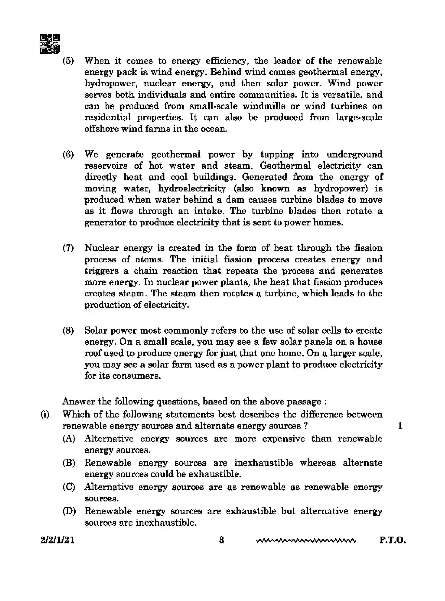
CBSE-Class-10-Previous-Year-Question-Papers-ENGLISH-LANGUAGE-AND-LITERATURE-BADC2-2-SET-1-Page-3 Image
CBSE-Class-10-Previous-Year-Question-Papers-ENGLISH-LANGUAGE-AND-LITERATURE-BADC2-2-SET-1-Page-4 Image
CBSE-Class-10-Previous-Year-Question-Papers-ENGLISH-LANGUAGE-AND-LITERATURE-BADC2-2-SET-1-Page-5 Image
CBSE-Class-10-Previous-Year-Question-Papers-ENGLISH-LANGUAGE-AND-LITERATURE-BADC2-2-SET-1-Page-6 Image
CBSE-Class-10-Previous-Year-Question-Papers-ENGLISH-LANGUAGE-AND-LITERATURE-BADC2-2-SET-1-Page-7 Image
CBSE-Class-10-Previous-Year-Question-Papers-ENGLISH-LANGUAGE-AND-LITERATURE-BADC2-2-SET-1-Page-8 Image
CBSE-Class-10-Previous-Year-Question-Papers-ENGLISH-LANGUAGE-AND-LITERATURE-BADC2-2-SET-1-Page-9 Image
CBSE-Class-10-Previous-Year-Question-Papers-ENGLISH-LANGUAGE-AND-LITERATURE-BADC2-2-SET-1-Page-10 Image
CBSE-Class-10-Previous-Year-Question-Papers-ENGLISH-LANGUAGE-AND-LITERATURE-BADC2-2-SET-1-Page-11 Image
CBSE-Class-10-Previous-Year-Question-Papers-ENGLISH-LANGUAGE-AND-LITERATURE-BADC2-2-SET-1-Page-12 Image
CBSE-Class-10-Previous-Year-Question-Papers-ENGLISH-LANGUAGE-AND-LITERATURE-BADC2-2-SET-1-Page-13 Image
CBSE-Class-10-Previous-Year-Question-Papers-ENGLISH-LANGUAGE-AND-LITERATURE-BADC2-2-SET-1-Page-14 Image
CBSE-Class-10-Previous-Year-Question-Papers-ENGLISH-LANGUAGE-AND-LITERATURE-BADC2-2-SET-1-Page-15 Image

Other CBSE Previous Year Question Papers for Class 10 - FINAL PAPERS released in 2024

Browse other subjects available for the same class, category, and year.

AGRICULTURE-CDBA-SET-4

Class 10 - 2024 - FINAL PAPERS - AGRICULTURE-CDBA-SET-4 papers

APPAREL-CDBA-SET-4

Class 10 - 2024 - FINAL PAPERS - APPAREL-CDBA-SET-4 papers

ARABIC-CDBA-SET-4

Class 10 - 2024 - FINAL PAPERS - ARABIC-CDBA-SET-4 papers

ARTIFICIAL-INTELLIGENCE-CDBA-SET-4

Class 10 - 2024 - FINAL PAPERS - ARTIFICIAL-INTELLIGENCE-CDBA-SET-4 papers

ASSAMESE-CDBA-SET-4

Class 10 - 2024 - FINAL PAPERS - ASSAMESE-CDBA-SET-4 papers

AUTOMOTIVE-CDBA-SET-4

Class 10 - 2024 - FINAL PAPERS - AUTOMOTIVE-CDBA-SET-4 papers

BAHASA-MELAYU-CDBA-SET-4

Class 10 - 2024 - FINAL PAPERS - BAHASA-MELAYU-CDBA-SET-4 papers

BANKING-AND-INSURANCE-CDBA-SET-4

Class 10 - 2024 - FINAL PAPERS - BANKING-AND-INSURANCE-CDBA-SET-4 papers

BEAUTY-AND-WELLNESS-CDBA-SET-4

Class 10 - 2024 - FINAL PAPERS - BEAUTY-AND-WELLNESS-CDBA-SET-4 papers

BENGALI-CDBA-SET-4

Class 10 - 2024 - FINAL PAPERS - BENGALI-CDBA-SET-4 papers

BHUTIA-CDBA-SET-4

Class 10 - 2024 - FINAL PAPERS - BHUTIA-CDBA-SET-4 papers

BODO-CDBA-SET-4

Class 10 - 2024 - FINAL PAPERS - BODO-CDBA-SET-4 papers

CARNATIC-MUSIC-CDBA-SET-4

Class 10 - 2024 - FINAL PAPERS - CARNATIC-MUSIC-CDBA-SET-4 papers

CARNATIC-MUSIC-MELODIC-INSTRUMENTS-CDBA-SET-4

Class 10 - 2024 - FINAL PAPERS - CARNATIC-MUSIC-MELODIC-INSTRUMENTS-CDBA-SET-4 papers

CARNATIC-MUSIC-PERCUSSION-INSTRUMENTS-CDBA-SET-4

Class 10 - 2024 - FINAL PAPERS - CARNATIC-MUSIC-PERCUSSION-INSTRUMENTS-CDBA-SET-4 papers

COMPUTER-APPLICATIONS-CDBA-SET-4

Class 10 - 2024 - FINAL PAPERS - COMPUTER-APPLICATIONS-CDBA-SET-4 papers

DATA-SCIENCE-CDBA-SET-4

Class 10 - 2024 - FINAL PAPERS - DATA-SCIENCE-CDBA-SET-4 papers

DESIGN-THINKING-AND-INNOVATION-CDBA-SET-4

Class 10 - 2024 - FINAL PAPERS - DESIGN-THINKING-AND-INNOVATION-CDBA-SET-4 papers

ELECTRONICS-AND-HARDWARE-CDBA-SET-4

Class 10 - 2024 - FINAL PAPERS - ELECTRONICS-AND-HARDWARE-CDBA-SET-4 papers

ELEMENTS-OF-BOOK-KEEPING-AND-ACCOUNTANCY-CDBA-SET-4

Class 10 - 2024 - FINAL PAPERS - ELEMENTS-OF-BOOK-KEEPING-AND-ACCOUNTANCY-CDBA-SET-4 papers

ELEMENTS-OF-BUSINESS-COMMERCE-CDBA-SET-A

Class 10 - 2024 - FINAL PAPERS - ELEMENTS-OF-BUSINESS-COMMERCE-CDBA-SET-A papers

ENGLISH-COMMUNICATIVE-CDBA-SET-4

Class 10 - 2024 - FINAL PAPERS - ENGLISH-COMMUNICATIVE-CDBA-SET-4 papers

ENGLISH-LANGUAGE-AND-LITERATURE-A1DBB-3-SET-1

Class 10 - 2024 - FINAL PAPERS - ENGLISH-LANGUAGE-AND-LITERATURE-A1DBB-3-SET-1 papers

ENGLISH-LANGUAGE-AND-LITERATURE-A1DBB-3-SET-2

Class 10 - 2024 - FINAL PAPERS - ENGLISH-LANGUAGE-AND-LITERATURE-A1DBB-3-SET-2 papers

ENGLISH-LANGUAGE-AND-LITERATURE-A1DBB-3-SET-3

Class 10 - 2024 - FINAL PAPERS - ENGLISH-LANGUAGE-AND-LITERATURE-A1DBB-3-SET-3 papers

ENGLISH-LANGUAGE-AND-LITERATURE-BADC2-2-SET-2

Class 10 - 2024 - FINAL PAPERS - ENGLISH-LANGUAGE-AND-LITERATURE-BADC2-2-SET-2 papers

ENGLISH-LANGUAGE-AND-LITERATURE-BADC2-2-SET-3

Class 10 - 2024 - FINAL PAPERS - ENGLISH-LANGUAGE-AND-LITERATURE-BADC2-2-SET-3 papers

ENGLISH-LANGUAGE-AND-LITERATURE-DBC5A-5-SET-1

Class 10 - 2024 - FINAL PAPERS - ENGLISH-LANGUAGE-AND-LITERATURE-DBC5A-5-SET-1 papers

ENGLISH-LANGUAGE-AND-LITERATURE-DBC5A-5-SET-2

Class 10 - 2024 - FINAL PAPERS - ENGLISH-LANGUAGE-AND-LITERATURE-DBC5A-5-SET-2 papers

ENGLISH-LANGUAGE-AND-LITERATURE-DBC5A-5-SET-3

Class 10 - 2024 - FINAL PAPERS - ENGLISH-LANGUAGE-AND-LITERATURE-DBC5A-5-SET-3 papers

ENGLISH-LANGUAGE-AND-LITERATURE-DDCC3-1-SET-1

Class 10 - 2024 - FINAL PAPERS - ENGLISH-LANGUAGE-AND-LITERATURE-DDCC3-1-SET-1 papers

ENGLISH-LANGUAGE-AND-LITERATURE-DDCC3-1-SET-2

Class 10 - 2024 - FINAL PAPERS - ENGLISH-LANGUAGE-AND-LITERATURE-DDCC3-1-SET-2 papers

ENGLISH-LANGUAGE-AND-LITERATURE-DDCC3-1-SET-3

Class 10 - 2024 - FINAL PAPERS - ENGLISH-LANGUAGE-AND-LITERATURE-DDCC3-1-SET-3 papers

ENGLISH-LANGUAGE-AND-LITERATURE-DDCC4-4-SET-1

Class 10 - 2024 - FINAL PAPERS - ENGLISH-LANGUAGE-AND-LITERATURE-DDCC4-4-SET-1 papers

ENGLISH-LANGUAGE-AND-LITERATURE-DDCC4-4-SET-2

Class 10 - 2024 - FINAL PAPERS - ENGLISH-LANGUAGE-AND-LITERATURE-DDCC4-4-SET-2 papers

ENGLISH-LANGUAGE-AND-LITERATURE-DDCC4-4-SET-3

Class 10 - 2024 - FINAL PAPERS - ENGLISH-LANGUAGE-AND-LITERATURE-DDCC4-4-SET-3 papers

FOOD-PRODUCTION-CDBA-SET-4

Class 10 - 2024 - FINAL PAPERS - FOOD-PRODUCTION-CDBA-SET-4 papers

FRENCH-CDBA-SET-4

Class 10 - 2024 - FINAL PAPERS - FRENCH-CDBA-SET-4 papers

FRONT-OFFICE-OPERATIONS-CDBA-SET-4

Class 10 - 2024 - FINAL PAPERS - FRONT-OFFICE-OPERATIONS-CDBA-SET-4 papers

GERMAN-CDBA-SET-4

Class 10 - 2024 - FINAL PAPERS - GERMAN-CDBA-SET-4 papers

GUJARATI-CDBA-SET-4

Class 10 - 2024 - FINAL PAPERS - GUJARATI-CDBA-SET-4 papers

GURUNG-CDBA-SET-4

Class 10 - 2024 - FINAL PAPERS - GURUNG-CDBA-SET-4 papers

HEALTH-CARE-CDBA-SET-4

Class 10 - 2024 - FINAL PAPERS - HEALTH-CARE-CDBA-SET-4 papers

HINDI-A-BD5AC-5-SET-1

Class 10 - 2024 - FINAL PAPERS - HINDI-A-BD5AC-5-SET-1 papers

HINDI-A-BD5AC-5-SET-2

Class 10 - 2024 - FINAL PAPERS - HINDI-A-BD5AC-5-SET-2 papers

HINDI-A-BD5AC-5-SET-3

Class 10 - 2024 - FINAL PAPERS - HINDI-A-BD5AC-5-SET-3 papers

HINDI-A-CAB2D-2-SET-1

Class 10 - 2024 - FINAL PAPERS - HINDI-A-CAB2D-2-SET-1 papers

HINDI-A-CAB2D-2-SET-2

Class 10 - 2024 - FINAL PAPERS - HINDI-A-CAB2D-2-SET-2 papers

HINDI-A-CAB2D-2-SET-3

Class 10 - 2024 - FINAL PAPERS - HINDI-A-CAB2D-2-SET-3 papers

HINDI-A-CB1DA-3-SET-1

Class 10 - 2024 - FINAL PAPERS - HINDI-A-CB1DA-3-SET-1 papers

HINDI-A-CB1DA-3-SET-2

Class 10 - 2024 - FINAL PAPERS - HINDI-A-CB1DA-3-SET-2 papers

HINDI-A-CB1DA-3-SET-3

Class 10 - 2024 - FINAL PAPERS - HINDI-A-CB1DA-3-SET-3 papers

HINDI-A-D3BCA-1-SET-1

Class 10 - 2024 - FINAL PAPERS - HINDI-A-D3BCA-1-SET-1 papers

HINDI-A-D3BCA-1-SET-2

Class 10 - 2024 - FINAL PAPERS - HINDI-A-D3BCA-1-SET-2 papers

HINDI-A-D3BCA-1-SET-3

Class 10 - 2024 - FINAL PAPERS - HINDI-A-D3BCA-1-SET-3 papers

HINDI-A-D4BCA-4-SET-1

Class 10 - 2024 - FINAL PAPERS - HINDI-A-D4BCA-4-SET-1 papers

HINDI-A-D4BCA-4-SET-2

Class 10 - 2024 - FINAL PAPERS - HINDI-A-D4BCA-4-SET-2 papers

HINDI-A-D4BCA-4-SET-3

Class 10 - 2024 - FINAL PAPERS - HINDI-A-D4BCA-4-SET-3 papers

HINDI-B-BD5AC-5-SET-2

Class 10 - 2024 - FINAL PAPERS - HINDI-B-BD5AC-5-SET-2 papers

HINDI-B-BD5AC-5-SET-3

Class 10 - 2024 - FINAL PAPERS - HINDI-B-BD5AC-5-SET-3 papers

HINDI-B-CAB2D-2-SET-1

Class 10 - 2024 - FINAL PAPERS - HINDI-B-CAB2D-2-SET-1 papers

HINDI-B-CAB2D-2-SET-2

Class 10 - 2024 - FINAL PAPERS - HINDI-B-CAB2D-2-SET-2 papers

HINDI-B-CAB2D-2-SET-3

Class 10 - 2024 - FINAL PAPERS - HINDI-B-CAB2D-2-SET-3 papers

HINDI-B-CB1DA-3-SET-1

Class 10 - 2024 - FINAL PAPERS - HINDI-B-CB1DA-3-SET-1 papers

HINDI-B-CB1DA-3-SET-2

Class 10 - 2024 - FINAL PAPERS - HINDI-B-CB1DA-3-SET-2 papers

HINDI-B-CB1DA-3-SET-3

Class 10 - 2024 - FINAL PAPERS - HINDI-B-CB1DA-3-SET-3 papers

HINDI-B-D3BCA-1-SET-1

Class 10 - 2024 - FINAL PAPERS - HINDI-B-D3BCA-1-SET-1 papers

HINDI-B-D3BCA-1-SET-2

Class 10 - 2024 - FINAL PAPERS - HINDI-B-D3BCA-1-SET-2 papers

HINDI-B-D3BCA-1-SET-3

Class 10 - 2024 - FINAL PAPERS - HINDI-B-D3BCA-1-SET-3 papers

HINDI-B-D4BCA-4-SET-1

Class 10 - 2024 - FINAL PAPERS - HINDI-B-D4BCA-4-SET-1 papers

HINDI-B-D4BCA-4-SET-2

Class 10 - 2024 - FINAL PAPERS - HINDI-B-D4BCA-4-SET-2 papers

HINDI-B-D4BCA-4-SET-3

Class 10 - 2024 - FINAL PAPERS - HINDI-B-D4BCA-4-SET-3 papers

HINDI-B-DB5AC-5-SET-1

Class 10 - 2024 - FINAL PAPERS - HINDI-B-DB5AC-5-SET-1 papers

HINDUSTANI-MUSIC-CDBA-SET-4

Class 10 - 2024 - FINAL PAPERS - HINDUSTANI-MUSIC-CDBA-SET-4 papers

HINDUSTANI-MUSIC-MELODIC-INSTRUMENTS-CDBA-SET-4

Class 10 - 2024 - FINAL PAPERS - HINDUSTANI-MUSIC-MELODIC-INSTRUMENTS-CDBA-SET-4 papers

HINDUSTANI-MUSIC-PERCUSSION-INSTRUMENTS-CDBA-SET-4

Class 10 - 2024 - FINAL PAPERS - HINDUSTANI-MUSIC-PERCUSSION-INSTRUMENTS-CDBA-SET-4 papers

HOME-SCIENCE-CDBA-SET-4

Class 10 - 2024 - FINAL PAPERS - HOME-SCIENCE-CDBA-SET-4 papers

INFORMATION-TECHNOLOGY-CDBA-SET-4

Class 10 - 2024 - FINAL PAPERS - INFORMATION-TECHNOLOGY-CDBA-SET-4 papers

INTRODUCTION-TO-FINANCIAL-MARKETS-CDBA-SET-4

Class 10 - 2024 - FINAL PAPERS - INTRODUCTION-TO-FINANCIAL-MARKETS-CDBA-SET-4 papers

INTRODUCTION-TO-TOURISM-CDBA-SET-4

Class 10 - 2024 - FINAL PAPERS - INTRODUCTION-TO-TOURISM-CDBA-SET-4 papers

JAPANESE-CDBA-SET-4

Class 10 - 2024 - FINAL PAPERS - JAPANESE-CDBA-SET-4 papers

KANNADA-CDBA-SET-4

Class 10 - 2024 - FINAL PAPERS - KANNADA-CDBA-SET-4 papers

KASHMIRI-CDBA-SET-4

Class 10 - 2024 - FINAL PAPERS - KASHMIRI-CDBA-SET-4 papers

KOKBOROK-CDBA-SET-4

Class 10 - 2024 - FINAL PAPERS - KOKBOROK-CDBA-SET-4 papers

LEPCHA-CDBA-SET-4

Class 10 - 2024 - FINAL PAPERS - LEPCHA-CDBA-SET-4 papers

LIMBOO-CDBA-SET-4

Class 10 - 2024 - FINAL PAPERS - LIMBOO-CDBA-SET-4 papers

MALAYALAM-CDBA-SET-4

Class 10 - 2024 - FINAL PAPERS - MALAYALAM-CDBA-SET-4 papers

MANIPURI-CDBA-SET-4

Class 10 - 2024 - FINAL PAPERS - MANIPURI-CDBA-SET-4 papers

MARATHI-CDBA-SET-4

Class 10 - 2024 - FINAL PAPERS - MARATHI-CDBA-SET-4 papers

MARKETING-AND-SALES-CDBA-SET-4

Class 10 - 2024 - FINAL PAPERS - MARKETING-AND-SALES-CDBA-SET-4 papers

MATHEMATICS-BASIC-C3ABD-1-SET-2

Class 10 - 2024 - FINAL PAPERS - MATHEMATICS-BASIC-C3ABD-1-SET-2 papers

MATHEMATICS-BASIC-C3ABD-1-SET-3

Class 10 - 2024 - FINAL PAPERS - MATHEMATICS-BASIC-C3ABD-1-SET-3 papers

MATHEMATICS-BASIC-C4ABD-4-SET-1

Class 10 - 2024 - FINAL PAPERS - MATHEMATICS-BASIC-C4ABD-4-SET-1 papers

MATHEMATICS-BASIC-C4ABD-4-SET-2

Class 10 - 2024 - FINAL PAPERS - MATHEMATICS-BASIC-C4ABD-4-SET-2 papers

MATHEMATICS-BASIC-C4ABD-4-SET-3

Class 10 - 2024 - FINAL PAPERS - MATHEMATICS-BASIC-C4ABD-4-SET-3 papers

MATHEMATICS-BASIC-C5ABD-5-SET-1

Class 10 - 2024 - FINAL PAPERS - MATHEMATICS-BASIC-C5ABD-5-SET-1 papers

MATHEMATICS-BASIC-C5ABD-5-SET-2

Class 10 - 2024 - FINAL PAPERS - MATHEMATICS-BASIC-C5ABD-5-SET-2 papers

MATHEMATICS-BASIC-C5ABD-5-SET-3

Class 10 - 2024 - FINAL PAPERS - MATHEMATICS-BASIC-C5ABD-5-SET-3 papers

MATHEMATICS-BASIC-CD1BA-3-SET-1

Class 10 - 2024 - FINAL PAPERS - MATHEMATICS-BASIC-CD1BA-3-SET-1 papers

MATHEMATICS-BASIC-CD1BA-3-SET-2

Class 10 - 2024 - FINAL PAPERS - MATHEMATICS-BASIC-CD1BA-3-SET-2 papers

MATHEMATICS-BASIC-CD1BA-3-SET-3

Class 10 - 2024 - FINAL PAPERS - MATHEMATICS-BASIC-CD1BA-3-SET-3 papers

MATHEMATICS-BASIC-CDBA-SET-5

Class 10 - 2024 - FINAL PAPERS - MATHEMATICS-BASIC-CDBA-SET-5 papers

MATHEMATICS-BASIC-DA2AB-2-SET-1

Class 10 - 2024 - FINAL PAPERS - MATHEMATICS-BASIC-DA2AB-2-SET-1 papers

MATHEMATICS-BASIC-DA2AB-2-SET-2

Class 10 - 2024 - FINAL PAPERS - MATHEMATICS-BASIC-DA2AB-2-SET-2 papers

MATHEMATICS-BASIC-DA2AB-2-SET-3

Class 10 - 2024 - FINAL PAPERS - MATHEMATICS-BASIC-DA2AB-2-SET-3 papers

MATHEMATICS-STANDARD-C4ABD-4-SET-2

Class 10 - 2024 - FINAL PAPERS - MATHEMATICS-STANDARD-C4ABD-4-SET-2 papers

MATHEMATICS-STANDARD-C4ABD-4-SET-3

Class 10 - 2024 - FINAL PAPERS - MATHEMATICS-STANDARD-C4ABD-4-SET-3 papers

MATHEMATICS-STANDARD-C5ABD-5-SET-2

Class 10 - 2024 - FINAL PAPERS - MATHEMATICS-STANDARD-C5ABD-5-SET-2 papers

MATHEMATICS-STANDARD-CD1BA-3-SET-3

Class 10 - 2024 - FINAL PAPERS - MATHEMATICS-STANDARD-CD1BA-3-SET-3 papers

MATHEMATICS-STANDARD-DA2AB-2-SET-3

Class 10 - 2024 - FINAL PAPERS - MATHEMATICS-STANDARD-DA2AB-2-SET-3 papers

MIZZO-CDBA-SET-4

Class 10 - 2024 - FINAL PAPERS - MIZZO-CDBA-SET-4 papers

MULTI-MEDIA-CDBA-SET-4

Class 10 - 2024 - FINAL PAPERS - MULTI-MEDIA-CDBA-SET-4 papers

MULTI-SKILL-FOUNDATION-COURSE-CDBA-SET-4

Class 10 - 2024 - FINAL PAPERS - MULTI-SKILL-FOUNDATION-COURSE-CDBA-SET-4 papers

NATIONAL-CADET-CORPS-NCC-CDBA-SET-4

Class 10 - 2024 - FINAL PAPERS - NATIONAL-CADET-CORPS-NCC-CDBA-SET-4 papers

NEPALI-CDBA-SET-4

Class 10 - 2024 - FINAL PAPERS - NEPALI-CDBA-SET-4 papers

ODIA-CDBA-SET-4

Class 10 - 2024 - FINAL PAPERS - ODIA-CDBA-SET-4 papers

PAINTING-CDBA-SET-4

Class 10 - 2024 - FINAL PAPERS - PAINTING-CDBA-SET-4 papers

PERIODIC-TEST-2-ENGLISH-LANGUAGE-AND-LITERATURE-291123

Class 10 - 2024 - FINAL PAPERS - PERIODIC-TEST-2-ENGLISH-LANGUAGE-AND-LITERATURE-291123 papers

PERIODIC-TEST-2-MATHEMATICS-291123

Class 10 - 2024 - FINAL PAPERS - PERIODIC-TEST-2-MATHEMATICS-291123 papers

PERIODIC-TEST-2-SOCIAL-SCIENCE-291123

Class 10 - 2024 - FINAL PAPERS - PERIODIC-TEST-2-SOCIAL-SCIENCE-291123 papers

PERSIAN-CDBA-SET-4

Class 10 - 2024 - FINAL PAPERS - PERSIAN-CDBA-SET-4 papers

PHYSICAL-ACTIVITY-TRAINER-CDBA-SET-4

Class 10 - 2024 - FINAL PAPERS - PHYSICAL-ACTIVITY-TRAINER-CDBA-SET-4 papers

PUNJABI-CDBA-SET-4

Class 10 - 2024 - FINAL PAPERS - PUNJABI-CDBA-SET-4 papers

RETAIL-CDBA-SET-4

Class 10 - 2024 - FINAL PAPERS - RETAIL-CDBA-SET-4 papers

RUSSIAN-CDBA-SET-4

Class 10 - 2024 - FINAL PAPERS - RUSSIAN-CDBA-SET-4 papers

SANSKRIT-CDBA-SET-4

Class 10 - 2024 - FINAL PAPERS - SANSKRIT-CDBA-SET-4 papers

SCIENCE-A2DDC-2-SET-1

Class 10 - 2024 - FINAL PAPERS - SCIENCE-A2DDC-2-SET-1 papers

SCIENCE-A2DDC-2-SET-2

Class 10 - 2024 - FINAL PAPERS - SCIENCE-A2DDC-2-SET-2 papers

SCIENCE-A2DDC-2-SET-3

Class 10 - 2024 - FINAL PAPERS - SCIENCE-A2DDC-2-SET-3 papers

SCIENCE-CABD5-5-SET-1

Class 10 - 2024 - FINAL PAPERS - SCIENCE-CABD5-5-SET-1 papers

SCIENCE-CABD5-5-SET-2

Class 10 - 2024 - FINAL PAPERS - SCIENCE-CABD5-5-SET-2 papers

SCIENCE-CABD5-5-SET-3

Class 10 - 2024 - FINAL PAPERS - SCIENCE-CABD5-5-SET-3 papers

SCIENCE-CDBA-SET-5

Class 10 - 2024 - FINAL PAPERS - SCIENCE-CDBA-SET-5 papers

SCIENCE-D3CBA-1-SET-1

Class 10 - 2024 - FINAL PAPERS - SCIENCE-D3CBA-1-SET-1 papers

SCIENCE-D3CBA-1-SET-2

Class 10 - 2024 - FINAL PAPERS - SCIENCE-D3CBA-1-SET-2 papers

SCIENCE-D3CBA-1-SET-3

Class 10 - 2024 - FINAL PAPERS - SCIENCE-D3CBA-1-SET-3 papers

SCIENCE-D4CBA-4-SET-1

Class 10 - 2024 - FINAL PAPERS - SCIENCE-D4CBA-4-SET-1 papers

SCIENCE-D4CBA-4-SET-2

Class 10 - 2024 - FINAL PAPERS - SCIENCE-D4CBA-4-SET-2 papers

SCIENCE-D4CBA-4-SET-3

Class 10 - 2024 - FINAL PAPERS - SCIENCE-D4CBA-4-SET-3 papers

SCIENCE-DAA1B-3-SET-1

Class 10 - 2024 - FINAL PAPERS - SCIENCE-DAA1B-3-SET-1 papers

SCIENCE-DAA1B-3-SET-2

Class 10 - 2024 - FINAL PAPERS - SCIENCE-DAA1B-3-SET-2 papers

SCIENCE-DAA1B-3-SET-3

Class 10 - 2024 - FINAL PAPERS - SCIENCE-DAA1B-3-SET-3 papers

SECURITY-CDBA-SET-4

Class 10 - 2024 - FINAL PAPERS - SECURITY-CDBA-SET-4 papers

SHERPA-CDBA-SET-4

Class 10 - 2024 - FINAL PAPERS - SHERPA-CDBA-SET-4 papers

SINDHI-CDBA-SET-4

Class 10 - 2024 - FINAL PAPERS - SINDHI-CDBA-SET-4 papers

SOCIAL-SCIENCE-AABB1-3-SET-1

Class 10 - 2024 - FINAL PAPERS - SOCIAL-SCIENCE-AABB1-3-SET-1 papers

SOCIAL-SCIENCE-AABB1-3-SET-2

Class 10 - 2024 - FINAL PAPERS - SOCIAL-SCIENCE-AABB1-3-SET-2 papers

SOCIAL-SCIENCE-AABB1-3-SET-3

Class 10 - 2024 - FINAL PAPERS - SOCIAL-SCIENCE-AABB1-3-SET-3 papers

SOCIAL-SCIENCE-AB3CD-1-SET-1

Class 10 - 2024 - FINAL PAPERS - SOCIAL-SCIENCE-AB3CD-1-SET-1 papers

SOCIAL-SCIENCE-AB3CD-1-SET-2

Class 10 - 2024 - FINAL PAPERS - SOCIAL-SCIENCE-AB3CD-1-SET-2 papers

SOCIAL-SCIENCE-AB3CD-1-SET-3

Class 10 - 2024 - FINAL PAPERS - SOCIAL-SCIENCE-AB3CD-1-SET-3 papers

SOCIAL-SCIENCE-AB4CD-4-SET-1

Class 10 - 2024 - FINAL PAPERS - SOCIAL-SCIENCE-AB4CD-4-SET-1 papers

SOCIAL-SCIENCE-AB4CD-4-SET-2

Class 10 - 2024 - FINAL PAPERS - SOCIAL-SCIENCE-AB4CD-4-SET-2 papers

SOCIAL-SCIENCE-AB4CD-4-SET-3

Class 10 - 2024 - FINAL PAPERS - SOCIAL-SCIENCE-AB4CD-4-SET-3 papers

SOCIAL-SCIENCE-AB5CD-5-SET-1

Class 10 - 2024 - FINAL PAPERS - SOCIAL-SCIENCE-AB5CD-5-SET-1 papers

SOCIAL-SCIENCE-AB5CD-5-SET-2

Class 10 - 2024 - FINAL PAPERS - SOCIAL-SCIENCE-AB5CD-5-SET-2 papers

SOCIAL-SCIENCE-AB5CD-5-SET-3

Class 10 - 2024 - FINAL PAPERS - SOCIAL-SCIENCE-AB5CD-5-SET-3 papers

SOCIAL-SCIENCE-BBCA2-2-SET-1

Class 10 - 2024 - FINAL PAPERS - SOCIAL-SCIENCE-BBCA2-2-SET-1 papers

SOCIAL-SCIENCE-BBCA2-2-SET-2

Class 10 - 2024 - FINAL PAPERS - SOCIAL-SCIENCE-BBCA2-2-SET-2 papers

SOCIAL-SCIENCE-BBCA2-2-SET-3

Class 10 - 2024 - FINAL PAPERS - SOCIAL-SCIENCE-BBCA2-2-SET-3 papers

SPANISH-CDBA-SET-4

Class 10 - 2024 - FINAL PAPERS - SPANISH-CDBA-SET-4 papers

TAMANG-CDBA-SET-4

Class 10 - 2024 - FINAL PAPERS - TAMANG-CDBA-SET-4 papers

TAMIL-CDBA-SET-4

Class 10 - 2024 - FINAL PAPERS - TAMIL-CDBA-SET-4 papers

TANGKHUL-CDBA-SET-4

Class 10 - 2024 - FINAL PAPERS - TANGKHUL-CDBA-SET-4 papers

TELUGU-TELANGANA-CDBA-SET-4

Class 10 - 2024 - FINAL PAPERS - TELUGU-TELANGANA-CDBA-SET-4 papers

THAI-CDBA-SET-4

Class 10 - 2024 - FINAL PAPERS - THAI-CDBA-SET-4 papers

TIBETAN-CDBA-SET-4

Class 10 - 2024 - FINAL PAPERS - TIBETAN-CDBA-SET-4 papers

URDU-A-CDBA-SET-4

Class 10 - 2024 - FINAL PAPERS - URDU-A-CDBA-SET-4 papers

URDU-B-CDBA-SET-4

Class 10 - 2024 - FINAL PAPERS - URDU-B-CDBA-SET-4 papers